Effect of the Solar Zenith Angles at Different Latitudes on Estimated Crop Vegetation Indices
Abstract
:1. Introduction
2. Materials and Methods
2.1. Study Locations
2.2. UAV Systems and Sensors
2.3. Ground-Truth Measurements
2.4. Image Processing and Feature Extraction
2.5. Data Analysis
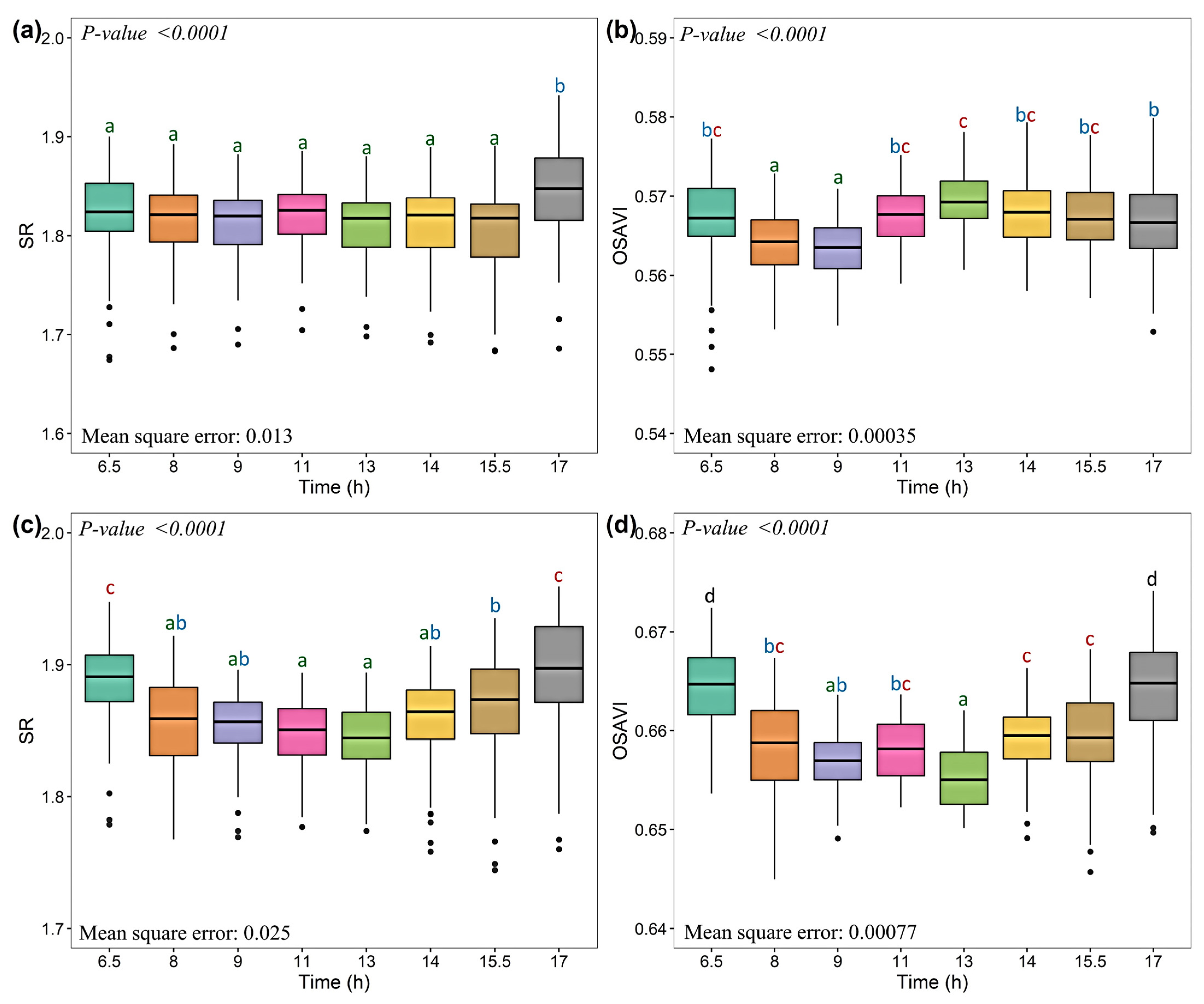
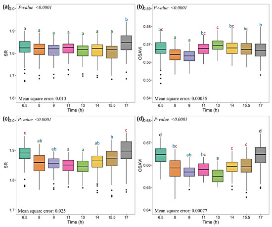
3. Results
3.1. Spectral Band Analysis
3.2. Correlation Analysis with Seed/Grain Yield
3.3. Correlation Analysis with Dry Biomass and Tiller Number
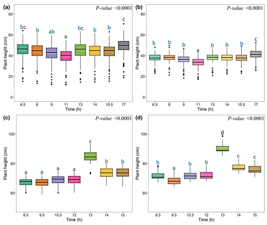
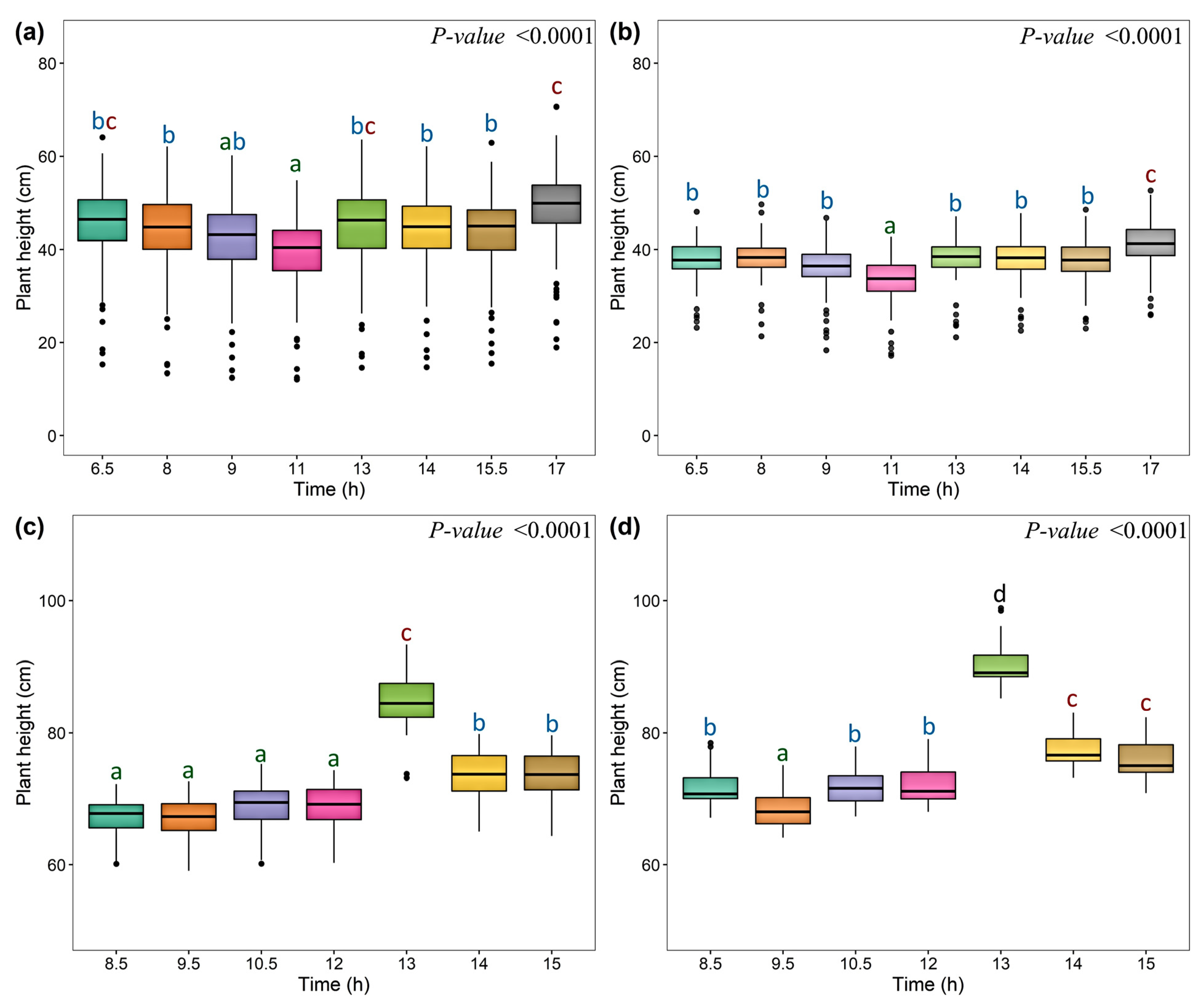
3.4. Correlation Analysis with Plant Height
3.5. Influence of SZA Based on Analysis of Variance and Post-Hoc Test
4. Discussion
5. Conclusions
Supplementary Materials
Author Contributions
Funding
Data Availability Statement
Acknowledgments
Conflicts of Interest
References
- Ustin, S.L.; Jacquemoud, S. How the optical properties of leaves modify the absorption and scattering of energy and enhance leaf functionality? In Remote Sensing of Plant Biodiversity; Springer International Publishing: Cham, Switzerland, 2020; pp. 349–384. [Google Scholar]
- Goodin, D.G.; Gao, J.; Henebry, G.M. The effect of solar illumination angle and sensor view angle on observed patterns of spatial structure in tallgrass prairie. IEEE Trans. Geosci. Remote Sens. 2004, 42, 154–165. [Google Scholar] [CrossRef]
- Wen, J.; Liu, Q.; Xiao, Q.; Liu, Q.; You, D.; Hao, D.; Wu, S.; Lin, X. Characterizing land surface anisotropic reflectance over rugged terrain: A review of concepts and recent developments. Remote Sens. 2018, 10, 370. [Google Scholar] [CrossRef] [Green Version]
- Wierzbicki, D.; Kedzierski, M.; Fryskowska, A.; Jasinski, J. Quality assessment of the bidirectional reflectance distribution function for NIR imagery sequences from UAV. Remote Sens. 2018, 10, 1348. [Google Scholar] [CrossRef] [Green Version]
- Weyermann, J.; Damm, A.; Kneubuhler, M.; Schaepman, M.E. Correction of reflectance anisotropy effects of vegetation on airborne spectroscopy data and derived products. IEEE Trans. Geosci. Remote Sens. 2014, 52, 616–627. [Google Scholar] [CrossRef]
