Next Article in Journal
Kinetic Study of the Epoxy System BADGE n = 0/IPD/ABS
Previous Article in Journal
Methanolysis of 2-Cyanopyridine in the Coordination Sphere of Manganese(II). The Structure of Mn4L6Cl2 cluster (L = Methyl Picolinimidate)
 
 
Font Type:
Arial Georgia Verdana
Font Size:
Aa Aa Aa
Line Spacing:
Column Width:
Background:
Proceeding Paper

A Modified IHACRES Rainfall–Runoff Model for Predicting Hydrologic Response of a River Basin System with a Relevant Groundwater Component †

1
Department of Engineering, University of Messina, 98166 Villaggio S. Agata, Messina, Italy
2
Institute of Hydraulic Engineering and Water Resources Management, Vienna University of Technology, 1040 Vienna, Austria
3
Department of Engineering, Roma Tre University, 00146 Rome, Italy
*
Author to whom correspondence should be addressed.
Presented at the 3rd International Electronic Conference on Water Sciences, 15–30 November 2018; Available online: https://ecws-3.sciforum.net.
Proceedings 2019, 7(1), 24; https://doi.org/10.3390/ECWS-3-05830
Published: 15 November 2018
(This article belongs to the Proceedings of ECWS-3)

Abstract

:
A flow regime can be broadly categorized as either perennial, intermittent, or ephemeral, depending on whether the streamflow is continuous all year round, or ceasing for weeks or months each year. Various conceptual models are needed to capture the behavior of these different flow regimes, which reflect differences in the stream–groundwater hydrologic connection. As the hydrologic connection becomes more transient and a catchment’s runoff response more nonlinear, such as for intermittent streams, the need for explicit representation of the groundwater increases. In the present study, we investigated the connection between the Northern Etna groundwater system and the Alcantara River basin in Sicily, which is intermittent in the upstream, and perennial since the midstream, due to groundwater resurgence. To this end, we apply a modified version of IHACRES rainfall–runoff model, whose input data are a continuous series of concurrent daily streamflow, rainfall and temperature data. The structure of the model includes three different modules: (1) a nonlinear loss module that transforms precipitation to effective rainfall by considering the influence of temperature; (2) a linear module based on the classical convolution between effective rainfall and the unit hydrograph which is able to simulate the quick component of the runoff; and (3) a second nonlinear module that simulates the slow component of the runoff and that feeds the groundwater storage. From the sum of the quick and slow components (except for groundwater losses, representing the aquifer recharge), the total streamflow is derived. This model structure is applied separately to sub-basins showing different hydrology and land use. The model is calibrated at Mojo cross-section, where daily streamflow data are available. Point rainfall and temperature data are spatially averaged with respect to the considered sub-basins. Model calibration and validation are carried out for the period 1984–1986 and 1987–1988 respectively.

1. Introduction

A flow regime can be broadly categorized as perennial, intermittent, or ephemeral. In perennial systems there is a permanent connection between the stream and the groundwater, and good results can be obtained from rainfall–runoff models that do not explicitly represent the groundwater store. While ephemeral streams are defined as having short-lived flow after rainfall, intermittent streams become seasonally dry when the groundwater table drops below the elevation of the streambed during dry periods. A spatially intermittent stream may maintain flow over some sections, even during dry periods, due to locally elevated water tables.
Rainfall–runoff models often fail to simulate the hydrologic connection between streams and the groundwater system, where it tends to be variable in time and space, as is the case for spatially intermittent streams. This is the case for the Alcantara River basin in Sicily region (Italy), whose upstream is intermittent while its middle valley is characterized by perennial surface flows enriched by spring water arising from the big aquifer in the northern sector of the Etna volcano.
In a previous study, Aronica and Bonaccorso [1] investigated the impact of future climate change on the hydrological regime of the Alcantara River basin by combining stochastic generators of daily rainfall and temperature with the IHACRES rainfall–runoff model under different climatic scenarios, to qualitatively investigate modifications to the hydropower potential. In their study, some simplifications to the system configuration have been considered to disregard the contribution of the groundwater component, as the emphasis was on simulating surface runoff only.
In the present study, a modified IHACRES rainfall–runoff model is proposed to better describe the complex connection between Northern Etna groundwater system and the Alcantara River basin. The modeling approach adopted in the present study involved separate but coordinated analysis of linearity and nonlinearity in the catchment response to rainfall, through a representation of catchment hydrological responses into serial linear and nonlinear modules. In particular, a modified version of IHACRES rainfall–runoff model, whose inputs are continuous series of concurrent daily streamflow, rainfall, and temperature data, was calibrated and validated at one of the main cross sections of the Alcantara River basin, where daily streamflow data are available. The structure of the model also provides the opportunity for dealing with the uncertainty of parameters when they are very short and poor-quality data series are available for model calibration and validation (Wagener et al. [2]).

