Physical-Layer Security for UAV-Assisted Air-to-Underwater Communication Systems with Fixed-Gain Amplify-and-Forward Relaying
Abstract
1. Introduction
2. System and Channel Models
2.1. RF Channel Model
2.2. UWOC Channel Model
3. End-to-End SNR
4. Performance Metrics
4.1. SOP
4.1.1. Lower Bound
4.1.2. Asymptotic Results
4.2. PNZ
4.2.1. Exact Results
4.2.2. Asymptotic Results
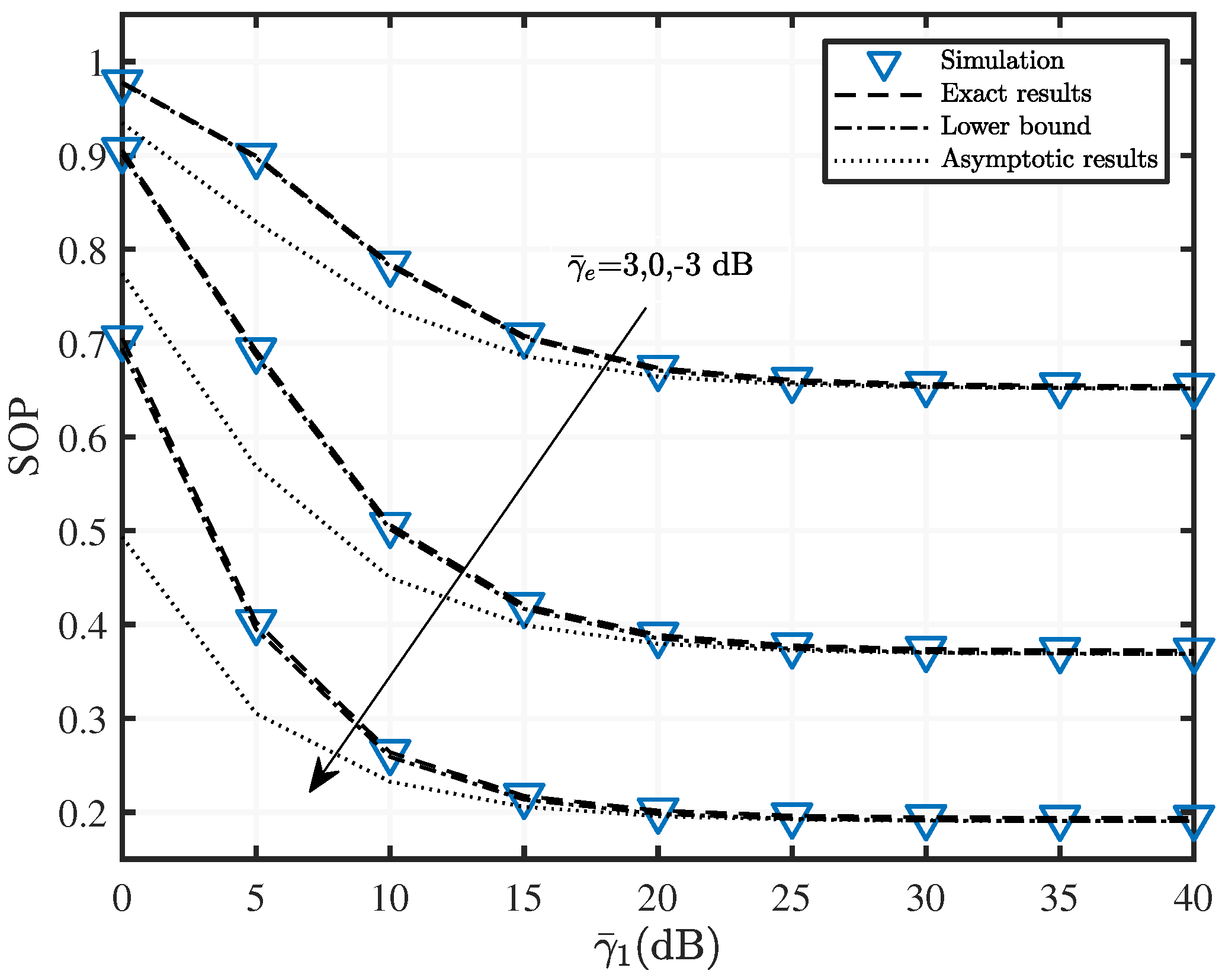
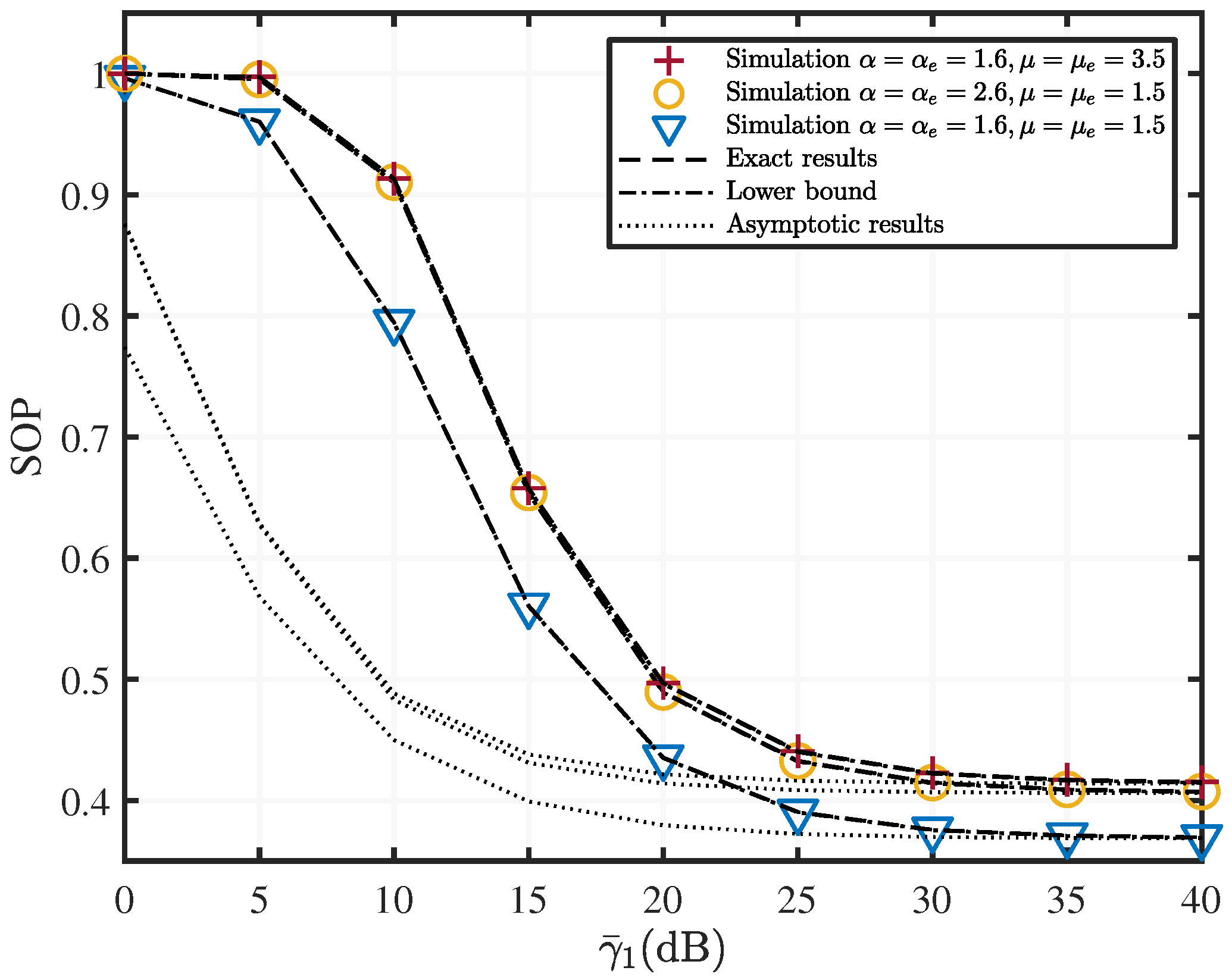
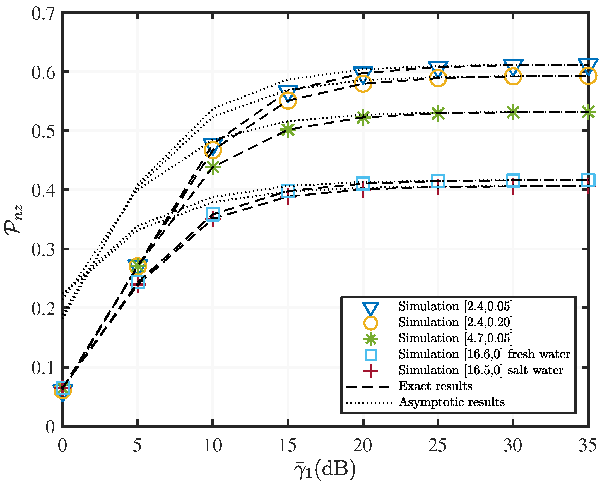
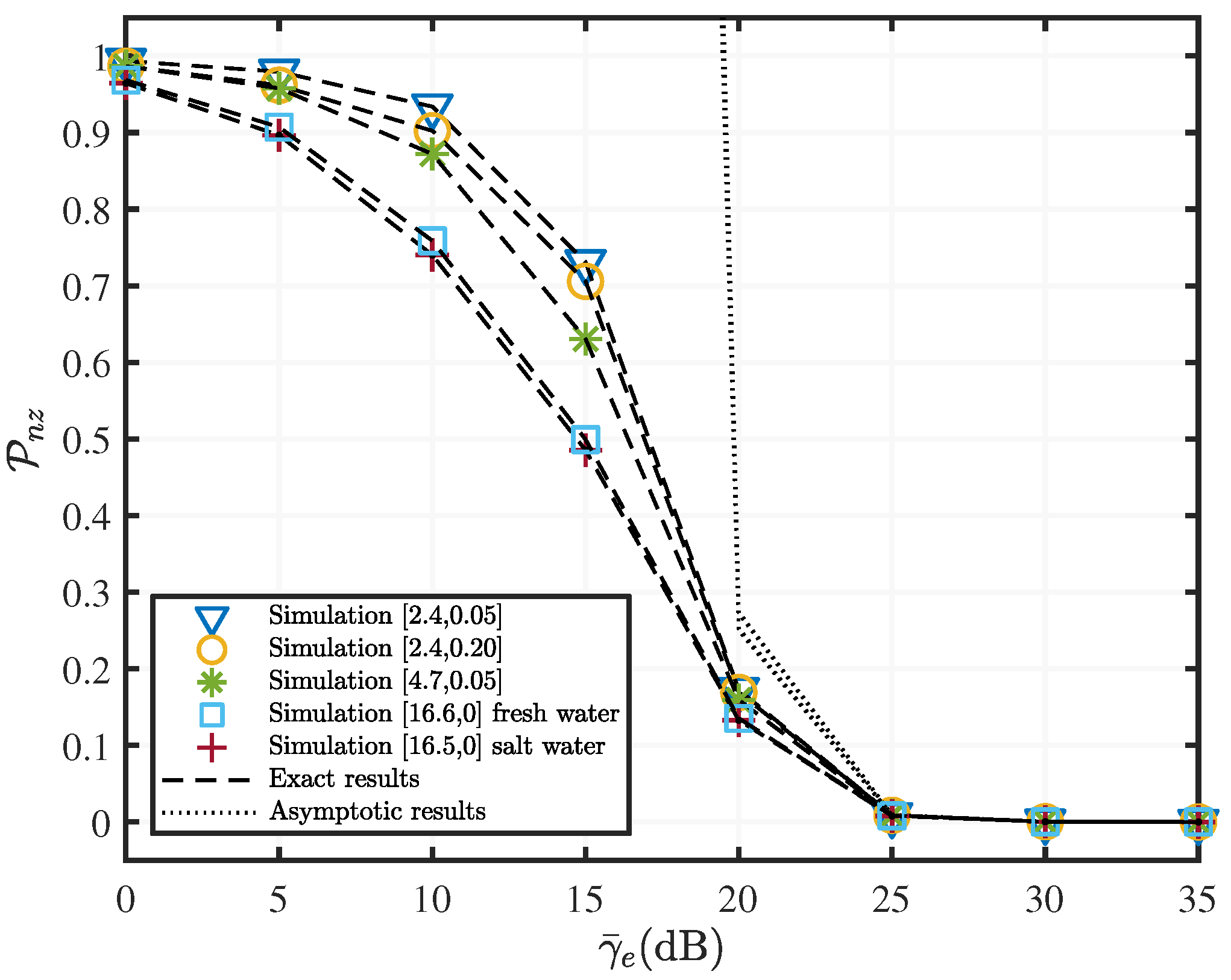
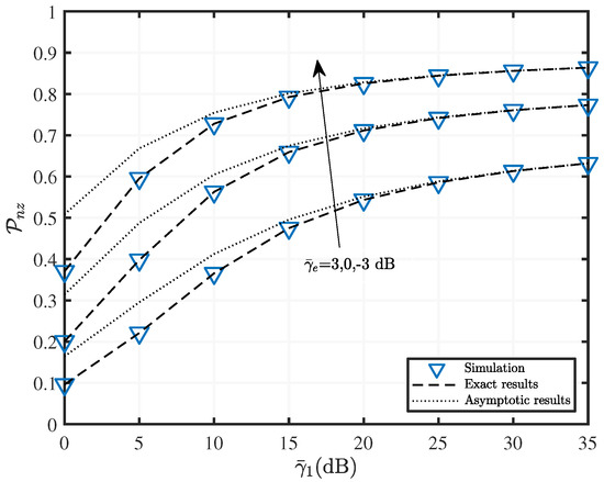
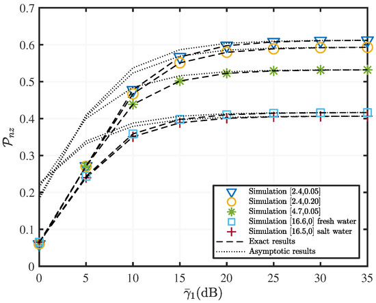
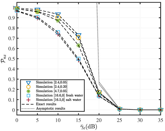
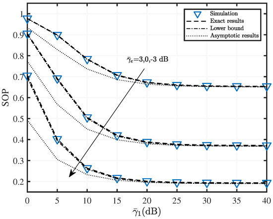
5. Numerical Results and Discussion





6. Conclusions
Author Contributions
Funding
Data Availability Statement
Conflicts of Interest
Appendix A. Proof of Theorem 1
Appendix B. Proof of Theorem 2
Appendix C. Proof of Theorem 3
Appendix D. Proof of Corollary 1
Appendix D.1. Case γ 1 →∞
Appendix D.2. Case γ e →∞
Appendix E. Proof of Theorem 4
References
- Wang, D.; He, Y.; Yu, K.; Srivastava, G.; Nie, L.; Zhang, R. Delay-Sensitive Secure NOMA Transmission for Hierarchical HAP–LAP Medical-Care IoT Networks. IEEE Trans. Ind. Inf. 2021, 18, 5561–5572. [Google Scholar] [CrossRef]
- Wang, D.; Zhou, F.; Lin, W.; Ding, Z.; Al-Dhahir, N. Cooperative Hybrid Non-Orthogonal Multiple Access Based Mobile-Edge Computing in Cognitive Radio Networks. IEEE Trans. Cogn. Commun. Netw. 2022, 8, 1104–1117. [Google Scholar] [CrossRef]
- Wang, D.; He, T.; Zhou, F.; Cheng, J.; Zhang, R.; Wu, Q. Outage-driven link selection for secure buffer-aided networks. Sci. China Inf. Sci 2022, 65, 182303. [Google Scholar] [CrossRef]
