Next Article in Journal
Racing Wheels’ Effect on Drag/Side Forces Acting on a Cyclist at Sportstech-Miun Wind Tunnel
Previous Article in Journal
Analysis of the Design and Engineering-Process towards a First Prototype in the Field of Sports and Vitality
 
 
Font Type:
Arial Georgia Verdana
Font Size:
Aa Aa Aa
Line Spacing:
Column Width:
Background:
Proceeding Paper

On the Exposure of Hands to Vibration in Road Cycling: An Assessment of the Effect of Gloves and Handlebar Tape †

1
VELUS Laboratory, Mechanical Engineering Department, Universite de Sherbrooke 2500, Boulevard de l’Université, Sherbrooke, QC J1K 2R1, Canada
2
School of Computing, Engineering and Mathematics—University of Brighton, Cockcroft Building, Lewes Road, Brighton BN2 4GJ, UK
*
Author to whom correspondence should be addressed.
Presented at the 12th Conference of the International Sports Engineering Association, Brisbane, Queensland, Australia, 26–29 March 2018.
Proceedings 2018, 2(6), 213; https://doi.org/10.3390/proceedings2060213
Published: 22 February 2018

Abstract

The objective of this work was to assess the effectiveness of cycling gloves and handlebar tape in reducing the vibration transmitted to the cyclist’s hands in the classic “hoods” position for shock-type excitation at the front wheel on a bicycle treadmill. Three pairs of conditions were tested on a single participant: (1) With gloves vs. no gloves, no bar tape; (2) With bar tape vs. no bar tape, no gloves; (3) With gloves and bar tape vs. no gloves and no bar tape. We have shown that a rider can expect a small but significant drop in the level of transmitted power and energy through the handlebars when wearing a standard pair of road cycling gloves. If bar tape is used however (both with and without gloves), there is a significantly larger drop in the level of transmitted power and energy through the handlebars.

1. Introduction

In road cycling, a cyclist’s exposure to road induced vibration is often associated with discomfort and fatigue. As such, the level of discomfort experienced by cyclists has become an important consideration for manufacturers. Furthermore, there is now considerable evidence related to increased health risks for road cyclists, specifically in the hands and buttocks where the vibration is mainly transmitted from the bicycle to the cyclist. Perhaps the most pertinent examples of such health risks include: an increased risk of handlebar palsy caused by the compression of the ulnar nerve [1], and the potential onset of erectile dysfunction caused by compression of the pudendal nerve [2]. In order to reduce such risks and increase comfort, it is often recommended that cyclists wear padded cycling shorts and gloves, frequently change hand position [3] and use soft handlebar tape.
Several studies related to the transmission of vibration by a road bicycle and road bicycle dynamic comfort have been reported in the literature. Test protocols and test rigs that mimic the road excitation in a laboratory were developed [4,5,6,7], and a wide range of transducers have been embedded within the bicycle in areas such as the brake hoods, stem, handlebars and seatpost to measure transmitted acceleration, force, power and energy to the cyclist [8,9,10,11]. The assessment of the bicycle and bicycle components’ vibration transmissibility has been carried out [4,6,11], while psychophysics approaches have been used to assess cyclists’ vibration perceptual thresholds, suggesting that there is a large variability among cyclists in their capacity to differentiate sensory inputs at the hands [12,13].
Few studies however have specifically focused on the level of protection provided by padded gloves and shorts on the hands and buttocks. Slane et al. [3] assessed the effect of hand position on the handlebars (i.e., tops, drops, hoods) and glove type on pressure distribution over the palm of the hand, while Marcolin et al. [14] studied the compression of the perineal area in cyclists wearing shorts with various levels of padding.
The present study aims to quantify the effectiveness of cycling gloves and handlebar tape in reducing the vibration transmitted to the cyclist. The reduction of transmitted vibration was measured in terms of transmitted power and transmitted energy at the cyclist’s hands since these two mechanical quantities are emerging as preferred metrics for bicycle dynamic comfort assessment [5,7,10,11,12,13]. A shock-type excitation (i.e., impacts) was used in this study since it was thought to have a more severe negative effect on the cyclist than that of random-type excitation (i.e., excitation related to road surface roughness).