2. Model Description

The IHACRES model (acronym of “Identification of unit Hydrograph and Component flows from Rainfall, Evapotranspiration and Streamflow”) is a simple model designed to perform the identification of hydrographs and component flows purely from rainfall, evaporation, and streamflow data.

2.1. The IHACRES Model

In the original version of IHACRES, originally described by Jakeman et al. (1990) [3], the rainfall–runoff processes are represented by two modules (see Figure 1): a nonlinear loss module that transforms precipitation to effective rainfall considering the influence of the temperature, followed by a linear module based on the classical convolution between effective rainfall and the unit hydrograph to derive the streamflow.
In the literature, several studies on IHACRES development and application (Jakeman et al. 1990 [3], 1993a [4], 1993b [5], 1994a [6], 1994b [7]; Jakeman and Hornberger 1993 [8], Ye et al. 1997 [9]) have demonstrated the following advantages and capabilities:
  • It is simple, parametrically efficient, and statistically rigorous;
  • Input data only consist of daily or monthly precipitation, temperature, and streamflow series;
  • The model provides a unique identification of system response even after a few years of input data;
  • The model efficiently describes the dynamic response characteristics of catchments;
  • The model allows researchers to obtain time series of interflow runoff with over-day storage, runoff from seasonal aquifers, and catchment wetness index;
  • The model can be run on any size of catchment;
  • Simulations are quick and computational demand is low.

2.2. The Modified IHACRES Model

Hereafter, a modified version of the above-described IHACRES model is presented, which is better able to simulate the groundwater component of an aquifer system.
The structure of the modified IHACRES model shown in Figure 2, which includes three modules: (1) a nonlinear loss module that transforms precipitation to effective rainfall by considering the influence of temperature and, after this, (2) a linear module based on the classical convolution between effective rainfall and the unit hydrograph able to simulate the quick component of the runoff, and (3) another nonlinear module that simulates the slow component of the runoff that feeds the groundwater storage. From the sum of the quick and the slow components (except for groundwater losses that represent the aquifer recharge) the total streamflow is derived. The need for this further nonlinear module (3) arises from the necessity to properly describe the groundwater component of the aquifer system and to model and quantify spring discharges.
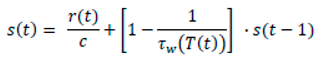
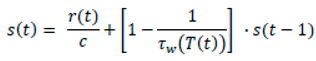
The nonlinear loss module (1) involves the calculation of an index of catchment storage s(t) based upon an exponentially decreasing weighting of precipitation and temperature conditions:
Proceedings 07 00024 i001
τw(T(t)) = τ0·e[(20−T(t))·f],
where s(t) is the catchment storage index, or catchment wetness/soil moisture index at time t, varying between 0 and 1, τw(T(t)) is a time constant which is inversely related to the declining temperature rate, τ0 is the value of τw(T(t)) for a reference temperature fixed to a nominal value depending on the climate and usually equal to 20 °C for warmer climates (Jakeman et al. 1994a [6]), c (mm) is a conceptual total storage volume chosen to constrain the volume of effective rainfall to equal runoff, f [1/°C] is a temperature modulation factor. The effective rainfall u(t) is calculated as the product of total rainfall r(t) and the storage index s(t), taking into account the two parameters p (an exponent of a power law used to describe the nonlinearity) and l (that represents a threshold parameter) introduced by Ye et al. (1998) [10] for low-yielding catchments, in order to better describe the strong nonlinearity caused by the impact of long dry periods on the soil surface:
Proceedings 07 00024 i002
u(t) = 0; otherwise.
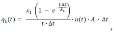
The effective rainfall feeds the two components of the outflow: the quick component (t) in the linear module (2) and the slow component (t) in the nonlinear module (3) that represents the soil response, conceptualized as a reservoir with storage constant λ1.
The quick and slow components, respectively, are represented as
Proceedings 07 00024 i003
Proceedings 07 00024 i004
with
x0 + x1 = 1,
where x0 and x1 represent the two share-out parameters of the effective rainfall u(t).
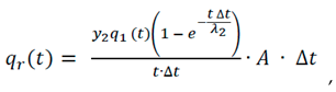
The sum of the quick component q0(t) calculated by the linear module and an aliquot of the slow component y1q1 (t), gives as results the streamflow discharge qs(t):
qs (t) = q0(t) + q1y1(t).
The other aliquot y2q1 (t) of the slow component, instead, feeds the reservoir that represents groundwater with storage constant λ2. The output of the groundwater reservoir is (t) that represents spring discharges is
Proceedings 07 00024 i005
with
y2 = 1 − y1.