- Zeng, Z.; Fu, S.; Zhang, H.; Dong, Y.; Cheng, J. A Survey of Underwater Optical Wireless Communications. IEEE Commun. Surv. Tutor. 2017, 19, 204–238. [Google Scholar] [CrossRef]
- Dohler, M.; Li, Y. Cooperative Communications: Hardware, Channel and PHY, 1st ed.; Wiley: New York, NY, USA, 2010. [Google Scholar]
- Shin, H.D.; Song, J.B. MRC analysis of cooperative diversity with fixed-gain relays in Nakagami-M Fading Channels. IEEE Trans. Wirel. Commun. 2008, 7, 2069–2074. [Google Scholar] [CrossRef]
- Wang, G.; Xiang, W.; Yuan, J. Outage performance for compute-and-forward in generalized multi-way relay channels. IEEE Commun. Lett. 2012, 16, 2099–2102. [Google Scholar] [CrossRef]
- Zhang, L.; Xiang, W.; Tang, X. An efficient bit-detecting protocol for continuous tag recognition in mobile RFID systems. IEEE Trans. Mob. Comput. 2017, 17, 503–516. [Google Scholar] [CrossRef]
- Long, H.; Xiang, W.; Wang, J.; Zhang, Y.; Wang, W. Cooperative jamming and power allocation with untrusty two-way relay nodes. IET Commun. 2014, 8, 2290–2297. [Google Scholar] [CrossRef]
- Upadhya, A.; Dwivedi, V.K.; Karagiannidis, G.K. On the Effect of Interference and Misalignment Error in Mixed RF/FSO Systems over Generalized Fading Channels. IEEE Trans. Commun. 2020, 68, 3681–3695. [Google Scholar] [CrossRef]
- Lei, H.; Dai, Z.; Park, K.; Lei, W.; Pan, G.; Alouini, M. Secrecy outage analysis of mixed RF-FSO downlink SWIPT systems. IEEE Trans. Commun. 2018, 66, 6384–6395. [Google Scholar] [CrossRef]
- Zedini, E.; Soury, H.; Alouini, M.S. On the Performance Analysis of Dual-Hop Mixed FSO/RF Systems. IEEE Trans. Wirel. Commun. 2016, 15, 3679–3689. [Google Scholar] [CrossRef]