- Latifovic, R.; Cihlar, J.; Chen, J. A comparison of BRDF models for the normalization of satellite optical data to a standard sun-target-sensor geometry. IEEE Trans. Geosci. Remote Sens. 2003, 41, 1889–1898. [Google Scholar] [CrossRef]
- Renhorn, I.G.E.; Hallberg, T.; Boreman, G.D. Efficient polarimetric BRDF model. Opt. Express 2015, 23, 31253–31273. [Google Scholar] [CrossRef]
- Susaki, J.; Hara, K.; Kajiwara, K.; Honda, Y. Robust estimation of BRDF model parameters. Remote Sens. Environ. 2004, 89, 63–71. [Google Scholar] [CrossRef]
- Doering, D.; Vizzotto, M.R.; Bredemeier, C.; da Costa, C.M.; Henriques, R.V.B.; Pignaton, E.; Pereira, C.E. MDE-based development of a multispectral camera for precision agriculture. IFAC-Pap. 2016, 49, 24–29. [Google Scholar] [CrossRef]
- Yang, G.; Liu, J.; Zhao, C.; Li, Z.; Huang, Y.; Yu, H.; Xu, B.; Yang, X.; Zhu, D.; Zhang, X.; et al. Unmanned Aerial Vehicle Remote Sensing for Field-Based Crop Phenotyping: Current Status and Perspectives. Front. Plant Sci. 2017, 8, 1111. [Google Scholar] [CrossRef]
- Ahmed, I.; Eramian, M.; Ovsyannikov, I.; van der Kamp, W.; Nielsen, K.; Duddu, H.S.; Rumali, A.; Shirtliffe, S.; Bett, K. Automatic detection and segmentation of lentil crop breeding plots from multi-spectral images captured by UAV-mounted camera. In Proceedings of the 2019 IEEE Winter Conference on Applications of Computer Vision (WACV), Waikoloa Village, HI, USA, 7–11 January 2019; pp. 1673–1681. [Google Scholar]
- Quirós, J.J.; McGee, R.J.; Vandemark, G.J.; Romanelli, T.; Sankaran, S. Field phenotyping using multispectral imaging in pea (Pisum aativum L) and chickpea (Cicer arietinum L). Eng. Agric. Environ. Food 2019, 12, 404–413. [Google Scholar] [CrossRef]
- Zhang, C.; McGee, R.J.; Vandemark, G.J.; Sankaran, S. Crop performance evaluation of chickpea and dry pea breeding lines across seasons and locations using phenomics data. Front. Plant Sci. 2011, 12, 61. [Google Scholar]
- Zhang, C.; Craine, W.A.; McGee, R.J.; Vandemark, G.J.; Davis, J.B.; Brown, J.; Hulbert, S.H.; Sankaran, S. Image-based phenotyping of flowering intensity in cool-season crops. Sensors 2020, 20, 1450. [Google Scholar] [CrossRef] [Green Version]
