LiDAR–Visual–Inertial Multi-UGV Collaborative SLAM Framework
Highlights
- A LiDAR-visual–inertial fusion-based collaborative SLAM framework is here proposed, achieving precise fused mapping and trajectory estimation in GPS-denied environments for UGVs.
- The proposed framework consists of three stages. The first provides accurate odometry information for each UGV, the second achieves global map generation based on local map similarities, and the third constructs a multi-UGV global map. It is validated through real-world experiments, demonstrating remarkable performance compared to existing methods.
- This framework enhances the robustness of multi-UGV operations in large-scale, challenging environments, supporting applications in autonomous logistics and search and rescue missions.
- It advances C-SLAM technology by emphasizing front-end sensor fusion, reducing the dependency on back-end integration alone and facilitating scalable deployment in real-world unmanned systems.
Abstract
1. Introduction
2. Related Works
2.1. Front-End Odometry Systems
2.2. Back-End Fusion and Optimization
2.3. Collaborative SLAM Systems
3. Proposed Methods
3.1. Framework Overview
3.2. Front-End Odometry
3.3. Segment Management
3.4. Global Optimizer
| Algorithm 1: Multi-UGV Collaborative SLAM Framework |
| Input: Sensor data of per UGV: {Camera images , IMU measurements , LiDAR points }; UGVs to ; thresholds , ; window size |
| Output: Unified global map and trajectory |
| Initialize |
| for each UGV in do |
| Initialize FrontEndOdometry(); // initial pose |
| Initialize LocalSegmentManager(); // pose graph + local |
| end |
| SharedGlobalOptimizer InitializeGlobalOptimizer() |
| Front-End Odometry |
| while sensor data available do |
| for each UGV do |
| // Front-End Odometry |
| CaptureSensors(, , ); |
| , , ; , , |
| if failure (low features or high bias) then |
| Reinit VIS with LIS fallback; |
| else |
| // Local Segment Management |
| Build local submap; |
| ← BuildLocalSubmap; |
| Send to SharedGlobalOptimizer; |
| end |
| end |
| Global Optimization |
| Thumbnails ← GenerateThumbnails({Submap1, …, SubmapN}); |
| // Similarity matching + K-D tree for k-nearest |
| Candidates DetectLoops(Thumbnails; NetVLAD); |
| for each candidate pair do |
| AlignSubmaps do |
| AddLoopConstraint() // To global pose graph |
| end |
| GlobalPoseGraph OptimizePoseGraph({Submaps, constraints}); |
| // Refine trajectories, unify coordinates |
| Update local poses {} with global refinements; |
| GlobalMap FuseSubmaps(GlobalPoseGraph); |
| end |
| return GlobalMap , trajectory |
4. Results
4.1. Data Collection
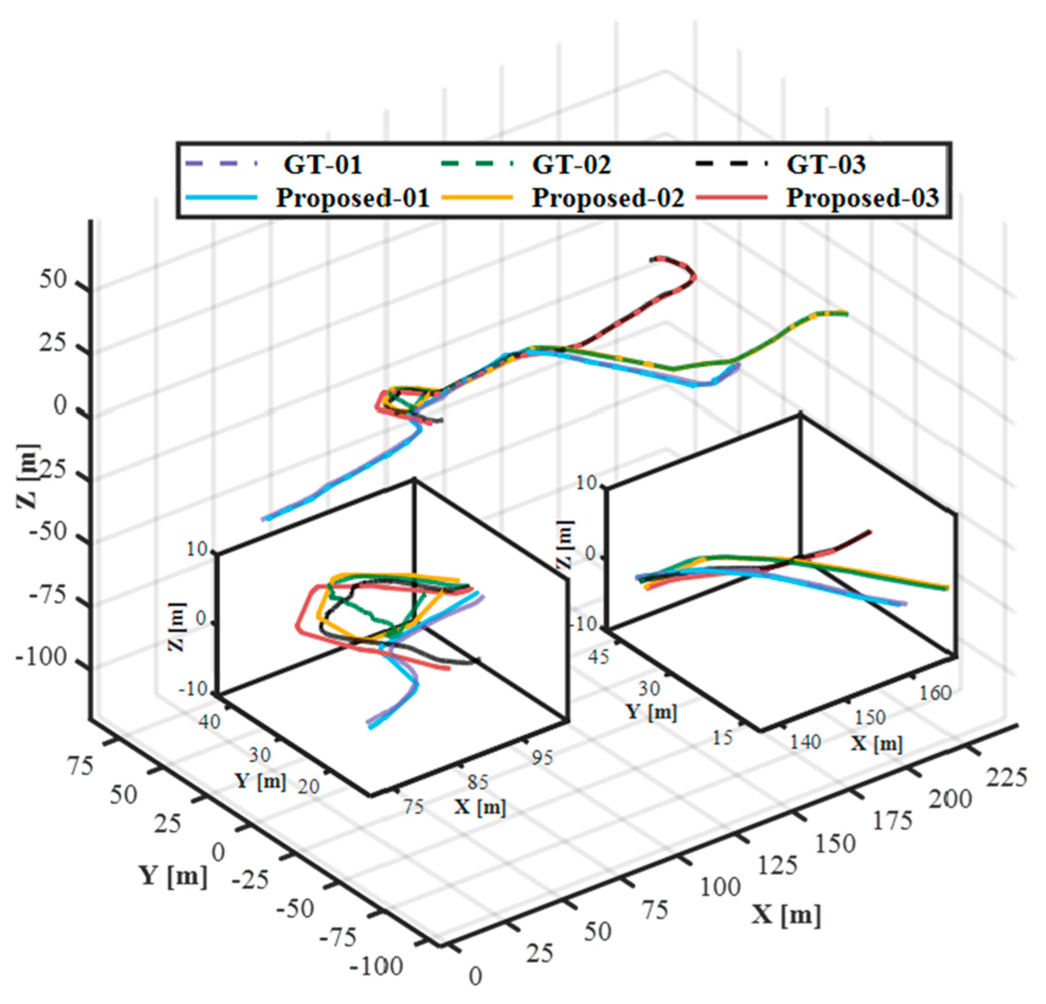
4.2. Evaluation of Odometry Results