- Djordjevic, G.T.; Petkovic, M.I.; Cvetkovic, A.M.; Karagiannidis, G.K. Mixed RF/FSO Relaying with Outdated Channel State Information. IEEE J. Sel. AREAS Commun. 2015, 33, 1935–1948. [Google Scholar] [CrossRef]
- Lei, H.J.; Zhang, Y.Y.; Park, K.H.; Ansari, I.S.; Pan, G.F.; Alouini, M.S. Performance Analysis of Dual-Hop RF-UWOC Systems. IEEE Photonics J. 2020, 12, 7901915. [Google Scholar] [CrossRef]
- Illi, E.; El Bouanani, F.; Benevides da Costa, D.; Sofotasios, P.C.; Ayoub, F.; Mezher, K.; Muhaidat, S. Physical Layer Security of a Dual-Hop Regenerative Mixed RF/UOW System. IEEE Trans. Sustain. Comput. 2019, 6, 90–104. [Google Scholar] [CrossRef]
- Illi, E.; El Bouanani, F.; Da Costa, D.B.; Ayoub, F.; Dias, U.S. Dual-Hop Mixed RF-UOW Communication System: A PHY Security Analysis. IEEE Access 2018, 6, 55345–55360. [Google Scholar] [CrossRef]
- Christopoulou, C.; Sandalidis, H.G.; Ansari, I.S. Outage Probability of a Multisensor Mixed UOWC–FSO Setup. IEEE Sens. Lett. 2019, 3, 7501104. [Google Scholar] [CrossRef]
- Xing, F.Y.; Yin, H.X.; Ji, X.Y.; Leung, V.C.M. An Adaptive and Energy-Efficient Algorithm for Surface Gateway Deployment in Underwater Optical/Acoustic Hybrid Sensor Networks. IEEE Commun. Lett. 2018, 22, 1810–1813. [Google Scholar] [CrossRef]
- Johnson, L.; Green, R.; Leeson, M. A survey of channel models for underwater optical wireless communication. In Proceedings of the 2013 2nd International Workshop on Optical Wireless Communications (IWOW), Newcastle upon Tyne, UK, 21 October 2013; pp. 1–5. [Google Scholar]
