Synthesis of a Novel Series of Phosphonate-Functionalized 1,2,3-Triazoles as Potential Candidates for Allosteric Modulation of α7 Nicotinic Acetylcholine Receptors †
Abstract
:1. Introduction
2. Materials and Methods
2.1. Synthetic Procedures
2.2. General Procedure for Azide-Alkyne Cycloaddition Employing CuNPs/C in Water
2.3. General Procedure for Azide-Alkyne Cycloaddition Employing CuNPs/C in THF
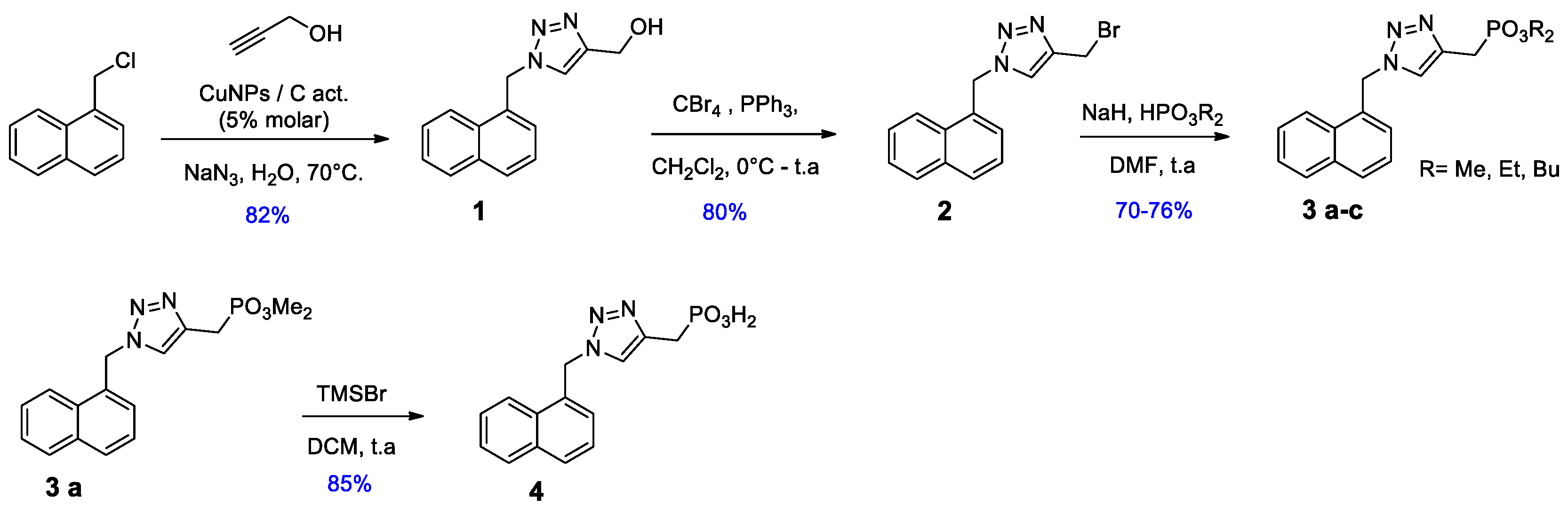
3. Results and Discussion
3.1. Synthesis of 1,2,3-Triazoles Using Supported Copper Nanoparticles
3.2. Structure Activity Relationship (SAR) Studies. Synthesis of Homologs of Phosphonate-Triazoles and Invertion of Triazole Geometry
4. Conclusions
Funding
Conflicts of Interest
References
- Garai, S.; Krishnamohan, S.R. B-973—A Novel α7 nAChR Ago-PAM: Racemic and Asymmetric Synthesis, Electrophysiological Studies and in vivo Evaluation. ACS Med. Chem. Lett. 2018, 9, 1144–1148. [Google Scholar] [CrossRef]
- Broad, L.M.; Zwart, R. Identification and Pharmacological Profile of a New Class of Selective Nicotinic Acetylcholine Receptor Potentiators. J. Pharmacol. Exp. Ther. 2006, 318, 1108–1117. [Google Scholar] [CrossRef]
- Williams, D.K.; Wang, J. Positive allosteric modulators as an approach to nicotinic acetylcholine receptor-targeted therapeutics: Advantages and limitations. Biochem. Pharmacol. 2011, 82, 915–930. [Google Scholar] [CrossRef]
- Rizzi, L.; Gotti, C. A Small Library of 1,2,3-Triazole Analogs of CAP-55: Synthesis and Binding Affinity at Nicotinic Acetylcholine Receptors. Chem. Biodivers. 2018, 15, e1800210. [Google Scholar] [CrossRef]
- Chatzidaki, A.; D'Oyley, J.M. The influence of allosteric modulators and transmembrane mutations on desensitisation and activation of a7 nicotinic acetylcholine receptors. Neuropharmacology 2015, 97, 75–85. [Google Scholar] [CrossRef]
- Alonso, F.; Moglie, F. Copper Nanoparticles in Click Chemistry. Acc. Chem. Res. 2015, 48, 2516–2528. [Google Scholar] [CrossRef] [PubMed]