- Kang, Y.; Nam, J.; Kim, Y.; Lee, S.; Seong, D.; Jang, S.; Ryu, C. Assessment of regression models for predicting rice yield and protein content using unmanned aerial vehicle-based multispectral imagery. Remote Sens. 2021, 13, 1508. [Google Scholar] [CrossRef]
- Ogawa, D.; Sakamoto, T.; Tsunematsu, H.; Kanno, N.; Nonoue, Y.; Yonemaru, J.-I. Haplotype analysis from unmanned aerial vehicle imagery of rice MAGIC population for the trait dissection of biomass and plant architecture. J. Exp. Bot. 2021, 72, 2371–2382. [Google Scholar] [CrossRef]
- Naito, H.; Ogawa, S.; Valencia, M.O.; Mohri, H.; Urano, Y.; Hosoi, F.; Shimizu, Y.; Chavez, A.L.; Ishitani, M.; Selvaraj, M.G.; et al. Estimating rice yield related traits and quantitative trait loci analysis under different nitrogen treatments using a simple tower-based field phenotyping system with modified single-lens reflex cameras. ISPRS J. Photogramm. Remote Sens. 2017, 125, 50–62. [Google Scholar] [CrossRef]
- Rouse, J.; Haas, R.H.; Deering, D.; Schell, J.A.; Harlan, J. Monitoring the Vernal Advancement and Retrogradation (Green Wave Effect) of Natural Vegetation; NASA/GSFC Type III Final Report; Texas A&M University: Greenbelt, MD, USA, 1974; p. 371. [Google Scholar]
- Gitelson, A.A.; Kaufman, Y.J.; Merzlyak, M.N. Use of a green channel in remote sensing of global vegetation from EOS-MODIS. Remote Sens. Environ. 1996, 58, 289–298. [Google Scholar] [CrossRef]
- Huete, A.R. A soil-adjusted vegetation index (SAVI). Remote Sens. Environ. 1988, 25, 295–309. [Google Scholar] [CrossRef]
- Gitelson, A.; Merzlyak, M.N. Spectral reflectance changes associated with autumn senescence of Aesculus hippocastanum L. and Acer platanoides L. leaves. Spectral features and relation to chlorophyll estimation. J. Plant Physiol. 1994, 143, 286–292. [Google Scholar] [CrossRef]
- Deering, D.W.; Rouse, J.W.; Haas, R.H.; Schel, J.A. Measuring forage production of grazing units from landsat mss data. In Proceedings of the 10th International Symposium of Remote Sensing of Environment, Ann Arbor, MI, USA, 6–10 October 1975; Volume II, pp. 1169–1178. [Google Scholar]
