Edible Wild Flowers: An Innovative but Ancient Food †
Abstract
:1. Introduction
2. Methods
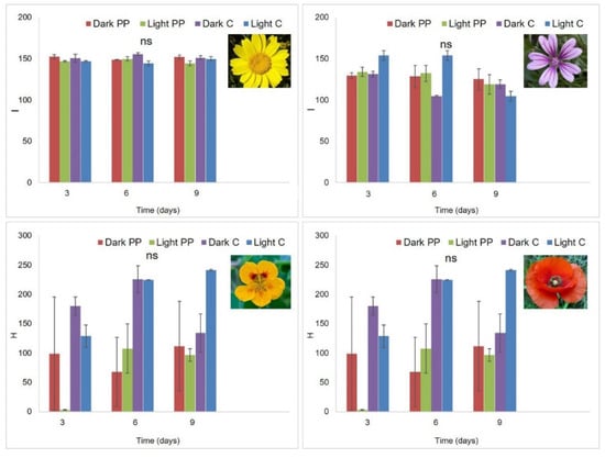
3. Results and Discussion
4. Conclusions
Author Contributions
Funding
Institutional Review Board Statement
Informed Consent Statement
Data Availability Statement
Acknowledgments
Conflicts of Interest
References
- Fernandes, L.; Casal, S.; Pereira, J.A.; Saraiva, J.A.; Ramalhosa, E. Edible flowers: A review of the nutritional, antioxidant, antimicrobial properties and effects on human health. J. Food Comp. Anal. 2017, 60, 38–50. [Google Scholar] [CrossRef]
- Benyelles, B.; Allali, H.; Fekih, N.; Touaibia, M.; Muselli, A.; Djabou, N.; El Amine Dib, M.; Tabti, B.; Costa, J. Chemical Composition of the Volatile Components of Tropaeolum majus L. (Garden Nasturtium) from North Western Algeria. PhytoChem BioSub J. 2015, 9, 92. [Google Scholar]
- Diao, Q.; Song, Y.; Qi, H. Exogenous spermidine enhances chilling tolerance of tomato (Solanum lycopersicum L.) seedlings via involvement in polyamines metabolism and physiological parameter levels. Acta Physiol. Plant. 2015, 37, 230–245. [Google Scholar] [CrossRef]
- Rasool, S.; Ahmad, A.; Siddiqi, T.O.; Ahmad, P. Changes in growth, lipid peroxidation and some key antioxidant enzymes in chickpea genotypes under salt stress. Acta Physiol. Plant. 2013, 35, 1039–1050. [Google Scholar] [CrossRef]
- Sanz, S.; Olarte, C.; Ayala, F.; Ech’Avarri, J.F. Evolution of quality characteristics of minimally processed asparagus during storage in different lighting conditions. J. Food Sci. 2009, 74, 6. [Google Scholar] [CrossRef] [PubMed]
- Rizzo, V.; Lombardo, S.; Pandino, G.; Barbagallo, R.N.; Mazzaglia, A.; Restuccia, C.; Mauromicale, G.; Muratore, G. Shelf life study of ready to cook slices of globe artichoke ‘Spinoso sardo’: Effects of anti-browning solutions and edible coating enriched with “Foeniculum vulgare” essential oil. J. Sci. Food Agric. 2019, 99, 5219–5228. [Google Scholar] [CrossRef] [PubMed]
- Pires, T.C.S.P.; Dias, M.I.; Barros, L.; Ferreira, I.C.F.R. Nutritional and chemical characterization of edible petals and corresponding infusions: Valorization as new food ingredients. Food Chem. 2017, 220, 337–343. [Google Scholar] [CrossRef] [PubMed]
- Gonzalez, I.; Barrio, R.; Valverde, V.; Ortín, A.; Periago, M. Nutritional Composition and Antioxidant Capacity in Edible Flowers: Characterisation of Phenolic Compounds by HPLC-DAD-ESI/MSn. Int. J. Molec. Sci. 2014, 16, 805–822. [Google Scholar] [CrossRef] [PubMed]
- Hatano, T.; Kagawa, H.; Yasuhara, T.; Okuda, T. Two new flavonoids and other costituents in Licorice root: Their relative astringency and radical scavenging effects. Chem. Pharm. Bull. 1988, 36, 2090–2097. [Google Scholar] [CrossRef] [PubMed]
- Giannopolitis, C.N.; Ries, S.K. Superoxide Occurrence in Higher Plants. Plant Physiol. 1977, 59, 309–314. [Google Scholar] [CrossRef] [PubMed]
- Aguilera, J.; Bischof, K.; Karsten, U.; Hanelt, D.; Wiencke, C. Seasonal Variation in Ecophysiological Patterns in Macroalgae from an Arctic Fjord. II. Pigment Accumulation and Biochemical Defense Systems against High Light Stress. Mar. Biol. 2002, 140, 1087–1095. [Google Scholar]
