Modified Local Regression for Signal Resampling †
Abstract
1. Introduction
2. New Interpolation Method
3. Test Method
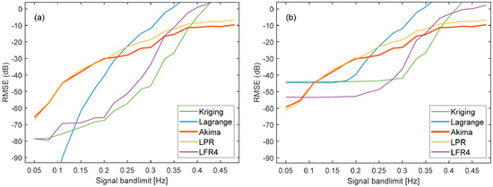
4. Results and Discussion
Author Contributions
Funding
Institutional Review Board Statement
Informed Consent Statement
Data Availability Statement
Conflicts of Interest
References
- Shannon, C.E. Communication in the presence of noise, classical paper 1949. Proc. IEEE 1998, 86, 447–457. [Google Scholar] [CrossRef]
- Kim, S.C.; Bhattacharyya, S.S. Implementation of a Low-Complexity Low-Latency Arbitrary Resampler on GPUs. In Proceedings of the 2014 IEEE Dallas Circuits and Systems, Dallas, TX, USA, 12–13 October 2014; pp. 1–4. [Google Scholar]
- Zayed, A.I.; Butzer, P.L. Lagrange Interpolation and sampling theorems. In Non-uniform Sampling: Theory and Practice, Marvasti; Springer: Berlin/Heidelberg, Germany, 2001; pp. 123–168. [Google Scholar] [CrossRef]
- Jedermann, R. Feasibility of Low Latency, Single-Sample Delay Resampling—A New Kriging Based Method. Algorithms 2023, 16, 203. [Google Scholar] [CrossRef]
- Patki, A.; Thiagarajan, G. Low Complexity, Low Latency Resampling of Asynchronously Sampled Signals. In Proceedings of the International Conference on Signal Processing and Communications (SPCOM), Bangalore, India, 12–15 June 2016; pp. 1–5. [Google Scholar]
- Hastie, T.J.; Tibshirani, R.J.; Friedman, J.H. The Elements of Statistical Learning: Data Mining, Inference, and Prediction, 2nd ed.; Springer: New York, NY, USA, 2009. [Google Scholar] [CrossRef]

Disclaimer/Publisher’s Note: The statements, opinions and data contained in all publications are solely those of the individual author(s) and contributor(s) and not of MDPI and/or the editor(s). MDPI and/or the editor(s) disclaim responsibility for any injury to people or property resulting from any ideas, methods, instructions or products referred to in the content. |
© 2024 by the authors. Licensee MDPI, Basel, Switzerland. This article is an open access article distributed under the terms and conditions of the Creative Commons Attribution (CC BY) license (https://creativecommons.org/licenses/by/4.0/).
Share and Cite
Jedermann, R.; Kapoor, Y.; Lang, W. Modified Local Regression for Signal Resampling. Proceedings 2024, 97, 68. https://doi.org/10.3390/proceedings2024097068
Jedermann R, Kapoor Y, Lang W. Modified Local Regression for Signal Resampling. Proceedings. 2024; 97(1):68. https://doi.org/10.3390/proceedings2024097068
Chicago/Turabian StyleJedermann, Reiner, Yogesh Kapoor, and Walter Lang. 2024. "Modified Local Regression for Signal Resampling" Proceedings 97, no. 1: 68. https://doi.org/10.3390/proceedings2024097068
APA StyleJedermann, R., Kapoor, Y., & Lang, W. (2024). Modified Local Regression for Signal Resampling. Proceedings, 97(1), 68. https://doi.org/10.3390/proceedings2024097068

