Verification of the Detection Performance of Drone Radio Telemetry for Tracking the Movement of Frogs
Abstract
1. Introduction
2. Materials and Methods
2.1. Study Area
2.2. Drone Radio Telemetry System
2.3. Comparison of Detection Performance by Location
2.4. Comparison of Detection Performance by Multiple Flights
3. Results
3.1. Comparison of Detection Performance by Tag Locations
3.2. Comparison of Detection Performance with Multiple Flights
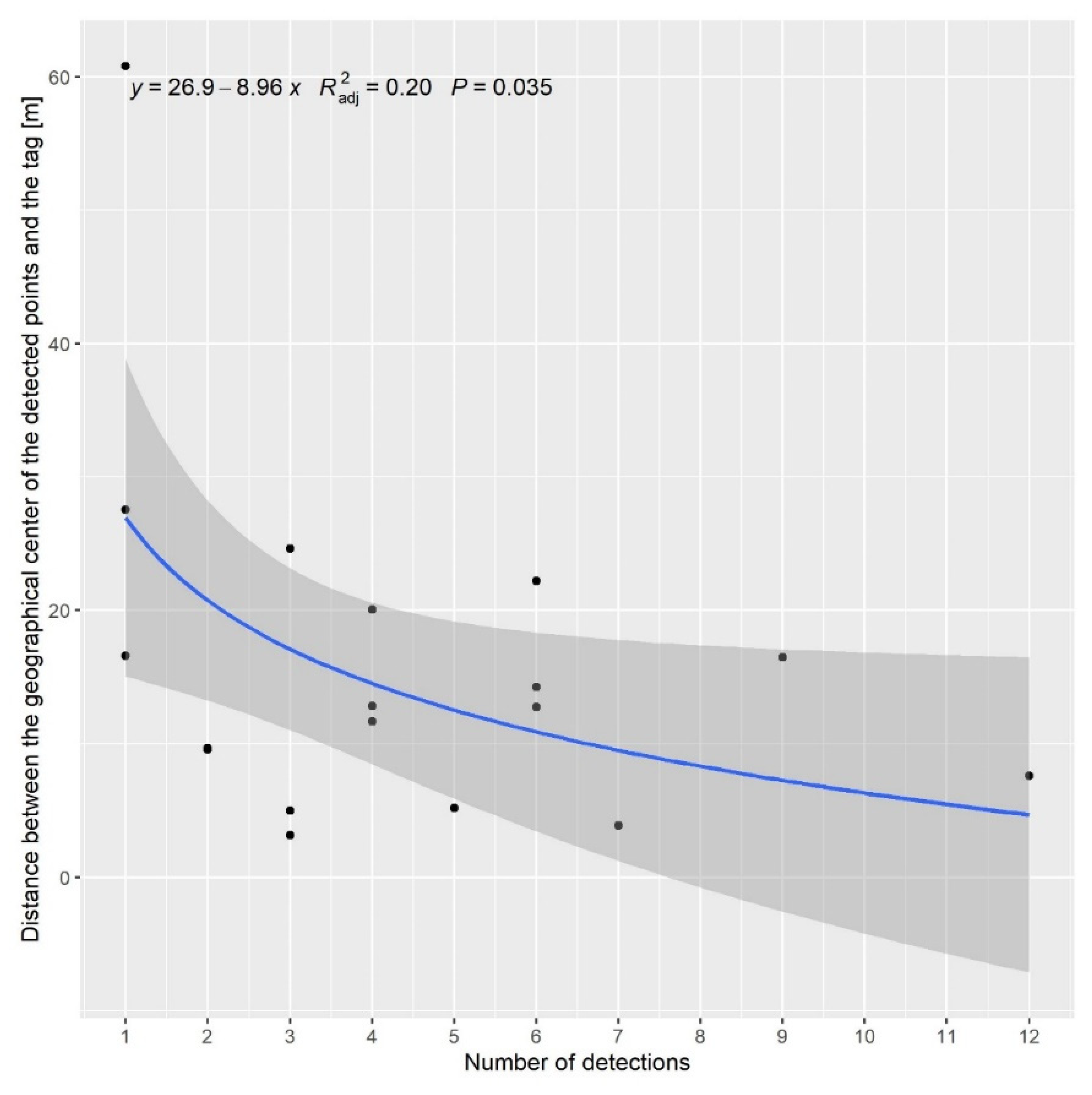
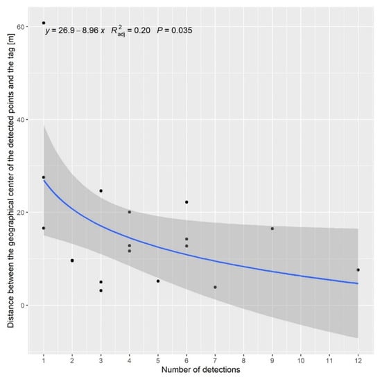
3.3. Relationship among the Distance from the Geographic Center of the Detection Points, the Nanotag Location, and the Number of Detections
4. Conclusions
4.1. Nanotag Detection
4.2. Spatial Accuracy of Nanotag Detection Points
4.3. Future Work
Author Contributions
Funding
Institutional Review Board Statement
Informed Consent Statement
Data Availability Statement
Conflicts of Interest
References
- Hindell, M.A.; Reisinger, R.R.; Ropert-Coudert, Y.; Hückstädt, L.A.; Trathan, P.N.; Bornemann, H.; Charrassin, J.-B.; Chown, S.L.; Costa, D.P.; Danis, B.; et al. Tracking of marine predators to protect Southern Ocean ecosystems. Nature 2020, 580, 87–92. [Google Scholar] [CrossRef] [PubMed]
- Ropert-Coudert, Y.; Van de Putte, A.P.; Reisinger, R.R.; Bornemann, H.; Charrassin, J.-B.; Costa, D.P.; Danis, B.; Hückstädt, L.A.; Jonsen, I.D.; Lea, M.-A.; et al. The retrospective analysis of Antarctic tracking data project. Sci. Data 2020, 7, 94. [Google Scholar] [CrossRef] [PubMed]
- Black, S.A. Assessing Presence, Decline, and Extinction for the Conservation of Difficult-to-Observe Species BT. In Problematic Wildlife II: New Conservation and Management Challenges in the Human-Wildlife Interactions; Angelici, F.M., Rossi, L., Eds.; Springer International Publishing: Cham, Switzerland, 2020; pp. 359–392. ISBN 978-3-030-42335-3. [Google Scholar]
- Shafer, M.W.; Vega, G.; Rothfus, K.; Flikkema, P. UAV wildlife radiotelemetry: System and methods of localization. Methods Ecol. Evol. 2019, 10, 1783–1795. [Google Scholar] [CrossRef]
- Ueno, Y.; Sonoda, Y.; Matsue, M.; Kurihara, M. Monitoring techniques of small salamander using microtip. Ecol. Civ. Eng. 2015, 17, 101–104. [Google Scholar] [CrossRef][Green Version]
- Aruga, M.; Tsuda, Y.; Fujioka, K.; Honda, K.; Mitsunaga, Y.; Mihara, K.; Miyashita, K. Upriver migration of chum salmon, Oncorhynchus keta, in the Ishikari River. Ecol. Civ. Eng. 2009, 12, 119–130. [Google Scholar] [CrossRef]
- Nii, H.; Makiguchi, Y.; Fujii, M. Upriver spawning migration of shishamo smelt Spirinchus lanceolatus assessed by radio telemetry. Fish. Sci. 2010, 76, 855–869. [Google Scholar]