4.3. Assessment of the Entire System
5. Conclusions
Author Contributions
Funding
Data Availability Statement
Conflicts of Interest
References
- Zheng, S.; Wang, J.; Rizos, C.; Ding, W.; El-Mowafy, A. Simultaneous localization and mapping (SLAM) for autonomous driving: Concept and analysis. Remote Sens. 2023, 15, 1156. [Google Scholar] [CrossRef]
- Ahmed, M.F.; Masood, K.; Fremont, V.; Fantoni, I. Active SLAM: A review on last decade. Sensors 2023, 23, 8097. [Google Scholar] [CrossRef] [PubMed]
- He, W.; Chen, W.; Tian, S.; Zhang, L. Towards full autonomous driving: Challenges and frontiers. Front. Phys. 2024, 12, 1485026. [Google Scholar] [CrossRef]
- Arafat, M.Y.; Alam, M.M.; Moh, S. Vision-based navigation techniques for unmanned aerial vehicles: Review and challenges. Drones 2023, 7, 89. [Google Scholar] [CrossRef]
- Wang, S.; Ahmad, N.S. AI-based approaches for improving autonomous mobile robot localization in indoor environments: A comprehensive review. Eng. Sci. Technol. Int. J. 2025, 63, 101977. [Google Scholar] [CrossRef]
- Kshirsagar, J.; Shue, S.; Conrad, J.M. A survey of implementation of multi-robot simultaneous localization and mapping. In Proceedings of the 2018 IEEE SoutheastCon, St. Petersburg, FL, USA, 19–22 April 2018; IEEE: Piscataway, NJ, USA, 2018; pp. 1–7. [Google Scholar] [CrossRef]
- Chen, W.; Wang, X.; Gao, S.; Shang, G.; Zhou, C.; Li, Z.; Xu, C.; Hu, K. Overview of multi-robot collaborative SLAM from the perspective of data fusion. Machines 2023, 11, 653. [Google Scholar] [CrossRef]
- Li, Z.; Jiang, C.; Gu, X.; Xu, Y.; Zhou, F.; Cui, J. Collaborative positioning for swarms: A brief survey of vision, LiDAR and wireless sensors based methods. Def. Technol. 2024, 33, 475–493. [Google Scholar] [CrossRef]
- Mur-Artal, R.; Tardós, J.D. ORB-SLAM2: An open-source SLAM system for monocular, stereo, and RGB-D cameras. IEEE Trans. Robot. 2017, 33, 1255–1262. [Google Scholar] [CrossRef]
- Campos, C.; Elvira, R.; Rodríguez, J.J.; Montiel, J.M.; Tardós, J.D. ORB-SLAM3: An accurate open-source library for visual, visual–inertial, and multimap SLAM. IEEE Trans. Robot. 2021, 37, 1874–1890. [Google Scholar] [CrossRef]
- Geneva, P.; Eckenhoff, K.; Lee, W.; Yang, Y.; Huang, G. OpenVINS: A research platform for visual-inertial estimation. In Proceedings of the 2020 IEEE International Conference on Robotics and Automation (ICRA), Paris, France, 31 May–31 August 2020; IEEE: Piscataway, NJ, USA, 2020; pp. 4666–4672. [Google Scholar]
- Liu, Y.; Miura, J. RDS-SLAM: Real-time dynamic SLAM using semantic segmentation methods. IEEE Access 2021, 9, 23772–23785. [Google Scholar] [CrossRef]
