A Cascaded and Adaptive Visual Predictive Control Approach for Real-Time Dynamic Visual Servoing
Abstract
:1. Introduction
2. Problem Formulation
2.1. Method Validation Case Study

3. Experimental Setup
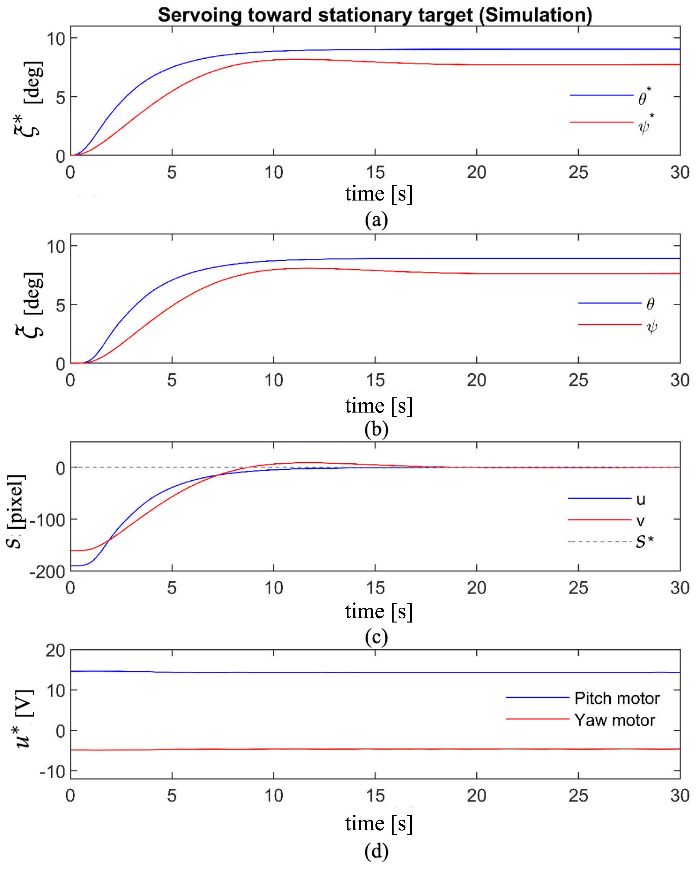
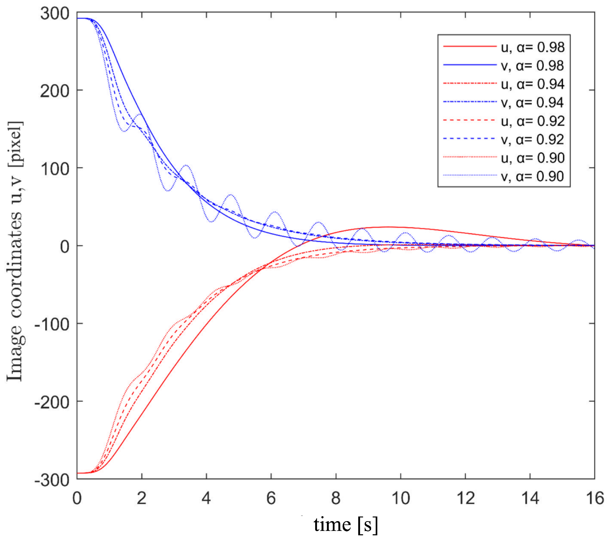
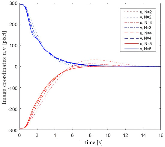
4. Simulation and Experimental Results
5. Conclusions
Author Contributions
Funding
Institutional Review Board Statement
Informed Consent Statement
Data Availability Statement
Conflicts of Interest
References
- Chaumette, F.; Hutchinson, S. Visual servo control. II. Advanced approaches [Tutorial]. IEEE Robot. Autom. Mag. 2007, 14, 109–118. [Google Scholar] [CrossRef]
- Fallah, M.M.H.; Janabi-Sharifi, F. Conjugated Visual Predictive Control for Constrained Visual Servoing. J. Intell. Robot. Syst. 2021, 101, 1–21. [Google Scholar]
- Hutchinson, S.; Hager, G.D.; Corke, P.I. A tutorial on visual servo control. IEEE Trans. Robot. Autom. 1996, 12, 651–670. [Google Scholar] [CrossRef] [Green Version]
- Allibert, G.; Courtial, E.; Chaumette, F. Predictive control for constrained image-based visual servoing. IEEE Trans. Robot. 2010, 26, 933–939. [Google Scholar] [CrossRef] [Green Version]
- Gonçalves, P.J.S.; Paris, A.; Christo, C.; Sousa, J.; Pinto, J.C. Uncalibrated visual servoing in 3d workspace. In Proceedings of the International Conference Image Analysis and Recognition, Póvoa de Varzim, Portugal, 18–20 September 2006; pp. 225–236. [Google Scholar]
- Jagersand, M.; Fuentes, O.; Nelson, R. Experimental evaluation of uncalibrated visual servoing for precision manipulation. In Proceedings of the International Conference on Robotics and Automation, Albuquerque, NM, USA, 20–25 April 1997; Volume 4, pp. 2874–2880. [Google Scholar]
- Xu, F.; Wang, H.; Liu, Z.; Chen, W. Adaptive Visual Servoing for an Underwater Soft Robot Considering Refraction Effects. IEEE Trans. Ind. Electron. 2019, 67, 10575–10586. [Google Scholar] [CrossRef]
- Assa, A. Robust Robotic Visual Servoing for Uncertain Systems. Ph.D. Thesis, Ryerson University, Toronto, ON, Canada, 2015. [Google Scholar]
- Kelly, R. Robust asymptotically stable visual servoing of planar robots. IEEE Trans. Robot. Autom. 1996, 12, 759–766. [Google Scholar] [CrossRef]
- Seo, H.; Kim, S.; Kim, H.J. Aerial grasping of cylindrical object using visual servoing based on stochastic model predictive control. In Proceedings of the 2017 IEEE International Conference on Robotics and Automation (ICRA), Singapore, 29 May–3 June 2017; pp. 6362–6368. [Google Scholar]
- Ghasemi, A. Enhanced Image-Based Visual Servoing Dealing with Uncertainties. Ph.D. Thesis, Concordia University, Montreal, QC, Canada, 2020. [Google Scholar]
- Zhakatayev, A.; Rakhim, B.; Adiyatov, O.; Baimyshev, A.; Varol, H.A. Successive linearization based model predictive control of variable stiffness actuated robots. In Proceedings of the 2017 IEEE International Conference on Advanced Intelligent Mechatronics (AIM), Munich, Germany, 3–7 July 2017; pp. 1774–1779. [Google Scholar]