- Timperley, C.M. Phosphonyl Compounds. In Best Synthetic Methods: Organophosphorus (V) Chemistry; Academic Press: London, UK, 2013; pp. 91–325. ISBN 978-0-08-098212-0. [Google Scholar]
- Jeanmaire, T.; Hervaud, Y. Synthesis of Dialkyl-Hydroxymethylphosphonates in Heterogeneous Conditions. Phosphorus Sulfur Silicon Relat. Elem. 2012, 177, 1137–1145. [Google Scholar] [CrossRef]
- Błaszczyk, R.; Gajda, T. Convenient Synthesis of Dialkyl 1-Azidoalkylphosphonates using Tetramethylguanidinium Azide as Azidation Agent. Synth. Commun. 2008, 38, 1110–1119. [Google Scholar] [CrossRef]
- Davies, K.A.; Abel, R.C. Operationally Simple Copper-Promoted Coupling of Terminal Alkynes with Benzyl Halides. J. Org. Chem. 2009, 74, 3997–4000. [Google Scholar] [CrossRef]





© 2018 by the authors. Licensee MDPI, Basel, Switzerland. This article is an open access article distributed under the terms and conditions of the Creative Commons Attribution (CC BY) license (https://creativecommons.org/licenses/by/4.0/).
Share and Cite
Stabile, S.A.; Vitale, C. Synthesis of a Novel Series of Phosphonate-Functionalized 1,2,3-Triazoles as Potential Candidates for Allosteric Modulation of α7 Nicotinic Acetylcholine Receptors. Proceedings 2019, 9, 35. https://doi.org/10.3390/ecsoc-22-05689
Stabile SA, Vitale C. Synthesis of a Novel Series of Phosphonate-Functionalized 1,2,3-Triazoles as Potential Candidates for Allosteric Modulation of α7 Nicotinic Acetylcholine Receptors. Proceedings. 2019; 9(1):35. https://doi.org/10.3390/ecsoc-22-05689
Chicago/Turabian StyleStabile, Santiago A., and Cristian Vitale. 2019. "Synthesis of a Novel Series of Phosphonate-Functionalized 1,2,3-Triazoles as Potential Candidates for Allosteric Modulation of α7 Nicotinic Acetylcholine Receptors" Proceedings 9, no. 1: 35. https://doi.org/10.3390/ecsoc-22-05689
APA StyleStabile, S. A., & Vitale, C. (2019). Synthesis of a Novel Series of Phosphonate-Functionalized 1,2,3-Triazoles as Potential Candidates for Allosteric Modulation of α7 Nicotinic Acetylcholine Receptors. Proceedings, 9(1), 35. https://doi.org/10.3390/ecsoc-22-05689