- Zedini, E.; Oubei, H.M.; Kammoun, A.; Hamdi, M.; Ooi, B.S.; Alouini, M.S. A New Simple Model for Underwater Wireless Optical Channels in the Presence of Air Bubbles. In Proceedings of the GLOBECOM 2017—2017 IEEE Global Communications Conference, Singapore, 4–8 December 2017; pp. 1–6. [Google Scholar]
- Jaruwatanadilok, S. Underwater Wireless Optical Communication Channel Modeling and Performance Evaluation Using Vector Radiative Transfer Theory. IEEE J. Sel. AREAS Commun. 2008, 26, 1620–1627. [Google Scholar] [CrossRef]
- Cochenour, B.; Mullen, L.; Muth, J. Temporal Response of the Underwater Optical Channel for High-Bandwidth Wireless Laser Communications. IEEE J. Ocean. Eng. 2013, 38, 730–742. [Google Scholar] [CrossRef]
- Nabavi, P.; Haq, A.; Yuksel, M. Empirical Modeling and Analysis of Water-to-Air Optical Wireless Communication Channels. In Proceedings of the 2019 IEEE International Conference on Communications Workshops (ICC Workshops), Shanghai, China, 20–24 May 2019; pp. 1–6. [Google Scholar]
- Jamali, M.V.; Chizari, A.; Salehi, J.A. Performance Analysis of Multi-Hop Underwater Wireless Optical Communication Systems. IEEE Photonics Technol. Lett. 2017, 29, 462–465. [Google Scholar] [CrossRef]
- Jamali, M.V.; Salehi, J.A.; Akhoundi, F. Performance Studies of Underwater Wireless Optical Communication Systems with Spatial Diversity: MIMO Scheme. IEEE Trans. Commun. 2017, 65, 1176–1192. [Google Scholar] [CrossRef]
- Nezamalhosseini, S.A.; Chen, L.R. Optimal Power Allocation for MIMO Underwater Wireless Optical Communication Systems Using Channel State Information at the Transmitter. IEEE J. Ocean. Eng. 2020, 46, 319–325. [Google Scholar] [CrossRef]