3. Case Study

In the presented work, the above-described model has been applied to the Alcantara River basin that is located in north-eastern Sicily (the largest Italian island), encompassing the north side of Etna Mountain, the tallest active volcano in Europe. The river basin has an extension of about 603 km2. The headwater of the river is at 1400 m a.s.l. in the Nebrodi Mountains, while the outlet in the Ionian Sea is reached after 50 km (Figure 3).
The mountain area on the right-hand side of the river is characterized by volcanic rocks with a very high infiltration capacity. Here, precipitation and snow melting supply a big aquifer whose groundwater springs are located at mid/downstream of the river, mixing with surface water and also contributing to feeding the river flow during the dry season. The left side of the basin is characterized by sedimentary soils and provides a seasonal contribution to the river flow as it follows the annual rainfall variability typical of a Mediterranean climate.
Groundwater resources are mainly used to supply all the municipalities located within the river catchment through local aqueducts, as well as small towns along the Ionian coast; in addition, the Alcantara River also supplies some industries, farms, and two hydroelectric power plants. This area is also regarded as a beautiful environmental reserve.

4. Calibration and Validation of the Model

The modified IHACRES rainfall–runoff model that is described above has a total number of 11 parameters, of which 5 parameters are in the effective rainfall estimation module (τ0, f, c, l, p) and 6 in the discharge estimation module (x0, x1, y1, y2, λ1, λ2), and only 9 needed to be calibrated.
The input data used for running the model are daily point rainfall and temperature data spatially averaged over the considered area. The model has been calibrated on a 4-year daily streamflow discharge time series (1984–1986) at Mojo Alcantara hydrometric station (Figure 3, Table 1).
For this case study, there were no spring discharge time series available, therefore, to work around this issue, a priori condition was used as part of the calibration process, i.e., the mean annual aquifer recharge value simulated into the model has to be similar to the mean annual aquifer recharge value estimated in other studies (Sogesid, Piano di Tutela delle Acque Sicilia—PTA, Palermo 2007), that is, about 115 Mm3/year. Model calibration was carried out in R-Studio Software using the packages “DEoptim” and “hydroGOF”. In Figure 4, results of the calibration are shown.
For the validation of the model, the daily streamflow discharge time series was observed at Mojo Alcantara hydrometric station during the period 1987–1988 (Figure 5).
Moriasi et al. 2007 [11] and Rittler et al. 2013 [12] suggested that the efficiency of a hydrological model can be considered satisfactory when the Nash–Sutcliffe efficiency value of validation is between 0.50 and 0.65. Performance indicators are shown in Table 2.

