Cascaded ADRC Framework for Robust Control of Coaxial UAVs with Uncertainties and Disturbances
Highlights
- We proposed a cascade control scheme, which is composed of a classical ADRC and a geometric ESO-based controller, dealing with disturbance and couplings in both outer and inner loops of coaxial UAV dynamics.
- We validated the effectiveness and performance of this ADRC-C controller with numerical simulations.
- This study offers an efficient and robust control scheme for coaxial UAVs, which can effectively handle external disturbances and internal uncertainties across different time scales and dynamic levels.
- This study presents the design of a modular coaxial UAV which offers distinct advantages for industrial applications.
Abstract
1. Introduction
- Coaxial UAV structural design: We design a new coaxial UAV platform which emphasizes structural compactness, modularization, endurance potential, and feasibility for practical industrial deployment, which is shown in Figure 1.
- Cascaded ADRC framework: We develop a cascaded ADRC scheme that integrates ESO-based disturbance estimation into both inner- and outer-loop controllers. The proposed method explicitly addresses phase delay, rotor coupling, and external disturbances, while offering improved robustness and tuning simplicity compared with single-loop ADRC or PID control.
- Validation of performance: We have validated the proposed framework with both numerical and high-fidelity HIL simulations, in which the results demonstrate superior disturbance rejection, stable trajectory tracking, and enhanced robustness compared with conventional PID controllers.
2. Related Works
3. Configuration and Modeling of the System
3.1. System Configuration
3.2. Simplified Dynamic Model
3.3. High-Fidelity Dynamic Model
4. Cascaded ADRC Strategy for Robust Flight
4.1. Overall Framework
4.2. Principles for Outer Loop Control
4.3. Principles for Inner Loop Control
4.4. Proof of Stability
- Assumption 1: Bounded and slowly varying disturbance. The lumped disturbance torque and its time derivative are both supposed to be bounded, and . This assumption implies that the disturbance varies sufficiently slowly with respect to the observer bandwidth and can therefore be regarded as an extended state to be estimated by the ESO. Such a condition is commonly satisfied in practical coaxial UAVs, where aerodynamic coupling, rotor interference, and structural effects evolve on a slower time scale than the inner-loop attitude dynamics. Note that if part of the disturbance does not satisfy this assumption, it implies that it also lies far beyond the bandwidth of the actuator. Consequently, it cannot be compensated for from the perspective of control and should therefore be treated as high-frequency vibrations and be properly filtered out.
- Assumption 2: Avoidance of topological singularity. The initial attitude estimation error is supposed to satisfy , where denotes the rotation angles corresponding to the right-invariant attitude error . This assumption excludes the singular case of a rotation. In practice, it is naturally satisfied since the initial attitude is provided by inertial sensors and coarse alignment algorithms.
- Assumption 3: Bounded angular velocity measurement. The measured angular velocity is supposed to be bounded, and the measurement noise is bounded or square-integrable. This assumption ensures that the feedback injection from gyroscope measurements does not destabilize the observer dynamics and is consistent with the physical limitations of inertial sensors.