- Fan, Y.; Zhao, T.; Wang, G. SchurVINS: Schur complement-based lightweight visual inertial navigation system. In Proceedings of the IEEE/CVF Conference on Computer Vision and Pattern Recognition, Seattle, WA, USA, 16–22 June 2024; IEEE: Piscataway, NJ, USA, 2024; pp. 17964–17973. [Google Scholar]
- Besl, P.J.; McKay, N.D. Method for registration of 3-D shapes. In Fusion IV: Control Paradigms and Data Structures; SPIE: Bellingham, WA, USA, 1992; Volume 1611, pp. 586–606. [Google Scholar]
- Shan, T.; Englot, B. LeGO-LOAM: Lightweight and ground-optimized LiDAR odometry and mapping on variable terrain. In Proceedings of the IEEE/RSJ International Conference on Intelligent Robots and Systems (IROS), Madrid, Spain, 1–5 October 2018; IEEE: Piscataway, NJ, USA, 2018; pp. 4758–4765. [Google Scholar]
- Xu, W.; Cai, Y.; He, D.; Lin, J.; Zhang, F. Fast-LIO2: Fast direct LiDAR-inertial odometry. IEEE Trans. Robot. 2022, 38, 2053–2073. [Google Scholar] [CrossRef]
- He, L.; Li, B.; Chen, G.E. PLACE-LIO: Plane-Centric LiDAR-Inertial Odometry. IEEE Robot. Autom. Lett. 2025, in press. [Google Scholar]
- Shan, T.; Englot, B.; Ratti, C.; Rus, D. LVI-SAM: Tightly-coupled LiDAR-visual-inertial odometry via smoothing and mapping. In Proceedings of the 2021 IEEE International Conference on Robotics and Automation (ICRA), Xi’an, China, 30 May–5 June 2021; IEEE: Piscataway, NJ, USA, 2021; pp. 5692–5698. [Google Scholar]
- Zhang, J.; Singh, S. LOAM: LiDAR odometry and mapping in real-time. In Robotics: Science and Systems; MIT Press: Cambridge, MA, USA, 2014; Volume 2, pp. 1–9. [Google Scholar]
- Tian, X.; Zhu, Z.; Zhao, J.; Tian, G.; Ye, C. DL-SLOT: Tightly-coupled dynamic LiDAR SLAM and 3D object tracking based on collaborative graph optimization. IEEE Trans. Intell. Veh. 2023, 9, 1017–1027. [Google Scholar] [CrossRef]
- Zeng, D.; Liu, X.; Huang, K.; Liu, J. EPL-VINS: Efficient point-line fusion visual-inertial SLAM with LK-RG line tracking method and 2-DoF line optimization. IEEE Robot. Autom. Lett. 2024, 9, 5911–5918. [Google Scholar] [CrossRef]
- Liso, L.; Sandström, E.; Yugay, V.; Van Gool, L.; Oswald, M.R. Loopy-SLAM: Dense neural SLAM with loop closures. In Proceedings of the IEEE/CVF Conference on Computer Vision and Pattern Recognition, Seattle, WA, USA, 16–22 June 2024; IEEE: Piscataway, NJ, USA, 2024; pp. 20363–20373. [Google Scholar]
- Shi, C.; Chen, X.; Xiao, J.; Dai, B.; Lu, H. Fast and accurate deep loop closing and relocalization for reliable LiDAR SLAM. IEEE Trans. Robot. 2024, 40, 2620–2640. [Google Scholar] [CrossRef]
- Zhang, B.; Peng, Z.; Zeng, B.; Lu, J. 2DLIW-SLAM: 2D LiDAR-inertial-wheel odometry with real-time loop closure. Meas. Sci. Technol. 2024, 35, 075205. [Google Scholar] [CrossRef]