5. Conclusions and Future Perspectives

A hydrological conceptual rainfall–runoff model has been proposed to simulate the stream–aquifer interactions of the Alcantara River basin at Mojo cross-section in Sicily (Italy). The proposed modeling approach involves a compound analysis of linearity and nonlinearity in the catchment response to rainfall through serial combination of linear and nonlinear modules.
The novelty of this modified IHACRES model lies in the fact that the groundwater component and its interaction with surface water through spring discharges are modeled through a nonlinear module whose equations involve the calibration of four parameters easy to interpret.
Results have shown that the developed model is able to properly reproduce the seasonality in the hydrological response of the aquifer system in combination with the main streamflow. In particular, the results of model validation can be considered satisfactory since Nash–Sutcliffe efficiency value is close to the optimal range, as suggested in the literature by Ritter et al. 2013 [11].
Further research will address the uncertainty and sensitivity analysis associated with the model and its parameters. More specifically, a first order sensitivity analysis should be carried out, to better understand the influence of parameters on the performance of the model, together with an uncertainty analysis based on the PLUE (profiled likelihood uncertainty estimation) approach.

Author Contributions

Model conceptualization, data analysis and visualization, I.B.; Writing original draft preparation, review and editing, I.B. and B.B.; Supervision, A.F. and B.B.

Funding

This work was supported by the joint Ph.D. Program in Civil, Environmental and Security Engineering (XXXII cycle) of the Mediterranean University of Reggio Calabria and the University of Messina.

Conflicts of Interest

No potential conflict of interested was reported by the authors.

References

  1. Aronica, G.T.; Bonaccorso, B. Climate Change Effects on Hydropower Potential in the Alcantara River Basin in Sicily (Italy). Earth Interact. 2013, 17, 1–22. [Google Scholar] [CrossRef]
  2. Wagener, T.; Wheater, H.S.; Gupta, H.V. Rainfall-Runoff Modelling in Gauged and Ungauged Catchments; Imperial College Press: London, UK, 2004. [Google Scholar]
  3. Jakeman, A.J.; Littlewood, I.G.; Whitehead, P.G. Computation of the instantaneous unit hydrograph and identifiable component flows with application to two small upland catchments. J. Hydrol. 1990, 117, 275–300. [Google Scholar] [CrossRef]
  4. Jakeman, A.J.; Chen, T.H.; Post, D.A.; Hornberger, G.M.; Littlewood, I.G.; Whitehead, P.G. Assessing Uncertainties in Hydrological Response to Climate at Large Scale; IAHS Publ. 214; Wilkinson, W.B., Ed.; Institute of Hydrology: Wallingford, UK, 1993; pp. 37–47. [Google Scholar]
  5. Jakeman, A.J.; Littlewood, I.G.; Whitehead, P.G. An assessment of the dynamic response characteristics of streamflow in the Balquhidder catchments. J. Hydrol. 1993, 145, 337–355. [Google Scholar] [CrossRef]
  6. Jakeman, A.J.; Post, D.A.; Beck, M.B. From data and theory to environmental model: The case of rainfall- runoff. Environmetrics 1994, 5, 297–314. [Google Scholar] [CrossRef]
  7. Jakeman, A.J.; Post, D.A.; Schreider, S.Y.; Ye, W. Modelling environmental systems: Partitioning the water balance at different catchment scales, Computer Techniques in Environmental Studies V, vol. 2. In Environmental System; Zannetti, P., Ed.; Comput. Mech.: Southampton, UK, 1994; pp. 157–170. [Google Scholar]
  8. Jakeman, A.J.; Hornberger, G.M. How much complexity is warranted in a rainfall-runoff model? Water Resour. Res. 1993, 29, 2637–2649. [Google Scholar] [CrossRef]
  9. Ye, W.; Bates, B.C.; Viney, N.R.; Sivapalan, M.; Jakeman, A.J. Performance of conceptual rainfall-runoff models in low-yielding ephemeral catchments. Water Resour. Res. 1997, 33, 153–166. [Google Scholar] [CrossRef]
  10. Ye, W.; Jakeman, A.J.; Young, P.C. Identification of improved rainfall-runoff models for an ephemeral low-yielding Australian catchment. Environ. Model. Softw. 1998, 3, 59–74. [Google Scholar] [CrossRef]
  11. Moriasi, D.N.; Arnold, J.G.; Van Liew, M.W.; Bingner, R.L.; Harmel, R.D.; Veith, T.L. Model evaluation guidelines for systematic quantification of accuracy in watershed simulations. Trans. Asabe 2007, 50, 885–900. [Google Scholar] [CrossRef]
  12. Ritter, A.; Muñoz-Carpena, R. Performance evaluation of hydrological models: Statistical significance for reducing subjectivity in goodness-of-fit assessments. J. Hydrol. 2013, 480, 33–45. [Google Scholar] [CrossRef]
Figure 1. Generic structure of the original IHACRES model, showing the conversion of climate time series data to effective rainfall using the nonlinear module and the linear module converting effective rainfall to streamflow time series (excerpted from Jakeman 1990 [3]).
Figure 1. Generic structure of the original IHACRES model, showing the conversion of climate time series data to effective rainfall using the nonlinear module and the linear module converting effective rainfall to streamflow time series (excerpted from Jakeman 1990 [3]).
Proceedings 07 00024 g001
Figure 2. Structure of the modified IHACRES rainfall–runoff model. A nonlinear module (1) for effective rainfall estimation, a linear module (2) and another nonlinear module (3) for discharge estimation.
Figure 2. Structure of the modified IHACRES rainfall–runoff model. A nonlinear module (1) for effective rainfall estimation, a linear module (2) and another nonlinear module (3) for discharge estimation.
Proceedings 07 00024 g002
Figure 3. Alcantara River basin and Alcantara at Mojo cross section sub-basin (in red). The Northern Etna groundwater aquifer is also indicated (light blue).
Figure 3. Alcantara River basin and Alcantara at Mojo cross section sub-basin (in red). The Northern Etna groundwater aquifer is also indicated (light blue).
Proceedings 07 00024 g003
Figure 4. Calibration of the model (calibration period: 1984–1986).
Figure 4. Calibration of the model (calibration period: 1984–1986).
Proceedings 07 00024 g004
Figure 5. Validation of the model (validation period: 1987–1988).
Figure 5. Validation of the model (validation period: 1987–1988).
Proceedings 07 00024 g005
Table 1. Main Characteristics of the Alcantara Basin and Mojo Alcantara Sub-Basin.
Table 1. Main Characteristics of the Alcantara Basin and Mojo Alcantara Sub-Basin.
Alcantara BasinMojo Alcantara Sub-Basin
Area (km2)603342
Mean elevation (m a.s.l.)5311142
Max elevation (m a.s.l.)32743274
Min elevation (m a.s.l.)0510
Main river length (km)54.6734.66
Medium river slope (%)68
Table 2. Performance indicators of the calibration and validation of the model (mean square error (MSE) and Nash–Sutcliffe efficiency (NSE)).
Table 2. Performance indicators of the calibration and validation of the model (mean square error (MSE) and Nash–Sutcliffe efficiency (NSE)).
MSE (Calibration)NSE (Calibration)MSE (Validation)NSE (Validation)
0.67890.51694328.7800840.483667