4.5. Control Allocation
5. Simulation and Validation
5.1. Simulation Results for Different Control Strategies
5.1.1. Baseline Tracking Without Disturbances
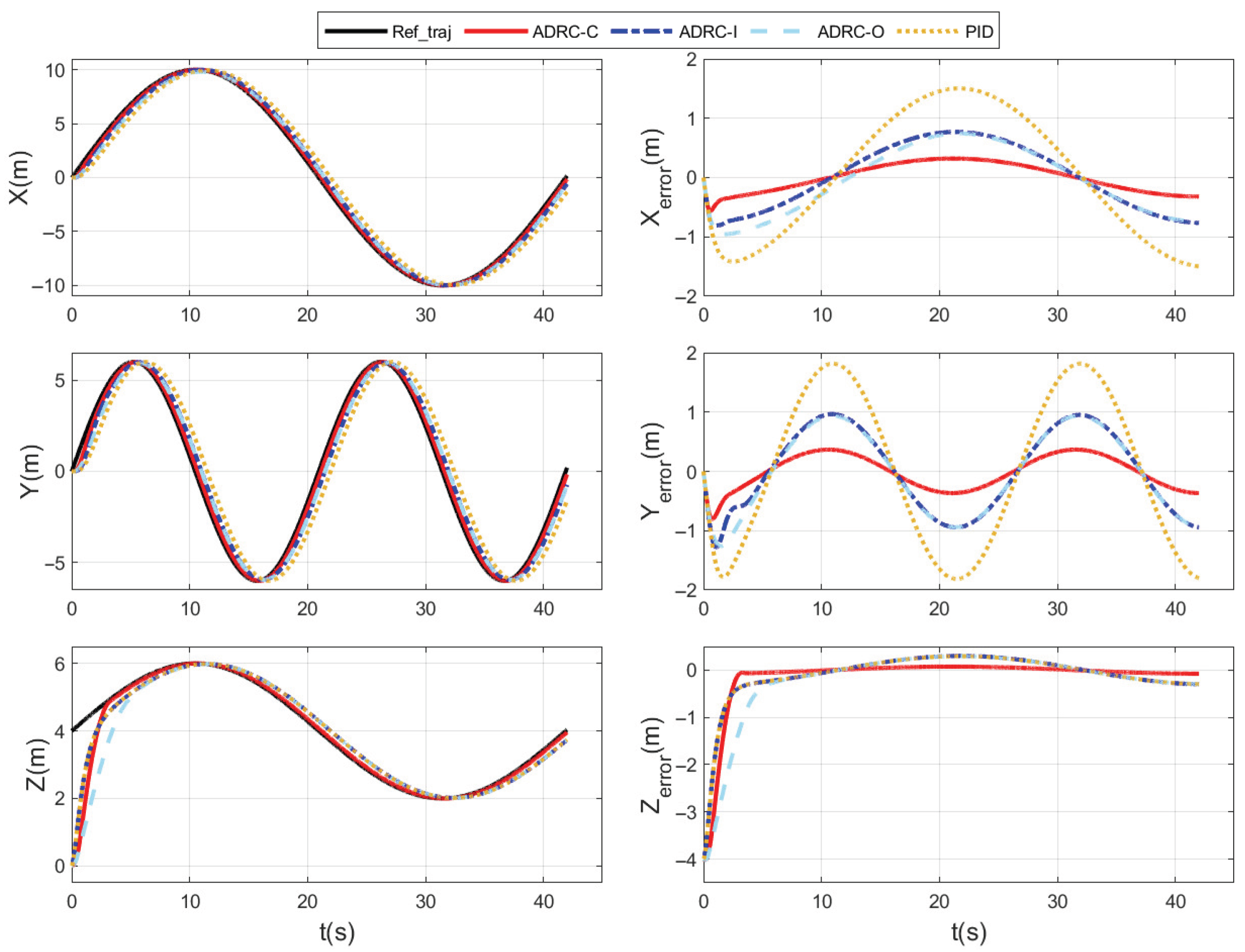
5.1.2. Tracking Under Uncertainties and Disturbances
5.2. High-Fidelity HIL Experiment
5.2.1. Disturbance Modeling
5.2.2. Trajectory Tracking Performance
6. Conclusions
Author Contributions
Funding
Data Availability Statement
Acknowledgments
Conflicts of Interest
References
- Mohsan, S.A.H.; Othman, N.Q.H.; Li, Y.; Alsharif, M.H.; Khan, M.A. Unmanned aerial vehicles (UAVs): Practical aspects, applications, open challenges, security issues, and future trends. Intell. Serv. Robot. 2023, 16, 109–137. [Google Scholar] [CrossRef]
- Greenwood, W.W.; Lynch, J.P.; Zekkos, D. Applications of UAVs in civil infrastructure. J. Infrastruct. Syst. 2019, 25, 04019002. [Google Scholar] [CrossRef]
- Geldenhuys, H.J.; van der Spuy, S.; von Backström, T. Aerodynamic Development of a Contra-Rotating Shrouded Rotor System for a UAV. Master’s Thesis, Stellenbosch University, Stellenbosch, South Africa, 2015. [Google Scholar]
- Gupta, S.G.; Ghonge, M.M.; Jawandhiya, P.M. A review of UAV systems. Int. J. Adv. Res. Comput. Eng. Technol. 2013, 2, 1646–1658. Available online: https://www.uxvuniversity.com/wp-content/uploads/2014/04/Review-of-Unmanned-Aircraft-System-UAS.pdf (accessed on 12 January 2026).
