Abstract
The knowledge of the thermal conductivity of humid air between 0 and 100 °C and 0 and 100% relative humidity is of great interest for various applications. However, direct measurement of the thermal conductivity of gaseous substances is challenging. Using an adapted version of the 3-omega method, we show that direct measurement is possible within a reasonable error limit.
1. Introduction
The direct measurement of the thermal conductivity of humid air is challenging. In this work, an adapted 3-omega method for measuring the thermal conductivity of gases over a wide temperature range is presented. Using additional measurement steps, the thermal conductivity of humid air can be obtained with reasonable accuracy.
2. Materials and Methods
Using an adaptation of the well-known 3-omega method [1], we can measure the frequency-dependent thermal system response of a thermal excitation, which is determined by the thermal diffusivity, density and heat capacity. In this method, an alternating current of frequency ω is applied to a heater, causing temperature oscillations and thus a modulation of the temperature-dependent heater resistance with twice the frequency, 2ω. This results in a 3ω part of the measured heater voltage spectrum that can be easily separated and from which the amplitude of the temperature oscillation can be determined [1]. The amplitude becomes larger with the lower thermal capacity, conductivity and density of the analyte. All thermal measurements are affected by changes in density, thermal diffusivity, heat capacity or currents. However, the 3-omega method provides additional information about the measured media, such as the depth information of the frequency-dependent signal (not shown here, see, e.g., [2]), since thermal waves at lower frequencies have deeper penetration depths than those at higher frequencies.
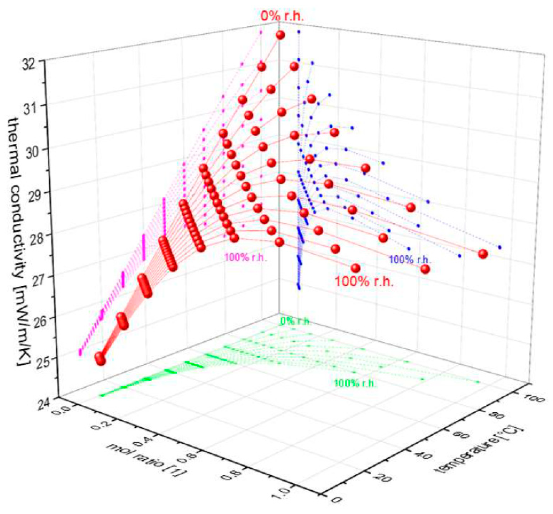
The thermal conductivity of humid air depends on the mol ratio and the temperature of the gas mixture, as can be seen in Figure 1. During a classical thermal conductivity measurement, a heating element was heated above the gas temperature and the thermal energy flux inside the gas was determined. Due to this fact, the thermal conductivity measurement was not performed at the actual gas temperature but at an increased temperature, and therefore the measurement result differs from reality. This shift in the real and the virtual conductivity can be seen in Figure 2 for 25 °C and 60 °C gas temperatures and, in both cases, a 15 K elevated sensor temperature.
Figure 1.
Calculated thermal conductivity [3] of humid air as a function of water mol ratio and temperature.
Figure 2.
Calculated virtual shift in the thermal conductivity when the sensor temperature is 15 K higher than the actual gas temperature. Depending on the starting point in Figure 1, the shift in thermal conductivity is strongly affected by the absolute humidity (60 °C gas temperature).
It will be shown that the adapted 3-omega method, together with additional measurement steps, offers the possibility to circumvent this problem and to obtain the correct values for the thermal conductivity of humid air over a wide parameter range.
Author Contributions
Investigation, H.-F.P., M.B. and S.H.; writing—review and editing, H.-F.P. and M.J.; project administration, T.K. and J.W. All authors have read and agreed to the published version of the manuscript.
Funding
This research was funded by Bundesministerium für Wirtschaft und Energie, grant 03EN5009C.
Institutional Review Board Statement
Not applicable.
Informed Consent Statement
Not applicable.
Data Availability Statement
Data sharing is not applicable to this abstract.
Conflicts of Interest
The authors declare no conflicts of interest.
References
- Cahill, D.G. Thermal conductivity measurement from 30 K to 750 K: The 3-omega method. Rev. Sci. Instrum. 1990, 61, 802–808. [Google Scholar] [CrossRef]
- Jacquot, A.; Vollmer, F.; Bayer, B.; Jägle, M.; Ebling, D.G.; Böttner, H. Thermal conductivity measurements on challenging samples by the 3 omega method. J. Electron. Mater. 2010, 39, 1621–1626. [Google Scholar] [CrossRef]
- COMSOL. Calculated with “Heat Transfer Model” of COMSOL Multiphysics®, v. 6.1.; COMSOL AB: Stockholm, Sweden, 2022. Available online: www.comsol.com (accessed on 1 March 2023).
Disclaimer/Publisher’s Note: The statements, opinions and data contained in all publications are solely those of the individual author(s) and contributor(s) and not of MDPI and/or the editor(s). MDPI and/or the editor(s) disclaim responsibility for any injury to people or property resulting from any ideas, methods, instructions or products referred to in the content. |
© 2024 by the authors. Licensee MDPI, Basel, Switzerland. This article is an open access article distributed under the terms and conditions of the Creative Commons Attribution (CC BY) license (https://creativecommons.org/licenses/by/4.0/).