- Mori, A.; Mizutani, M.; Goto, A. Monitoring of activity of catfish Silurus asotus with acoustic telemetry in a small stream. Ecol. Civ. Eng. 2013, 16, 23–35. [Google Scholar] [CrossRef][Green Version]
- Hara, Y.; Ohsugi, T.; Yokoo, K.; Oda, Y.; Fukui, D.; Takenaka, T.; Arimoto, S. Relationship between home range of the Japanese Pond Turtle, Mauremys japonica, and agro-ecosystem in rural landscape of Kainan City, Wakayama Prefecture, central Japan. Nanki Seibutsu 2015, 57, 97–106. [Google Scholar]
- Oishi, K.; Arakaki, T.; Nakamura, M.; Hata, K.; Sone, K. Spatial arrangement and size of home ranges of Apodemus speciosus inhabiting evergreen broad-leaved forest and adjacent cedar plantation, and migration between these stands. Honyurui Kagaku Mamm. Sci. 2018, 58, 23–31. [Google Scholar] [CrossRef]
- Körner, F.; Speck, R.; Göktogan, A.H.; Sukkarieh, S. Autonomous airborne wildlife tracking using radio signal strength. In Proceedings of the 2010 IEEE/RSJ International Conference on Intelligent Robots and Systems, Taipei, Taiwan, 18–22 October 2010; pp. 107–112. [Google Scholar]
- Chabot, D.; Bird, D.M. Wildlife research and management methods in the 21st century: Where do unmanned aircraft fit in? J. Unmanned Veh. Syst. Virtual Issue 2015, 3, 137–155. [Google Scholar] [CrossRef]
- Yamamoto, A.; Kanno, T.; Machida, Y.; Nakatsuka, S.; Suzuki, M.; Tanaka, T.; Kanaiwa, M. The drone telemetry to identify the habitat of female signal crayfish bore eggs introduced in a small river on eastern Hokkaido over winter. Ecol. Civ. Eng. 2020, 22, 125–131. [Google Scholar] [CrossRef]
- Desrochers, A.; Tremblay, J.A.; Aubry, Y.; Chabot, D.; Pace, P.; Bird, D.M. Estimating Wildlife Tag Location Errors from a VHF Receiver Mounted on a Drone. Drones 2018, 2, 44. [Google Scholar] [CrossRef]
- Saeki, M.; Waseda, K. Radio-tracking and data analysis. Honyurui Kagaku Mamm. Sci. 2006, 46, 193–210. [Google Scholar] [CrossRef]
- Madison, D.M.; Titus, V.R.; Lamoureux, V.S. Movement patterns and radiotelemetry. In Amphibian Ecology and Conservation: A Handbook of Techniques; Oxford Biology; Dodd, C.K., Ed.; OUP Oxford: Oxford, UK, 2010; ISBN 9780199541188. [Google Scholar]
- Nguyen, H.V.; Chesser, M.; Koh, L.P.; Rezatofighi, S.H.; Ranasinghe, D.C. TrackerBots: Autonomous unmanned aerial vehicle for real-time localization and tracking of multiple radio-tagged animals. J. Field Robot. 2019, 36, 617–635. [Google Scholar] [CrossRef]
- Hui, N.T.; Lo, E.K.; Moss, J.B.; Gerber, G.P.; Welch, M.E.; Kastner, R.; Schurgers, C. A more precise way to localize animals using drones. J. Field Robot. 2021, 38, 917–928. [Google Scholar] [CrossRef]