- Zhu, J.; Yang, B.; Yu, Z.; Hu, H. Visual SLAM based on collaborative optimization of points, lines, and planes. In Proceedings of the 2024 IEEE International Conference on Unmanned Systems (ICUS), Nanjing, China, 18–20 October 2024; IEEE: Piscataway, NJ, USA, 2024; pp. 375–379. [Google Scholar]
- Elahian, S.; Atashgah, M.A.; Tarvirdizadeh, B. Collaborative autonomous navigation of quadrotors in unknown outdoor environments: An active visual SLAM approach. IEEE Access 2024, 12, 147115–147128. [Google Scholar] [CrossRef]
- Lee, Y.H.; Zhu, C.; Wiedemann, T.; Staudinger, E.; Zhang, S.; Günther, C. CovoR-SLAM: Cooperative SLAM using visual odometry and ranges for multi-robot systems. IEEE Trans. Intell. Transp. Syst. 2025, in press. [Google Scholar] [CrossRef]
- Zhong, S.; Qi, Y.; Chen, Z.; Wu, J.; Chen, H.; Liu, M. DCL-SLAM: A distributed collaborative LiDAR SLAM framework for a robotic swarm. IEEE Sens. J. 2023, 24, 4786–4797. [Google Scholar] [CrossRef]
- Lajoie, P.Y.; Beltrame, G. Swarm-SLAM: Sparse decentralized collaborative simultaneous localization and mapping framework for multi-robot systems. IEEE Robot. Autom. Lett. 2023, 9, 475–482. [Google Scholar] [CrossRef]
- Shao, S.; Han, G.; Jia, H.; Shi, X.; Wang, T.; Song, C.; Hu, C. Multi-robot collaborative SLAM based on novel descriptor with LiDAR remote sensing. IEEE J. Sel. Top. Appl. Earth Obs. Remote Sens. 2024, 17, 19317–19327. [Google Scholar] [CrossRef]
- He, J.; Zhou, Y.; Huang, L.; Kong, Y.; Cheng, H. Ground and aerial collaborative mapping in urban environments. IEEE Robot. Autom. Lett. 2020, 6, 95–102. [Google Scholar] [CrossRef]
- Fischler, M.A.; Bolles, R.C. Random sample consensus: A paradigm for model fitting with applications to image analysis and automated cartography. Commun. ACM 1981, 24, 381–395. [Google Scholar] [CrossRef]
- Arandjelovic, R.; Gronat, P.; Torii, A.; Pajdla, T.; Sivic, J. NetVLAD: CNN architecture for weakly supervised place recognition. In Proceedings of the IEEE Conference on Computer Vision and Pattern Recognition, Las Vegas, NV, USA, 27–30 June 2016; IEEE: Piscataway, NJ, USA, 2016; pp. 5297–5307. [Google Scholar]







| Parameter | Value |
|---|---|
| IMU frequency | |
| Camera frequency | |
| Camera resolution | |
| GNSS frequency | |
| LiDAR frequency | |
| Gyroscope noise | |
| Acceleration noise | |
| Gyroscope random walk | |
| Acceleration random walk |
| Parameter | ORB-SLAM3 | GACM | Proposed |
|---|---|---|---|
| Visual Features | (max) 2000 | (max) 50 | (max) 150 |
| LiDAR Feature | ------ | (max) keylines: 80 | (min) edge:10 surface: 100 |
| Scale Pyramid | levels: 8 | levels: 1 | ------ |
| Feature Distance | factor: 1.2 | factor: 1.2 | (min) 20 pixels |