- Most, M.T. UAS airframe and powerplant design. In Introduction to Unmanned Aircraft Systems; CRC Press: Boca Raton, FL, USA, 2016; pp. 173–211. [Google Scholar]
- Prencipe, Y. Flight Dynamics Modelling, Control and Handling Quality Assessment of a Compound Coaxial Helicopter in Transition Flight. Master’s Thesis, Delft University of Technology, Delft, The Netherlands, 2024. [Google Scholar]
- Koehl, A.; Rafaralahy, H.; Boutayeb, M.; Martinez, B. Aerodynamic modelling and experimental identification of a coaxial-rotor UAV. J. Intell. Robot. Syst. 2012, 68, 53–68. [Google Scholar] [CrossRef]
- De Vries, R.; van Arnhem, N.; Sinnige, T.; Vos, R.; Veldhuis, L. Aerodynamic interaction between propellers of a distributed-propulsion system in forward flight. Aerosp. Sci. Technol. 2021, 118, 107009. [Google Scholar] [CrossRef]
- Seddon, J.M.; Newman, S. Basic Helicopter Aerodynamics; John Wiley & Sons: Hoboken, NJ, USA, 2011. [Google Scholar]
- Zhang, Z.; Zhang, H. Fractional-order sliding mode with active disturbance rejection control for UAVs. Appl. Sci. 2025, 15, 556. [Google Scholar] [CrossRef]
- Noordin, A.; Mohd Basri, M.A.; Mohamed, Z. Position and attitude tracking of MAV quadrotor using SMC-based adaptive PID controller. Drones 2022, 6, 263. [Google Scholar] [CrossRef]
- Chebbi, J.; Briere, Y. Robust active disturbance rejection control for systems with internal uncertainties: Multirotor UAV application. J. Field Robot. 2022, 39, 426–456. [Google Scholar] [CrossRef]
- Zhang, T.; Ng, J.Y.; Tai, V.C. Comparative analysis of attitude control of quadrotor UAVs: PID, ADRC, and NMPC algorithms. In Proceedings of the 2024 9th International Conference on Electronic Technology and Information Science (ICETIS), Hangzhou, China, 17–19 May 2024; IEEE: New York, NY, USA, 2024; pp. 210–215. [Google Scholar]
- Mahony, R.; Kumar, V.; Corke, P. Multirotor aerial vehicles: Modeling, estimation, and control of quadrotor. IEEE Robot. Autom. Mag. 2012, 19, 20–32. [Google Scholar] [CrossRef]
- Wu, B.; Guo, Y.; Zheng, J.; Li, Z.; Gong, J.; Hui, N.; Han, X. Research on the stability of UAV attitude under hybrid control integrating active disturbance rejection control and super-twisting sliding mode control. Appl. Sci. 2025, 15, 5124. [Google Scholar] [CrossRef]
- Marwan, H.; Humaidi, A.J.; Al-Khazraji, H. Active disturbance rejection control for unmanned aerial vehicle. Int. J. Robot. Control Syst. 2025, 5, 1278–1296. [Google Scholar] [CrossRef]
- Suhail, S.A.; Bazaz, M.A.; Hussain, S. Adaptive sliding mode-based active disturbance rejection control for a quadcopter. Trans. Inst. Meas. Control 2022, 44, 3176–3190. [Google Scholar] [CrossRef]
- Khadraoui, S.; Fareh, R.; Baziyad, M.; Elbeltagy, M.B.; Bettayeb, M. A comprehensive review and applications of active disturbance rejection control for unmanned aerial vehicles. IEEE Access 2024, 12, 185851–185868. [Google Scholar] [CrossRef]
- Chikasha, P.N.; Dube, C. Adaptive model predictive control of a quadrotor. IFAC-PapersOnLine 2017, 50, 157–162. [Google Scholar] [CrossRef]