| Flight Times | Tag Locations | Number of Detections | Distance between Detected Points and Tag | Distance between the Geographic Center of the Detected Points and the Tag | |||
|---|---|---|---|---|---|---|---|
| Average Value | Maximum Value | Minimum Value | Standard Deviation | ||||
| 1 | 5 cm in the soil | 12 | 31 | 46 | 12 | 12 | 8 |
| 2 | 10 cm in the soil | 1 | 17 | 17 | 17 | 17 | |
| 3 | 20 cm in the soil | 3 | 23 | 33 | 12 | 11 | 3 |
| 4 | 30 cm in the soil | 0 | |||||
| 5 | 100 cm in a concrete channel with a lid | 0 | |||||
| 1 | 9 cm deep in the masonry | 7 | 35 | 51 | 20 | 10 | 4 |
| 2 | 30 cm deep in the masonry | 3 | 32 | 55 | 6 | 25 | 5 |
| 3 | 80 cm inside a clay pipe | 1 | 28 | 28 | 28 | 28 | |
| 4 | In a grassy field 100 cm high | 1 | 61 | 61 | 61 | 61 | |
| 5 | Under the plastic bag | 9 | 39 | 65 | 5 | 17 | 16 |
| Tag ID | Flight Times | Number of Detections | Distance between Detected Points and Tag | Distance between the Geographic Center of the Detected Points and the Tag | |||
|---|---|---|---|---|---|---|---|
| Average Value | Maximum Value | Minimum Value | Standard Deviation | ||||
| 162 | 1 | 6 | 34 | 48 | 16 | 15 | 22 |
| 2 | 6 | 34 | 51 | 12 | 15 | 14 | |
| 3 | 2 | 16 | 18 | 14 | 2 | 10 | |
| 4 | 3 | 31 | 40 | 16 | 13 | 25 | |
| 5 | 4 | 29 | 49 | 6 | 18 | 12 | |
| average value | 4 | 29 | 41 | 13 | 16 | ||
| 46 | 1 | 4 | 25 | 42 | 12 | 12 | 13 |
| 2 | 5 | 40 | 65 | 13 | 23 | 5 | |
| 3 | 2 | 21 | 27 | 14 | 9 | 10 | |
| 4 | 4 | 31 | 46 | 12 | 16 | 20 | |
| 5 | 6 | 32 | 47 | 16 | 13 | 13 | |
| average value | 4 | 30 | 45 | 14 | 12 | ||
Publisher’s Note: MDPI stays neutral with regard to jurisdictional claims in published maps and institutional affiliations. |
© 2021 by the authors. Licensee MDPI, Basel, Switzerland. This article is an open access article distributed under the terms and conditions of the Creative Commons Attribution (CC BY) license (https://creativecommons.org/licenses/by/4.0/).
Share and Cite
Niwa, H.; Sawai, Y. Verification of the Detection Performance of Drone Radio Telemetry for Tracking the Movement of Frogs. Drones 2021, 5, 139. https://doi.org/10.3390/drones5040139
Niwa H, Sawai Y. Verification of the Detection Performance of Drone Radio Telemetry for Tracking the Movement of Frogs. Drones. 2021; 5(4):139. https://doi.org/10.3390/drones5040139
Chicago/Turabian StyleNiwa, Hideyuki, and Yuya Sawai. 2021. "Verification of the Detection Performance of Drone Radio Telemetry for Tracking the Movement of Frogs" Drones 5, no. 4: 139. https://doi.org/10.3390/drones5040139
APA StyleNiwa, H., & Sawai, Y. (2021). Verification of the Detection Performance of Drone Radio Telemetry for Tracking the Movement of Frogs. Drones, 5(4), 139. https://doi.org/10.3390/drones5040139