- Luan, X.; Yue, P.; Yi, X. Scintillation index of an optical wave propagating through moderate-to-strong oceanic turbulence. JOSA A 2019, 36, 2048–2059. [Google Scholar] [CrossRef]
- Boucouvalas, A.C.; Peppas, K.P.; Yiannopoulos, K.; Ghassemlooy, Z. Underwater Optical Wireless Communications with Optical Amplification and Spatial Diversity. IEEE Photonics Technol. Lett. 2016, 28, 2613–2616. [Google Scholar] [CrossRef]
- Shin, M.; Park, K.H.; Alouini, M.S. Statistical Modeling of the Impact of Underwater Bubbles on an Optical Wireless Channel. IEEE Open J. Commun. Soc. 2020, 1, 808–818. [Google Scholar] [CrossRef]
- Elamassie, M.; Uysal, M. Vertical Underwater Visible Light Communication Links: Channel Modeling and Performance Analysis. IEEE Trans. Wirel. Commun. 2020, 19, 6948–6959. [Google Scholar] [CrossRef]
- Jamali, M.V.; Mirani, A.; Parsay, A.; Abolhassani, B.; Nabavi, P.; Chizari, A.; Khorramshahi, P.; Abdollahramezani, S.; Salehi, J.A. Statistical Studies of Fading in Underwater Wireless Optical Channels in the Presence of Air Bubble, Temperature, and Salinity Random Variations. IEEE Trans. Commun. 2018, 66, 4706–4723. [Google Scholar] [CrossRef]
- Zedini, E.; Oubei, H.M.; Kammoun, A.; Hamdi, M.; Ooi, B.S.; Alouini, M.S. Unified Statistical Channel Model for Turbulence-Induced Fading in Underwater Wireless Optical Communication Systems. IEEE Trans. Commun. 2019, 67, 2893–2907. [Google Scholar] [CrossRef]
- Hamamreh, J.M.; Furqan, H.M.; Arslan, H. Classifications and Applications of Physical Layer Security Techniques for Confidentiality: A Comprehensive Survey. IEEE Commun. Surv. Tutor. 2019, 21, 1773–1828. [Google Scholar] [CrossRef]