- Smeur, E.J.; De Croon, G.C.; Chu, Q. Gust disturbance alleviation with incremental nonlinear dynamic inversion. In Proceedings of the 2016 IEEE/RSJ International Conference on Intelligent Robots and Systems (IROS), Daejeon, Republic of Korea, 9–14 October 2016; IEEE: New York, NY, USA, 2016; pp. 5626–5631. [Google Scholar]
- Liu, Z.; Zhang, Y.; Chen, H.; Zhang, Z. Incremental control system design and flight tests of a micro-coaxial rotor UAV. Aerosp. Sci. Technol. 2022, 131, 107979. [Google Scholar] [CrossRef]
- Wang, F.; Cui, J.; Chen, B.M.; Lee, T.H. Flight dynamics modeling of coaxial rotorcraft UAVs. In Handbook of Unmanned Aerial Vehicles; Springer: Berlin/Heidelberg, Germany, 2015; pp. 1217–1256. [Google Scholar]
- Mukherjee, P.; Waslander, S. Modelling and multivariable control techniques for small coaxial helicopters. In Proceedings of the AIAA Guidance, Navigation, and Control Conference, Portland, OR, USA, 8–11 August 2011; American Institute of Aeronautics and Astronautics: Reston, VA, USA, 2012; p. 6545. [Google Scholar]
- Dong, Z.Y.; Liu, S.A.; Liu, C.; Liu, J.L.; Feng, L. Modelling and robust control of an unmanned coaxial rotor helicopter with unstructured uncertainties. Adv. Mech. Eng. 2017, 9, 1687814016687961. [Google Scholar] [CrossRef]
- Giernacki, W.; Gośliński, J.; Goślińska, J.; Espinoza-Fraire, T.; Rao, J. Mathematical modeling of the coaxial quadrotor dynamics for its attitude and altitude control. Energies 2021, 14, 1232. [Google Scholar] [CrossRef]
- Yin, X.; An, H.; Jia, S.; Ma, H.; Wang, C.; Wang, L.; Nie, B. Modeling and attitude disturbance rejection control of a compound high-speed helicopter with a new configuration. Int. J. Aeronaut. Space Sci. 2025, 26, 1398–1414. [Google Scholar] [CrossRef]
- You, D.; Hao, Y.; Xu, J.; Yang, L. Research on attitude detection and flight experiment of coaxial twin-rotor UAV. Sensors 2022, 22, 9572. [Google Scholar] [CrossRef]
- Gong, A.; Tischler, M. Flight Dynamics, Control, and Testing of a Coaxial Helicopter UAV with Folding Rotor Blades. In Proceedings of the Vertical Flight Society’s 79th Annual Forum & Technology Display, West Palm Beach, FL, USA, 16–18 May 2023. [Google Scholar]
- Li, K.; Wei, Y.; Wang, C.; Deng, H. Longitudinal attitude control decoupling algorithm based on the fuzzy sliding mode of a coaxial-rotor UAV. Electronics 2019, 8, 107. [Google Scholar] [CrossRef]
- Shen, S.; Xu, J. Trajectory tracking active disturbance rejection control of the unmanned helicopter and its parameters tuning. IEEE Access 2021, 9, 56773–56785. [Google Scholar] [CrossRef]
- Chen, Z.; Lin, X.; Jiang, W. Coaxial helicopter attitude control system design by advanced model predictive control under disturbance. Aerospace 2024, 11, 486. [Google Scholar] [CrossRef]
- Sun, J.; Du, Q.; Zhang, K. Attitude Dynamics and Agile Control of a High-Mass-Ratio Moving-Mass Coaxial Dual-Rotor UAV. Drones 2025, 9, 600. [Google Scholar] [CrossRef]