- Birth, G.S.; McVey, G.R. Measuring the color of growing turf with a reflectance spectrophotometer 1. Agron. J. 1968, 60, 640–643. [Google Scholar] [CrossRef]
- Rondeaux, G.; Steven, M.; Baret, F. Optimization of soil-adjusted vegetation indices. Remote Sens. Environ. 1996, 55, 95–107. [Google Scholar] [CrossRef]
- Delegido, J.; Verrelst, J.; Alonso, L.; Moreno, J. Evaluation of Sentinel-2 Red-Edge Bands for Empirical Estimation of Green LAI and Chlorophyll Content. Sensors 2011, 11, 7063–7081. [Google Scholar] [CrossRef] [PubMed] [Green Version]
- Daughtry, C.; Walthall, C.; Kim, M.; Brownde de Colstoun, E.; McMurtrey, J. Estimating corn leaf chlorophyll concentration from leaf and canopy reflectance. Remote Sens. Environ. 2000, 74, 229–239. [Google Scholar] [CrossRef]
- Zhang, K.; Ge, X.; Shen, P.; Li, W.; Liu, X.; Cao, Q.; Zhu, Y.; Cao, W.; Tian, Y. Predicting rice grain yield based on dynamic changes in vegetation indexes during early to mid-growth stages. Remote Sens. 2019, 11, 387. [Google Scholar] [CrossRef] [Green Version]
- RStudio Team. RStudio: Integrated Development Environment for R. RStudio; PBC: Boston, MA, USA, 2021; Available online: http://www.rstudio.com/ (accessed on 4 March 2021).
- Middleton, E. Solar zenith angle effects on vegetation indices in tallgrass prairie. Remote Sens. Environ. 1991, 38, 45–62. [Google Scholar] [CrossRef]
- Hashimoto, N.; Saito, Y.; Maki, M.; Homma, K. Simulation of reflectance and vegetation indices for unmanned aerial vehicle (UAV) monitoring of paddy fields. Remote Sens. 2019, 11, 2119. [Google Scholar] [CrossRef] [Green Version]
- Ma, X.; Huete, A.; Tran, N.N. Interaction of seasonal sun-angle and savanna phenology observed and modelled using MODIS. Remote Sens. 2019, 11, 1398. [Google Scholar] [CrossRef] [Green Version]
- Ishihara, M.; Inoue, Y.; Ono, K.; Shimizu, M.; Matsuura, S. The impact of sunlight conditions on the consistency of vegetation indices in croplands—Effective usage of vegetation indices from continuous ground-based spectral measurements. Remote Sens. 2015, 7, 14079. [Google Scholar] [CrossRef] [Green Version]