- Ruley, A.T.; Sharma, N.C.; Sahi, S.V. Antioxidant Defense in a Lead Accumulating Plant. Sesbania drummondii. Plant Physiol. Bioch. 2004, 42, 899–906. [Google Scholar] [CrossRef] [PubMed]
- Li, A.-N.; Li, S.; Li, H.-B.; Xu, D.-P.; Xu, X.-R.; Chen, F. Total phenolic contents and antioxidant capacities of 51 edible and wild flowers. J. Funct. Foods 2014, 6, 319–330. [Google Scholar] [CrossRef]
- Chen, G.-L.; Chen, S.-G.; Xie, Y.-Q.; Chen, F.; Zhao, Y.-Y.; Luo, C.-X.; Gao, Y.-Q. Total phenolic, flavonoid and antioxidant activity of 23 edible flowers subjected to in vitro digestion. J. Funct. Foods 2015, 6, 243–259. [Google Scholar] [CrossRef]
- Hogan, E.; Kelly, A.L.; Sun, D.-W. High pressure processing of foods: An overview. In Emerging Technologies for Food Processing; Da-Wen, S., Ed.; Elsevier: California, CA, USA, 2005; pp. 3–32. [Google Scholar]
- Balasundram, N.; Sundram, K.; Samman, S. Phenolic compounds in plants and Agri-industrial by-products: Antioxidant activity, occurrence, and potential uses. Food Chem. 2006, 99, 191–203. [Google Scholar] [CrossRef]
- Faisal, M.; Anis, M. Effect of light irradiations on photosynthetic machinery and antioxidative enzymes during ex vitro acclimatization of Tylophora indica plantlets. J. Plant Interact. 2010, 5, 21–27. [Google Scholar] [CrossRef]
- Zhang, Y.-J.; Gan, R.-Y.; Li, S.; Zhou, Y.; Li, A.-N.; Xu, D.-P.; Li, H.B. Antioxidant phytochemicals for the prevention and treatment of chronic diseases. Molecules 2015, 20, 21138–21156. [Google Scholar] [CrossRef] [PubMed]
- Zhang, Y.; Luo, Y.; Wang, X.; Chen, Q.; Sun, B.; Wang, Y.; Liu, Z.; Tang, H. Variation in bioactive compounds, antioxidant enzymes and radical-scavenging activity during flower development of Rosa hybrid. AIP Conf. Proc. 2018, 1956, 020021. [Google Scholar]




Publisher’s Note: MDPI stays neutral with regard to jurisdictional claims in published maps and institutional affiliations. |
© 2020 by the authors. Licensee MDPI, Basel, Switzerland. This article is an open access article distributed under the terms and conditions of the Creative Commons Attribution (CC BY) license (https://creativecommons.org/licenses/by/4.0/).
Share and Cite
Toscano, S.; Rizzo, V.; Muratore, G.; Romano, D. Edible Wild Flowers: An Innovative but Ancient Food. Proceedings 2021, 70, 32. https://doi.org/10.3390/foods_2020-07751
Toscano S, Rizzo V, Muratore G, Romano D. Edible Wild Flowers: An Innovative but Ancient Food. Proceedings. 2021; 70(1):32. https://doi.org/10.3390/foods_2020-07751
Chicago/Turabian StyleToscano, Stefania, Valeria Rizzo, Giuseppe Muratore, and Daniela Romano. 2021. "Edible Wild Flowers: An Innovative but Ancient Food" Proceedings 70, no. 1: 32. https://doi.org/10.3390/foods_2020-07751
APA StyleToscano, S., Rizzo, V., Muratore, G., & Romano, D. (2021). Edible Wild Flowers: An Innovative but Ancient Food. Proceedings, 70(1), 32. https://doi.org/10.3390/foods_2020-07751