- Caldwell, J.; Marshall, J.A. Towards Efficient Learning-Based Model Predictive Control via Feedback Linearization and Gaussian Process Regression. In Proceedings of the 2021 IEEE/RSJ International Conference on Intelligent Robots and Systems (IROS), Prague, Czech Republic, 27 September–1 October 2021; pp. 4306–4311. [Google Scholar]
- Gulan, M.; Minarčík, P. Implementation of continuous-time MPC using B-spline functions. In Proceedings of the 2019 22nd International Conference on Process Control (PC19), Strbske Pleso, Slovakia, 11–14 June 2019; pp. 222–227. [Google Scholar]
- Valencia-Palomo, G.; Rossiter, J.A. Using Laguerre functions to improve efficiency of multi-parametric predictive control. In Proceedings of the 2010 American Control Conference, Baltimore, MD, USA, 30 June–2 July 2010; pp. 4731–4736. [Google Scholar]
- Khan, B.; Rossiter, J.A.; Valencia-Palomo, G. Exploiting Kautz functions to improve feasibility in MPC. IFAC Proc. Vol. 2011, 44, 6777–6782. [Google Scholar] [CrossRef] [Green Version]
- Sajjadi, S.; Mehrandezh, M.; Janabi-Sharifi, F. A Nonlinear Adaptive Model-Predictive Approach for Visual Servoing of Unmanned Aerial Vehicles. In Progress in Optomechatronic Technologies; Springer Proceedings in Physics Book Series; Springer: Berlin, Germany, 2019; pp. 153–164. [Google Scholar] [CrossRef]
- Zhang, Z. A flexible new technique for camera calibration. IEEE Trans. Pattern Anal. Mach. Intell. 2000, 22, 1330–1334. [Google Scholar] [CrossRef] [Green Version]
- Wang, L. Model Predictive Control System Design and Implementation Using MATLAB; Springer: Berlin, Germany, 2009. [Google Scholar]
- Kim, Y.; Bang, H. Introduction to Kalman Filter and Its Applications. In Introduction to Kalman Filter and Its Applications; IntechOpen: London, UK, 2018. [Google Scholar]
- Carrassi, A.; Vannitsem, S. State and parameter estimation with the extended Kalman filter: An alternative formulation of the model error dynamics. Q. J. R. Meteorol. Soc. 2011, 137, 435–451. [Google Scholar] [CrossRef]
- Sun, X.; Jin, L.; Xiong, M. Extended Kalman filter for estimation of parameters in nonlinear state-space models of biochemical networks. PLoS ONE 2008, 3, e3758. [Google Scholar] [CrossRef] [PubMed]
- Varshney, D.; Bhushan, M.; Patwardhan, S.C. State and parameter estimation using extended Kalman filter. J. Process Control 2019, 76, 98–111. [Google Scholar] [CrossRef]
- Assa, A.; Janabi-Sharifi, F. Robust model predictive control for visual servoing. In Proceedings of the 2014 IEEE/RSJ International Conference on Intelligent Robots and Systems, Chicago, IL, USA, 14–18 September 2014; pp. 2715–2720. [Google Scholar]
- Reina, G.; Messina, A. Vehicle Dynamics Estimation via Augmented Extended Kalman Filtering. Measurement 2018, 133, 383–395. [Google Scholar] [CrossRef]
- Patel, R.; Deb, D.; Modi, H.; Shah, S. Adaptive backstepping control scheme with integral action for quanser 2-dof helicopter. In Proceedings of the 2017 International Conference on Advances in Computing, Communications and Informatics (ICACCI), Manipal, India, 13–16 September 2017; pp. 571–577. [Google Scholar]
- Quanser. 2022. Available online: https://www.quanser.com/ (accessed on 5 January 2022).