- Wang, Z.; Yuan, Q.; Zhu, Y.; Gu, W.; Xie, X. Innovative design of rotor blades for coaxial UAVs based on simulations and experiments. Aerosp. Sci. Technol. 2025, 168, 111020. [Google Scholar] [CrossRef]
- Chen, Z.; Xiao, J.; Wei, X.; Qin, N. Experimental and numerical investigation on aerodynamic performance of a Mars contra-rotor system. Aerosp. Sci. Technol. 2025, 168, 110796. [Google Scholar] [CrossRef]
- Dominguez, G.E. Computational Design of Agricultural Uavs: Sharp-Eyed on Flight Time, Payload Capacity and Trade-Offs: A Systematic Review. Payload Capacity and Trade-Offs: A Systematic Review. Available online: https://papers.ssrn.com/sol3/papers.cfm?abstract_id=5334012 (accessed on 12 January 2026).
- Chen, L.; Xiao, J.; Zheng, Y.; Alagappan, N.A.; Feroskhan, M. Design, modeling, and control of a coaxial drone. IEEE Trans. Robot. 2024, 40, 1650–1663. [Google Scholar] [CrossRef]
- Cui, C.; Zhou, X.; Wang, M.; Gao, F.; Xu, C. Fastsim: A modular and plug-and-play simulator for aerial robots. IEEE Robot. Autom. Lett. 2024, 9, 5823–5830. [Google Scholar] [CrossRef]




















| Variables | Definitions |
|---|---|
| m | Mass of the vehicle |
| g | Gravitational acceleration |
| Inertia matrix of the vehicle (principal moments) | |
| Downward unit vector in world frame | |
| Lift coefficient for upper and lower rotors | |
| Reaction torque coefficient of both rotors (on average) | |
| Torque coefficient for cyclic modulation | |
| Translational damping matrix | |
| Rotational damping matrix |
| Parameter | Value |
|---|---|
| m | |
| g | |
Disclaimer/Publisher’s Note: The statements, opinions and data contained in all publications are solely those of the individual author(s) and contributor(s) and not of MDPI and/or the editor(s). MDPI and/or the editor(s) disclaim responsibility for any injury to people or property resulting from any ideas, methods, instructions or products referred to in the content. |
© 2026 by the authors. Licensee MDPI, Basel, Switzerland. This article is an open access article distributed under the terms and conditions of the Creative Commons Attribution (CC BY) license.
Share and Cite
Cui, C.; Wang, Z.; Wang, M.; Xu, C. Cascaded ADRC Framework for Robust Control of Coaxial UAVs with Uncertainties and Disturbances. Drones 2026, 10, 68. https://doi.org/10.3390/drones10010068
Cui C, Wang Z, Wang M, Xu C. Cascaded ADRC Framework for Robust Control of Coaxial UAVs with Uncertainties and Disturbances. Drones. 2026; 10(1):68. https://doi.org/10.3390/drones10010068
Chicago/Turabian StyleCui, Can, Zi’an Wang, Miao Wang, and Chao Xu. 2026. "Cascaded ADRC Framework for Robust Control of Coaxial UAVs with Uncertainties and Disturbances" Drones 10, no. 1: 68. https://doi.org/10.3390/drones10010068
APA StyleCui, C., Wang, Z., Wang, M., & Xu, C. (2026). Cascaded ADRC Framework for Robust Control of Coaxial UAVs with Uncertainties and Disturbances. Drones, 10(1), 68. https://doi.org/10.3390/drones10010068

