Convenient Synthesis of 2-(1-Adamantyl)furans †
Abstract
:1. Introduction
2. Materials and Methods
Example of Preparation of 2-(1-adamantyl)-5-(tert-butyl)furan (2a)
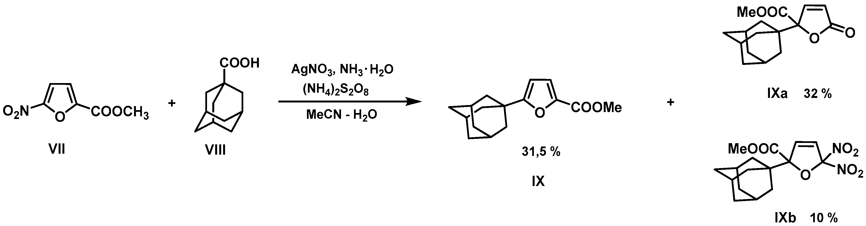
3. Results and Discussion
4. Conclusions
Acknowledgments
References
- Stetter, H.; Rauscher, E. Zurkenntnis des β-[adamantyl-(1)]-)-β-oxo-propionsaure-athylesters. Chem. Ber. 1960, 93, 2054–2057. [Google Scholar] [CrossRef]
- Cogolli, P.; Tastaferri, L.; Tiecco, M.; Tingoli, M. Factors controlling the fate of radical ipso intermediates. Homolytic alkylation of furan derivatives. J. Chem. Soc. Chem. Commun. 1979, 18, 800–801. [Google Scholar] [CrossRef]
- Hashmi, A.S.K.; Salathe, R.; Frey, W. Gold catalysis: No steric limitations in the phenol synthesis. Chem. Eur. J. 2006, 12, 6991–6996. [Google Scholar] [CrossRef] [PubMed]
- Wu, X.; Wei, J.; See, T.; Xu, K.; Hirao, H.; Roger, J.; Hierso, J.-C.; Zhou, J. A general palladium-catalyzed method for alkylation of heteroarenes using secondary and tertiary alkyl halides. Angew. Chem. Int. Ed. 2014, 53, 13573–13577. [Google Scholar] [CrossRef] [PubMed]
- EP2 RECEPTOR AGONISTS, PCT/WO2005/080367 A1, IPC (7) C07D 307/68, C07D 405/04, 1 September 2005.
- Aikawa, H.; Takahira, Y.; Yamaguchi, M. Synthesis of 1,8-di(1-adamantyl)naphthalenes as single enantiomers stable at ambient temperatures. Chem. Commun. 2011, 47, 1479–1481. [Google Scholar] [CrossRef] [PubMed]







© 2018 by the authors. Licensee MDPI, Basel, Switzerland. This article is an open access article distributed under the terms and conditions of the Creative Commons Attribution (CC BY) license (http://creativecommons.org/licenses/by/4.0/).
Share and Cite
Konshin, V.V.; Shcherbinin, V.A.; Lupanova, I.A.; Konshina, D.N. Convenient Synthesis of 2-(1-Adamantyl)furans. Proceedings 2019, 9, 23. https://doi.org/10.3390/ecsoc-22-05667
Konshin VV, Shcherbinin VA, Lupanova IA, Konshina DN. Convenient Synthesis of 2-(1-Adamantyl)furans. Proceedings. 2019; 9(1):23. https://doi.org/10.3390/ecsoc-22-05667
Chicago/Turabian StyleKonshin, Valery V., Vitaly A. Shcherbinin, Ida A. Lupanova, and Dzhamilya N. Konshina. 2019. "Convenient Synthesis of 2-(1-Adamantyl)furans" Proceedings 9, no. 1: 23. https://doi.org/10.3390/ecsoc-22-05667
APA StyleKonshin, V. V., Shcherbinin, V. A., Lupanova, I. A., & Konshina, D. N. (2019). Convenient Synthesis of 2-(1-Adamantyl)furans. Proceedings, 9(1), 23. https://doi.org/10.3390/ecsoc-22-05667