- Logitech. 2022. Available online: https://www.logitech.com/en-ca/products/webcams/c270-hd-webcam.960-000694.html/ (accessed on 3 January 2022).
- Corke, P. Robotics, Vision and Control: Fundamental Algorithms in MATLAB®, 2nd ed.; Springer: Berlin, Germany, 2017. [Google Scholar]
- Assa, A.; Janabi-Sharifi, F. Hybrid predictive control for constrained visual servoing. In Proceedings of the 2014 IEEE/ASME International Conference on Advanced Intelligent Mechatronics, Besançon, France, 8–11 July 2014; pp. 931–936. [Google Scholar]
- Single Camera Calibrator App—MATLAB & Simulink. 2018. Available online: https://www.mathworks.com/help/vision/ug/single-camera-calibrator-app.html (accessed on 1 March 2021).
- Chaumette, F.; Hutchinson, S.; Corke, P. Visual servoing. In Springer Handbook of Robotics; Springer: Berlin, Germany, 2016; pp. 841–866. [Google Scholar]
- Gongye, Q.; Cheng, P.; Dong, J. Image-based visual servoing with depth estimation. Trans. Inst. Meas. Control 2022, 44, 1811–1823. [Google Scholar] [CrossRef]
- De Luca, A.; Oriolo, G.; Giordano, P.R. On-line estimation of feature depth for image-based visual servoing schemes. In Proceedings of the 2007 IEEE International Conference on Robotics and Automation, Roma, Italy, 10–14 April 2007; pp. 2823–2828. [Google Scholar]
- MATLAB. Webcam Support from MATLAB and Simulink. 2022. Available online: https://www.mathworks.com/hardware-support/webcam.html (accessed on 5 May 2022).
- MATLAB. Computer Vision with Simulink. 2022. Available online: https://www.mathworks.com/help/vision/computer-vision-with-simulink.html (accessed on 5 May 2022).
- MATLAB. MATLAB Function Blocks. 2022. Available online: https://www.mathworks.com/help/simulink/ug/what-is-a-matlab-function-block.html (accessed on 5 May 2022).












| Variable | Value | Unit | Parameter Description |
|---|---|---|---|
| Pitch angle | |||
| Yaw angle | |||
| g | 9.81 | (m/s2) | Gravity constant |
| (kg) | Total moving mass of the helicopter | ||
| (m) | Position of centre of mass from pitch axis | ||
| (N/V) | Viscous damping of the pitch axis | ||
| (N/V) | Viscous damping of the yaw axis | ||
| (kg m2) | Moment of inertia about pitch pivot | ||
| (kg m2) | Moment of inertia about yaw pivot | ||
| (Nm/V) | Thrust torque coefficient of pitch propeller on pitch angle | ||
| (Nm/V) | Thrust torque coefficient of pitch propeller on yaw angle | ||
| (Nm/V) | Thrust torque coefficient of yaw propeller on yaw angle | ||
| (Nm/V) | Thrust torque coefficient of yaw propeller on pitch angle |
Publisher’s Note: MDPI stays neutral with regard to jurisdictional claims in published maps and institutional affiliations. |
© 2022 by the authors. Licensee MDPI, Basel, Switzerland. This article is an open access article distributed under the terms and conditions of the Creative Commons Attribution (CC BY) license (https://creativecommons.org/licenses/by/4.0/).
Share and Cite
Sajjadi, S.; Mehrandezh, M.; Janabi-Sharifi, F. A Cascaded and Adaptive Visual Predictive Control Approach for Real-Time Dynamic Visual Servoing. Drones 2022, 6, 127. https://doi.org/10.3390/drones6050127
Sajjadi S, Mehrandezh M, Janabi-Sharifi F. A Cascaded and Adaptive Visual Predictive Control Approach for Real-Time Dynamic Visual Servoing. Drones. 2022; 6(5):127. https://doi.org/10.3390/drones6050127
Chicago/Turabian StyleSajjadi, Sina, Mehran Mehrandezh, and Farrokh Janabi-Sharifi. 2022. "A Cascaded and Adaptive Visual Predictive Control Approach for Real-Time Dynamic Visual Servoing" Drones 6, no. 5: 127. https://doi.org/10.3390/drones6050127
APA StyleSajjadi, S., Mehrandezh, M., & Janabi-Sharifi, F. (2022). A Cascaded and Adaptive Visual Predictive Control Approach for Real-Time Dynamic Visual Servoing. Drones, 6(5), 127. https://doi.org/10.3390/drones6050127