Share and Cite

MDPI and ACS Style

Borzì, I.; Bonaccorso, B.; Fiori, A. A Modified IHACRES Rainfall–Runoff Model for Predicting Hydrologic Response of a River Basin System with a Relevant Groundwater Component. Proceedings 2019, 7, 24. https://doi.org/10.3390/ECWS-3-05830

AMA Style

Borzì I, Bonaccorso B, Fiori A. A Modified IHACRES Rainfall–Runoff Model for Predicting Hydrologic Response of a River Basin System with a Relevant Groundwater Component. Proceedings. 2019; 7(1):24. https://doi.org/10.3390/ECWS-3-05830

Chicago/Turabian Style

Borzì, Iolanda, Brunella Bonaccorso, and Aldo Fiori. 2019. "A Modified IHACRES Rainfall–Runoff Model for Predicting Hydrologic Response of a River Basin System with a Relevant Groundwater Component" Proceedings 7, no. 1: 24. https://doi.org/10.3390/ECWS-3-05830

APA Style

Borzì, I., Bonaccorso, B., & Fiori, A. (2019). A Modified IHACRES Rainfall–Runoff Model for Predicting Hydrologic Response of a River Basin System with a Relevant Groundwater Component. Proceedings, 7(1), 24. https://doi.org/10.3390/ECWS-3-05830

Article Metrics

Back to TopTop