2. Materials and Methods

Tests were carried out using a bicycle treadmill (Figure 1) and a Cervélo R3 carbon fiber road bicycle (size: 56 cm; Fulcrum 7 wheels; Vittoria Rubino Pro tyres: 700x23C, pressure: 8 bars). Only the front wheel was in contact with the treadmill belt (Figure 1—item 4). The rear wheel was placed on a raiser board (Figure 1—item 5) and was thus not touching the treadmill belt. Shock-type excitation was provided using an aluminium dowel (diameter: 15.7 mm; Figure 1—item 2) attached to the surface of the treadmill belt and was therefore applied only to the front part of the bicycle. The bicycle was maintained stable in a vertical position using elastic rope (Figure 1—item 3) attached to the seat tube and the treadmill. Because of its high vertical compliance, the elastic rope did not affect the measurements.
Measurements of vertical force and vertical acceleration transmitted to the different systems, i.e., the cyclist or the cyclist + gloves/bar tape, were taken using instrumented brake hoods presented by Lépine et al. [11] (Figure 1—item 1). The force and acceleration signals were collected using a LMS SCADAS 24-bit acquisition system (model SCR01-08B) at a sampling frequency of 8192 Hz. LMS Test.Lab software was used for data processing. The transmitted power, P, was calculated using (1) where F and v are the vertical force and vertical speed (obtained by integrating the acceleration signal) respectively.
P ( t ) = F ( t ) v ( t )
The transmitted energy, E, for each impact was calculated using (2).
E = P ( t ) d t
The tested gloves were the Castelli Adesivo (size: large; product code: 4517031). There were three elastomer gel padded areas on the palm side of the gloves (A, B, C on Figure 2a). The palm was made of synthetic suede. The thickness of the padded areas was approximatively 4–4.5 mm. The contact patch (CP on Figure 2a) corresponded to the area where the gloves were in contact with the instrumented brake hoods. The tested handlebar tape was the Specialized S-Wrap Roubaix (product code: 2558-2026). The tape was 30 mm wide and had a maximum thickness of approximately 3 mm halfway across its width (Figure 2b). It was made from ethylene-vinyl acetate (EVA) foam with an elastomer gel layer on the back. For each hand, the bar tape strips arrangement (width: 110 mm, length: 120 mm; Figure 2c) consisted of 7 strips with 50% overlap that fully covered the CP on palm of the hand. The strips were placed across the hand rests of the instrumented brake hoods and the average thickness of bar tape strips arrangement was approximatively 4–4.5 mm. It is worth noting that while it is not typical for a cyclist to have bar tape on top of the brake hoods, we used such a setup in order to obtain bar tape related power and energy measurements from the instrumented brake hoods.
An experienced male cyclist (age: 48 years old; height: 180 cm; mass: 78 kg) was seated on the bicycle during the measurements. The bicycle was adjusted to achieve proper fit. The cyclist kept a natural constant position on the bicycle with his hands on the instrumented brake hoods with no grip force and remained seated at all times. The bicycle cranks were fixed in a horizontal position (no pedalling). The tested hand position corresponded to the classic “hoods” position [3,5].
The three following pairs of conditions were tested: (1) With gloves vs. no gloves, no bar tape; (2) With bar tape vs. no bar tape, no gloves; (3) With gloves and bar tape vs. no gloves and no bar tape. Each of these pairs of conditions was tested on a different day. Three runs of 20 impacts per condition were carried out for a total 60 impacts per condition. The order of the runs for a given pair was randomised. For each condition, the average total (i.e., left hand (L) and right hand (R) combined) RMS power, P ¯ RMS , and the average total energy, E ¯ , were calculated using (3) and (4) respectively.
P ¯ RMS = 1 60 i = 1 60 [ 1 N j = 1 N ( P L , i , j + P R , i , j ) 2 ] 1 2
E ¯ = 1 60 i = 1 60 ( E L , i + E R , i )
where N is the number of sample points per impact, P L , i , j and P R , i , j are the jth sample points of the transmitted power measured by the left and right instrumented brake hoods respectively for the ith impact, E L , i and E R , i are the transmitted energy measured by the left and right instrumented brake hoods respectively for the ith impact.

3. Results

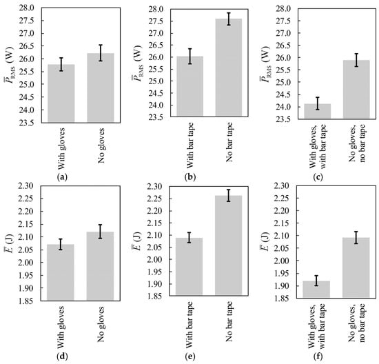
Results in terms of P ¯ RMS and E ¯ for the three pairs of conditions are shown in Figure 3. Table 1 gives the change in P ¯ RMS and E ¯ , and p-values (t-test for mean values) for the three pairs of conditions.