| Trial | Agronomic Traits | n | Min. | Max. | Median | Mean | Std. Dev. |
|---|---|---|---|---|---|---|---|
| Pea | Seed yield (kg.ha−1) | 89 | 1665 | 3981 | 3133 | 3117 | 422 |
| Chickpea | Seed yield (kg.ha−1) | 72 | 1220 | 3205 | 2549 | 2484 | 394 |
| IR64 | Grain yield (g.plant−1) | 36 | 35 | 61 | 45 | 45 | 6 |
| Dry biomass (g.plant−1) | 36 | 21 | 38 | 29 | 29 | 4 | |
| Tiller number | 36 | 10 | 21 | 14 | 14 | 2 | |
| Plant height (cm) | 36 | 81 | 97 | 92 | 92 | 3 | |
| Ciherang | Grain yield (g.plant−1) | 24 | 37 | 50 | 43 | 43 | 4 |
| Dry biomass (g.plant−1) | 24 | 21 | 37 | 27 | 28 | 4 | |
| Tiller number | 24 | 9 | 13 | 11 | 11 | 1 | |
| Plant height (cm) | 24 | 88 | 100 | 94 | 94 | 3 |
| Image Features | Equation |
|---|---|
| Normalized Difference Vegetation Index | NDVI = (NIR − Red) / (NIR + Red) |
| Green Normalized Difference Vegetation Index | GNDVI = (NIR − Green) / (NIR + Green) |
| Soil-Adjusted Vegetation Index | SAVI = 1.5 (NIR − Red) / (NIR + Red + 0.5) |
| Red-Edge Normalized Difference Vegetation Index | NDRE = (NIR − RE) / (NIR + RE) |
| Transformed Vegetation Index | TVI = 0.5 (120 (NIR − Green) − 200 (Red − Green) |
| Simple Ratio | SR = NIR / Red |
| Optimized Soil-Adjusted Vegetation Index | OSAVI = (NIR − Red) / (NIR + Red + 0.16) |
| Normalized Difference Vegetation Index Red-Edge | NDVIRE= (RE − Red) / (RE + Red) |
| Modified Chlorophyll Absorption in Reflectance Index | MCARI = ((RED − Red) − 0.2 (RE − Green)) RE/Red |
| Canopy Height | CH = DSM − DTM |
| Trials | Bands | Descriptive Statistics | Post-hoc Pairwise Comparisons | |||||||||||
|---|---|---|---|---|---|---|---|---|---|---|---|---|---|---|
| Mean | Max | Min | Range (%) | Hour | 6.5 | 8 | 9 | 11 | 13 | 14 | 15.5 | 17 | ||
| Pea | NIR | 0.73 | 0.83 | 0.64 | 23 | → | b | a | a | bc | d | bc | cd | a |
| Red | 0.40 | 0.47 | 0.35 | 26 | → | c | b | b | c | d | cd | d | a | |
| Green | 0.49 | 0.57 | 0.43 | 25 | → | cd | a | a | a | bc | bc | d | b | |