- Lei, H.J.; Dai, Z.J.; Ansari, I.S.; Park, K.H.; Pan, G.F.; Alouini, M.S. On Secrecy Performance of Mixed RF-FSO Systems. IEEE Photonics J. 2017, 9, 7904814. [Google Scholar] [CrossRef]
- Lei, H.J.; Luo, H.L.; Park, K.H.; Ren, Z.; Pan, G.F.; Alouini, M.S. Secrecy Outage Analysis of Mixed RF-FSO Systems with Channel Imperfection. IEEE Photonics J. 2018, 10, 7904113. [Google Scholar] [CrossRef]
- Yang, L.; Liu, T.; Chen, J.C.; Alouini, M.S. Physical-Layer Security for Mixed η – μ and M-Distrib. Dual-Hop RF/FSO Syst. IEEE Trans. Veh. Technol. 2018, 67, 12427–12431. [Google Scholar] [CrossRef]
- Lei, H.; Luo, H.; Park, K.H.; Ansari, I.S.; Lei, W.; Pan, G.; Alouini, M.S. On Secure Mixed RF-FSO Systems With TAS and Imperfect CSI. IEEE Trans. Commun. 2020, 68, 4461–4475. [Google Scholar] [CrossRef]
- Yacoub, M.D. The α-μ Distribution: A Physical Fading Model for the Stacy Distribution. IEEE Trans. Veh. Technol. 2007, 56, 27–34. [Google Scholar] [CrossRef]
- Lou, Y.; Sun, R.; Cheng, J.; Nie, D.; Qiao, G. Secrecy Outage Analysis of Two-Hop Decode-and-Forward Mixed RF/UWOC Systems. arXiv 2020, arXiv:2009.00328. [Google Scholar] [CrossRef]
- Mathai, A.M.; Saxena, R.K.; Haubold, H.J. The H-Function Theory and Applications; Springer: New York, NY, USA, 2010. [Google Scholar]
- Kong, L.; Kaddoum, G.; Rezki, Z. Highly Accurate and Asymptotic Analysis on the SOP Over SIMO α – μ Fading Channels. IEEE Commun. Lett. 2018, 22, 2088–2091. [Google Scholar] [CrossRef]
- Zedini, E.; Kammoun, A.; Soury, H.; Hamdi, M.; Alouini, M.S. Performance Analysis of Dual-Hop Underwater Wireless Optical Communication Systems over Mixture Exponential-Generalized Gamma Turbulence Channels. IEEE Trans. Commun. 2020, 68, 5718–5731. [Google Scholar] [CrossRef]