| Voxel Filter | ------ | (min) 40 pixels | 0.4 m |
| Method | ORB-SLAM3 | GACM | Proposed | |||||
|---|---|---|---|---|---|---|---|---|
| Sequence | Length (m) | Duration (s) | APE (m) | RPE (°) | APE (m) | RPE (°) | APE (m) | RPE (°) |
| UGV1 | 255.6 | 319.4 | 18.36 | 6.244 | 5.734 | 2.239 | 1.231 | 0.902 |
| UGV2 | 258.9 | 311.3 | 31.01 | 10.24 | 4.080 | 2.660 | 1.785 | 2.919 |
| UGV3 | 197.8 | 246.5 | 30.15 | 11.73 | 1.838 | 2.476 | 1.590 | 1.223 |
| UGV4 | 191.5 | 234.3 | 26.82 | 4.168 | 1.405 | 2.232 | 1.584 | 1.459 |
| UGV5 | 212.2 | 254.8 | 17.86 | 4.982 | 3.930 | 2.009 | 3.339 | 3.050 |
| Mean | ------ | ------ | 24.84 | 7.472 | 3.398 | 2.323 | 1.906 | 1.911 |
| Stage | Front-End Odometry | Loop Detection | Global Optimization | |||
|---|---|---|---|---|---|---|
| Sequence | APE (m) | RPE (°) | APE (m) | RPE (°) | APE (m) | RPE (°) |
| UGV1 | 1.231 | 0.902 | 1.347 | 0.903 | 1.176 | 0.902 |
| UGV2 | 1.785 | 2.919 | 1.782 | 2.934 | 1.795 | 2.934 |
| UGV3 | 1.590 | 1.223 | 1.588 | 1.205 | 1.564 | 1.204 |
| Mean | 1.535 | 1.681 | 1.572 | 1.681 | 1.488 | 1.680 |
| Task | Min (s) | Max (s) | Mean (s) |
|---|---|---|---|
| Thumbnail Generation | 0.186 | 62.51 | 5.798 |
| Descriptor Extraction | 0.002 | 0.526 | 0.067 |
| Loop Detection | 1.017 | 73.02 | 8.388 |
| Global Graph Optimization | 0.040 | 11.93 | 1.056 |
Disclaimer/Publisher’s Note: The statements, opinions and data contained in all publications are solely those of the individual author(s) and contributor(s) and not of MDPI and/or the editor(s). MDPI and/or the editor(s) disclaim responsibility for any injury to people or property resulting from any ideas, methods, instructions or products referred to in the content. |
© 2026 by the authors. Licensee MDPI, Basel, Switzerland. This article is an open access article distributed under the terms and conditions of the Creative Commons Attribution (CC BY) license.
Share and Cite
Wei, H.; Wu, P.; Zhang, X.; Zheng, J.; Zhang, J.; Wei, K. LiDAR–Visual–Inertial Multi-UGV Collaborative SLAM Framework. Drones 2026, 10, 31. https://doi.org/10.3390/drones10010031
Wei H, Wu P, Zhang X, Zheng J, Zhang J, Wei K. LiDAR–Visual–Inertial Multi-UGV Collaborative SLAM Framework. Drones. 2026; 10(1):31. https://doi.org/10.3390/drones10010031
Chicago/Turabian StyleWei, Hongyu, Pingfan Wu, Xutong Zhang, Jianyong Zheng, Jianzheng Zhang, and Kun Wei. 2026. "LiDAR–Visual–Inertial Multi-UGV Collaborative SLAM Framework" Drones 10, no. 1: 31. https://doi.org/10.3390/drones10010031
APA StyleWei, H., Wu, P., Zhang, X., Zheng, J., Zhang, J., & Wei, K. (2026). LiDAR–Visual–Inertial Multi-UGV Collaborative SLAM Framework. Drones, 10(1), 31. https://doi.org/10.3390/drones10010031