| Blue | 0.35 | 0.41 | 0.31 | 24 | → | b | a | a | b | c | bc | c | a | |
| Chickpea | NIR | 0.69 | 0.81 | 0.59 | 27 | → | e | bc | ab | d | a | cd | ac | d |
| Red | 0.37 | 0.45 | 0.32 | 29 | → | d | ab | a | cd | a | bc | ab | bc | |
| Green | 0.54 | 0.54 | 0.38 | 30 | → | d | ab | a | c | a | c | bc | d | |
| Blue | 0.33 | 0.39 | 0.28 | 28 | → | e | ac | a | d | a | bcd | ab | cd | |
| Hour | 8.5 | 9.5 | 10.5 | 12 | 13 | 14 | 15 | |||||||
| IR64 | NIR | 0.37 | 0.47 | 0.30 | 36 | → | e | d | b | a | ab | c | d | |
| RE | 0.21 | 0.26 | 0.16 | 38 | → | d | d | b | b | a | c | d | ||
| Red | 0.06 | 0.09 | 0.04 | 56 | → | a | ab | bc | c | a | c | ab | ||
| Green | 0.08 | 0.10 | 0.06 | 40 | → | e | de | b | bcd | a | bc | ce | ||
| Blue | 0.04 | 0.05 | 0.03 | 40 | → | b | c | c | b | b | a | c | ||
| Ciherang | NIR | 0.35 | 0.46 | 0.27 | 41 | → | d | d | b | a | ab | c | d | |
| RE | 0.17 | 0.21 | 0.14 | 33 | → | cd | d | b | b | a | bc | cd | ||
| Red | 0.06 | 0.1 | 0.03 | 70 | → | a | ab | cd | e | a | de | bc | ||
| Green | 0.07 | 0.1 | 0.06 | 40 | → | ab | ab | ab | b | a | ab | ab | ||
| Blue | 0.03 | 0.05 | 0.02 | 60 | → | a | c | c | c | bc | ab | c | ||
| Time (h) | 6.5 | 8 | 9 | 11 | 13 | 14 | 15.5 | 17 | 8.5 | 9.5 | 10.5 | 12 | 13 | 14 | 15 | ||
|---|---|---|---|---|---|---|---|---|---|---|---|---|---|---|---|---|---|
| Pea | PH | - | - | - | - | - | - | - | IR64 | 0.65 *** | 0.60 *** | 0.61 *** | 0.59 *** | 0.54 *** | 0.61 *** | 0.60 *** | |
| GY | 0.38 *** | 0.42 *** | 0.39 *** | 0.39 *** | 0.33 ** | 0.33 ** | 0.32 ** | 0.32 ** | 0.48 ** | 0.50 ** | 0.5 ** | 0.43 ** | 0.43 ** | 0.47 ** | 0.48 ** | ||
| DB | - | - | - | - | - | - | - | 0.45 ** | 0.44 ** | 0.43 ** | 0.40 * | 0.42 * | 0.42 ** | 0.44 ** | |||
| TN | - | - | - | - | - | - | - | 0.22 NS | 0.21 NS | 0.21 NS | 0.15 NS | 0.16 NS | 0.20 NS | 0.20 NS | |||
| NDVI | 0.49 *** | 0.53 *** | 0.56 *** | 0.58 *** | 0.54 *** | 0.53 *** | 0.48 *** | 0.28 ** | 0.39 * | 0.40 * | 0.36 * | 0.39 * | 0.15 NS | 0.28 NS | 0.42 * | ||
| GNDVI | 0.48 *** | 0.46 *** | 0.45 *** | 0.45 *** | 0.43 *** | 0.47 *** | 0.44 *** | 0.29 ** | 0.39 * | 0.37 * | 0.32 NS | 0.34 * | 0.40 * | 0.43 ** | 0.42 * | ||