- Lapidoth, A.; Moser, S.M.; Wigger, M.A. On the Capacity of Free-Space Optical Intensity Channels. IEEE Trans. Inf. Theory 2009, 55, 4449–4461. [Google Scholar] [CrossRef]
- Chergui, H.; Benjillali, M.; Alouini, M.S. Rician K-Factor Anal. XLOS Serv. Probab. 5G Outdoor Ultra-Dense Networks. IEEE Wirel. Commun. Lett. 2019, 8, 428–431. [Google Scholar] [CrossRef]
- Almeida Garcia, F.D.; Flores Rodriguez, A.C.; Fraidenraich, G.; Santos Filho, J.C.S. CA-CFAR Detection Performance in Homogeneous Weibull Clutter. IEEE Geosci. Remote Sens. Lett. 2019, 16, 887–891. [Google Scholar] [CrossRef]
- Alhennawi, H.R.; El Ayadi, M.M.H.; Ismail, M.H.; Mourad, H.A.M. Closed-Form Exact and Asymptotic Expressions for the Symbol Error Rate and Capacity of the H-Function Fading Channel. IEEE Trans. Veh. Technol. 2016, 65, 1957–1974. [Google Scholar] [CrossRef]
- Lei, H.J.; Ansari, I.S.; Pan, G.F.; Alomair, B.; Alouini, M.S. Secrecy Capacity Analysis Over α – μ Fading Channels. IEEE Commun. Lett. 2017, 21, 1445–1448. [Google Scholar] [CrossRef]
- Kong, L.; Kaddoum, G.; Chergui, H. On Physical Layer Security Over Fox’s H-Function Wiretap Fading Channels. IEEE Trans. Veh. Technol. 2019, 68, 6608–6621. [Google Scholar] [CrossRef]
- Research, W. The Wolfram Functions Site. Available online: http://functions.wolfram.com (accessed on 29 September 2021).
- Gradshteyn, I.S.; Ryzhik, I.M. Table of Integrals, Series, and Products, 7th ed.; Academic Press: San Diego, CA, USA, 2007. [Google Scholar]
