Simulation of 2-Coil and 4-Coil Magnetic Resonance Wearable WPT Systems †
Abstract
:1. Introduction
2. Materials and Methods
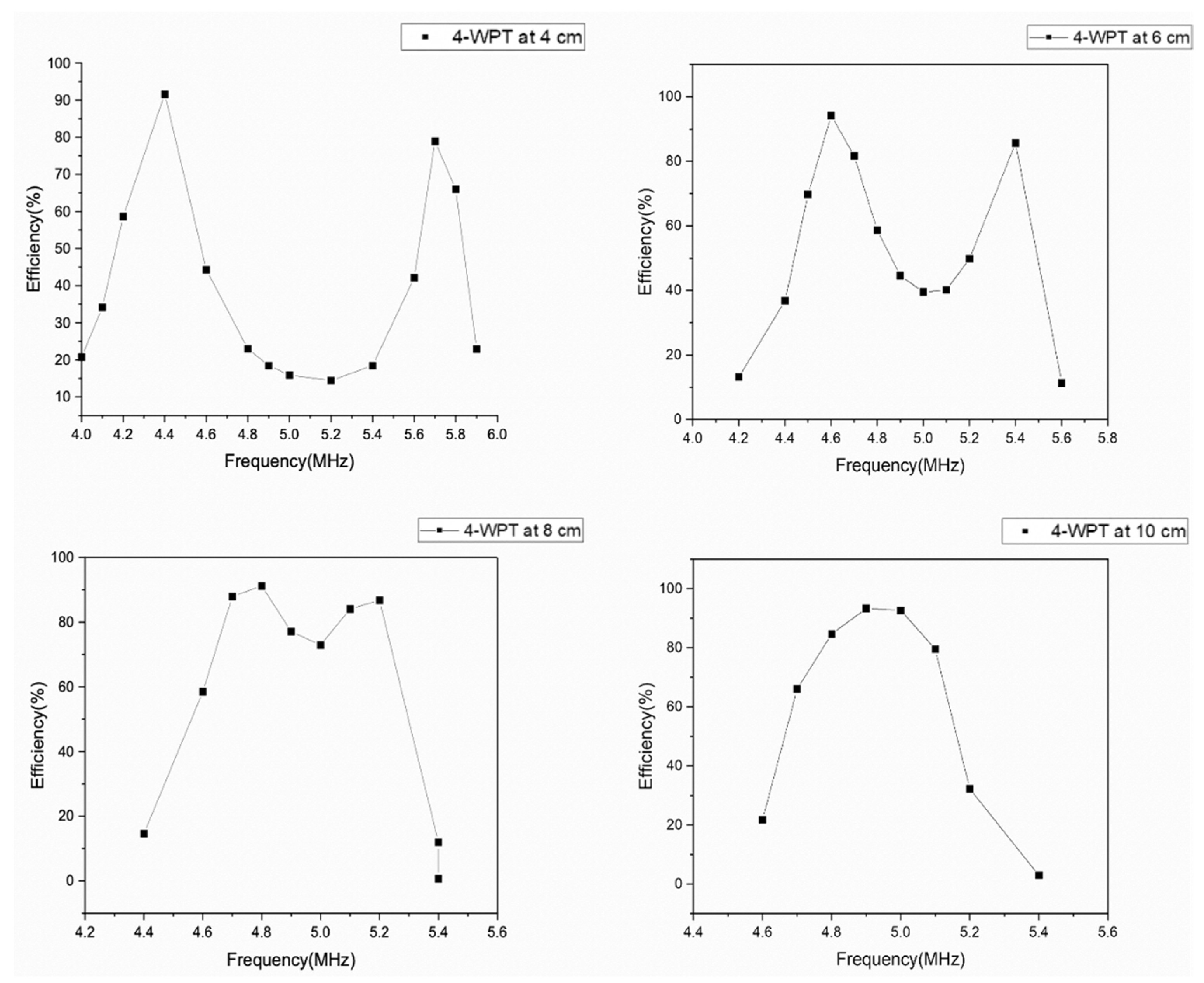
3. Results and Discussion
4. Conclusions
Informed Consent Statement
Data Availability Statement
References
- Kang, S.H.; Nguyen, V.T.; Jung, C.W. Analysis of MR-WPT using planar textile resonators for wearable applications. IET Microw. Antennas Propag. 2016, 10, 1541–1546. [Google Scholar] [CrossRef]
- Sample, A.P.; Meyer, D.A.; Smith, J.R. Analysis, experimental results, and range adaptation of magnetically coupled resonators for wireless power transfer. IEEE Trans. Ind. Electron. 2011, 58, 544–554. [Google Scholar] [CrossRef]








Publisher’s Note: MDPI stays neutral with regard to jurisdictional claims in published maps and institutional affiliations. |
© 2021 by the authors. Licensee MDPI, Basel, Switzerland. This article is an open access article distributed under the terms and conditions of the Creative Commons Attribution (CC BY) license (https://creativecommons.org/licenses/by/4.0/).
Share and Cite
Sun, Y.; Beeby, S. Simulation of 2-Coil and 4-Coil Magnetic Resonance Wearable WPT Systems. Proceedings 2021, 68, 13. https://doi.org/10.3390/proceedings2021068013
Sun Y, Beeby S. Simulation of 2-Coil and 4-Coil Magnetic Resonance Wearable WPT Systems. Proceedings. 2021; 68(1):13. https://doi.org/10.3390/proceedings2021068013
Chicago/Turabian StyleSun, Yixuan, and Stephen Beeby. 2021. "Simulation of 2-Coil and 4-Coil Magnetic Resonance Wearable WPT Systems" Proceedings 68, no. 1: 13. https://doi.org/10.3390/proceedings2021068013
APA StyleSun, Y., & Beeby, S. (2021). Simulation of 2-Coil and 4-Coil Magnetic Resonance Wearable WPT Systems. Proceedings, 68(1), 13. https://doi.org/10.3390/proceedings2021068013