| SAVI | 0.48 *** | 0.33 ** | 0.21 NS | 0.05 NS | 0.05 NS | 0.07 NS | 0.30 ** | 0.25 * | 0.38 * | 0.36 * | 0.36 * | 0.29 NS | 0.07 NS | 0.33 * | 0.44 ** | ||
| NDRE | - | - | - | - | - | - | - | 0.50 ** | 0.48 ** | 0.42 ** | 0.43 ** | 0.43 ** | 0.51 *** | 0.47 ** | |||
| TVI | 0.49 *** | 0.53 *** | 0.56 *** | 0.58 *** | 0.54 *** | 0.52 *** | 0.48 *** | 0.28 ** | 0.36 * | 0.33 * | 0.35 * | 0.23 NS | −0.03 NS | 0.3 NS | 0.43 ** | ||
| SR | 0.37 *** | 0.10 NS | −0.14 NS | −0.28 ** | −0.31 ** | −0.24 * | 0.04 NS | 0.14 NS | 0.52 *** | 0.49 ** | 0.44 ** | 0.44 ** | 0.44 ** | 0.53 *** | 0.48 ** | ||
| OSAVI | 0.46 *** | 0.28 ** | 0.13 NS | −0.05 NS | −0.05 NS | −0.01 NS | 0.25 * | 0.23 * | 0.39 * | 0.38 * | 0.37 * | 0.34 * | 0.11 NS | 0.32 NS | 0.44 ** | ||
| NDVIRE | - | - | - | - | - | - | - | 0.31 NS | 0.33 * | 0.26 NS | 0.31 NS | −0.04 NS | 0.09 NS | 0.34 * | |||
| MCARI | - | - | - | - | - | - | - | 0.43 ** | 0.40 * | 0.38 * | 0.33 NS | 0.28 NS | 0.44 ** | 0.47 ** | |||
| Chickpea | PH | - | - | - | - | - | - | - | Ciherang | 0.85 *** | 0.86 *** | 0.83 *** | 0.75 *** | 0.83 *** | 0.82 *** | 0.75 *** | |
| GY | 0.26 * | 0.39 *** | 0.57 *** | 0.63 *** | 0.49 *** | 0.26 * | 0.21 NS | 0.16 NS | 0.45 * | 0.28 NS | 0.39 NS | 0.21 NS | 0.37 NS | 0.45 * | 0.27 NS | ||
| DB | - | - | - | - | - | - | - | 0.66 *** | 0.51 * | 0.64 *** | 0.44 * | 0.58 ** | 0.70 *** | 0.54 ** | |||
| TN | - | - | - | - | - | - | - | −0.02 NS | −0.17 NS | −0.08 NS | −0.27 NS | −0.09 NS | −0.05 NS | −0.24 NS | |||
| NDVI | 0.45 *** | 0.55 *** | 0.63 *** | 0.75 *** | 0.62 *** | 0.41 *** | 0.31 ** | 0.29 * | 0.43 * | 0.14 NS | 0.29 NS | 0.03 NS | 0.45 * | 0.32 NS | 0.38 NS | ||
| GNDVI | 0.49 *** | 0.49 *** | 0.43 *** | 0.54 *** | 0.49 *** | 0.42 *** | 0.39 *** | 0.33 ** | 0.66 *** | 0.42 * | 0.60 ** | 0.32 NS | 0.65 *** | 0.64 *** | 0.63 *** | ||
| SAVI | 0.30 ** | 0.28 * | 0.07 NS | 0.16 NS | 0.09 NS | 0.23 NS | 0.28 * | 0.29 * | 0.53 ** | 0.28 NS | 0.37 NS | 0.07 NS | 0.48 * | 0.40 NS | 0.38 NS | ||
| NDRE | - | - | - | - | - | - | - | 0.67 *** | 0.47 * | 0.63 *** | 0.38 NS | 0.62 *** | 0.65 *** | 0.51 ** | |||