- Verma, R.U. On some integrals involving Meijer’s G-fucntion of two variables. Proc. Nat. Inst. Sci. India 1966, 39, 509–515. [Google Scholar]
- Kilbas, A.A.; Saigo, M. H-transforms: Theory and Applications (Analytical Method and Special Function), 1st ed.; CRC Press: Boca Raton, FL, USA, 2004. [Google Scholar]





Publisher’s Note: MDPI stays neutral with regard to jurisdictional claims in published maps and institutional affiliations. |
© 2022 by the authors. Licensee MDPI, Basel, Switzerland. This article is an open access article distributed under the terms and conditions of the Creative Commons Attribution (CC BY) license (https://creativecommons.org/licenses/by/4.0/).
Share and Cite
Lou, Y.; Sun, R.; Cheng, J.; Qiao, G.; Wang, J. Physical-Layer Security for UAV-Assisted Air-to-Underwater Communication Systems with Fixed-Gain Amplify-and-Forward Relaying. Drones 2022, 6, 341. https://doi.org/10.3390/drones6110341
Lou Y, Sun R, Cheng J, Qiao G, Wang J. Physical-Layer Security for UAV-Assisted Air-to-Underwater Communication Systems with Fixed-Gain Amplify-and-Forward Relaying. Drones. 2022; 6(11):341. https://doi.org/10.3390/drones6110341
Chicago/Turabian StyleLou, Yi, Ruofan Sun, Julian Cheng, Gang Qiao, and Jinlong Wang. 2022. "Physical-Layer Security for UAV-Assisted Air-to-Underwater Communication Systems with Fixed-Gain Amplify-and-Forward Relaying" Drones 6, no. 11: 341. https://doi.org/10.3390/drones6110341
APA StyleLou, Y., Sun, R., Cheng, J., Qiao, G., & Wang, J. (2022). Physical-Layer Security for UAV-Assisted Air-to-Underwater Communication Systems with Fixed-Gain Amplify-and-Forward Relaying. Drones, 6(11), 341. https://doi.org/10.3390/drones6110341