| TVI | 0.45 *** | 0.54 *** | 0.62 *** | 0.74 *** | 0.62 *** | 0.41 *** | 0.30 ** | 0.27 * | 0.51 ** | 0.28 NS | 0.34 NS | <0.01 NS | 0.44 * | 0.37 NS | 0.33 NS | ||
| SR | 0.10 NS | 0.15 NS | −0.12 NS | −0.06 NS | −0.06 NS | 0.05 NS | 0.13 NS | 0.19 NS | 0.66 *** | 0.46 * | 0.63 *** | 0.37 NS | 0.61 ** | 0.64 *** | 0.50 * | ||
| OSAVI | 0.48 *** | 0.49 *** | 0.53 *** | 0.69 *** | 0.55 *** | 0.43 *** | 0.35 ** | 0.31 ** | 0.50 * | 0.22 NS | 0.34 NS | 0.05 NS | 0.47 * | 0.37 NS | 0.39 NS | ||
| NDVIRE | - | - | - | - | - | - | - | 0.2 NS | −0.15 NS | −0.01 NS | −0.29 NS | 0.29 NS | −0.03 NS | 0.18 NS | |||
| MCARI | - | - | - | - | - | - | - | 0.61 ** | 0.37 NS | 0.51 ** | 0.21 NS | 0.57 ** | 0.55 ** | 0.51 * | |||
Publisher’s Note: MDPI stays neutral with regard to jurisdictional claims in published maps and institutional affiliations. |
© 2021 by the authors. Licensee MDPI, Basel, Switzerland. This article is an open access article distributed under the terms and conditions of the Creative Commons Attribution (CC BY) license (https://creativecommons.org/licenses/by/4.0/).
Share and Cite
Valencia-Ortiz, M.; Sangjan, W.; Selvaraj, M.G.; McGee, R.J.; Sankaran, S. Effect of the Solar Zenith Angles at Different Latitudes on Estimated Crop Vegetation Indices. Drones 2021, 5, 80. https://doi.org/10.3390/drones5030080
Valencia-Ortiz M, Sangjan W, Selvaraj MG, McGee RJ, Sankaran S. Effect of the Solar Zenith Angles at Different Latitudes on Estimated Crop Vegetation Indices. Drones. 2021; 5(3):80. https://doi.org/10.3390/drones5030080
Chicago/Turabian StyleValencia-Ortiz, Milton, Worasit Sangjan, Michael Gomez Selvaraj, Rebecca J. McGee, and Sindhuja Sankaran. 2021. "Effect of the Solar Zenith Angles at Different Latitudes on Estimated Crop Vegetation Indices" Drones 5, no. 3: 80. https://doi.org/10.3390/drones5030080
APA StyleValencia-Ortiz, M., Sangjan, W., Selvaraj, M. G., McGee, R. J., & Sankaran, S. (2021). Effect of the Solar Zenith Angles at Different Latitudes on Estimated Crop Vegetation Indices. Drones, 5(3), 80. https://doi.org/10.3390/drones5030080