4. Discussion

The transducers in our study were used to measure both power and energy transmitted to the different systems, i.e., the cyclist or the cyclist + gloves/bar tape. We feel this approach based on implied measurement at the hands is (1) effective and highly convenient since transducers can be used unmodified; and (2) useful since according to the law of conservation of energy, the measured values of power and energy transmitted to the entire cyclist + gloves/bar tape system represent a worst-case scenario. Indeed, if the power and energy transmitted to the cyclist + gloves/bar tape system is lower than without any glove/bar tape, then as a result the power and energy transmitted to the cyclist’s hands must also be lower. Our approach therefore provides a clear estimate of the minimum level of reduction in power and energy transmitted to the cyclist’s hands.
The results show a significant reduction in transmitted power and energy when using gloves or bar tape, up to 6.8% (1.77 W) and 8.3% (173 mJ) respectively when gloves and bar tape are used together. The reduction in power and energy observed when the gloves were used with no bar tape was approximatively one third of that observed when the bar tape was used without gloves, despite the fact that the thickness of the gloves’ padded areas was comparable to the thickness of bar tape strips arrangement (i.e., ~4–4.5 mm). The most likely explanation for this seems to be that the padded areas on the gloves used covered less than half of the contact patch (see Figure 2a), whereas the bar tape covered the entire contact patch. Some further comparison with a range of commercially available products will help to understand the effects of padding location, orientation and geometry on transmitted power and energy. Furthermore, it is our expectation that the gloves would provide a greater reduction in transmitted energy and power when the hand position is in the classic “tops” position [3,5] since the gloves’ padded areas cover a larger part of the contact patch for that position. An analysis of this scenario would be a suitable next step for this study.
The measured reduction in transmitted energy associated with bar tape alone and gloves + bar tape was higher than the 100 mJ perceptual threshold determined in similar test conditions (i.e., dowel induced shock-type excitation at the front wheel only on the same treadmill with the same bicycle) by Drouet et al. [13]. Some improvement in perceived comfort by cyclists for both conditions could therefore be expected, however this may not be the case in the condition with gloves alone since there was only a 50 mJ reduction in overall transmitted energy in that case. While the reductions in transmitted energy and power found in this study may be relatively small for single impacts, the cumulative effect of many impacts during a typical ride would be considerable which suggests that there is a strong incentive for cyclists to use padded gloves and bar tape.

5. Conclusions

We have shown that a rider with his hands on the brake hoods (without bar tape) experiencing a shock-type excitation at the front wheel can expect a small but significant drop in the level of transmitted power and energy through the handlebars when wearing a standard pair of road cycling gloves, although this may not be a sufficient level to be perceived by the cyclist. If bar tape is used however (both with and without gloves), there is a much larger drop in the level of transmitted power and energy through the handlebars, and this could be large enough to be perceived by the cyclist. Further studies are required to analyse the effects of hand position in other locations on the handlebars, and also to analyse the differences between a range of commercially available products.

Conflicts of Interest

The authors declare no conflict of interest.

References

  1. Akuthota, V.; Plastaras, C.; Lindberg, K.; Tobey, J.; Press, J.; Garvan, C. The effect of long-distance bicycling on ulnar and median nerves: An electrophysiologic evaluation of cyclist palsy. Am. J. Sports Med. 2005, 33, 1224–1230. [Google Scholar] [CrossRef] [PubMed]
  2. Sommer, F.; Goldstein, I.; Korda, J.B. Bicycle Riding and Erectile Dysfunction: A Review. J. Sex. Med. 2010, 7, 2346–2358. [Google Scholar] [CrossRef] [PubMed]
  3. Slane, J.; Timmerman, M.; Ploeg, H.L.; Thelen, D.G. The influence of glove and hand position on pressure over the ulnar nerve during cycling. Clin. Biomech. 2011, 26, 642–648. [Google Scholar] [CrossRef] [PubMed]
  4. Petrone, N.; Giubilato, F. Development of a Test Method for the Comparative Analysis of Bicycle Saddle Vibration Transmissibility. Procedia Eng. 2013, 60, 288–293. [Google Scholar] [CrossRef]
  5. Lépine, J.; Champoux, Y.; Drouet, J.-M. Road bicycle comfort: On the measurement of vibrations induced to cyclist. Sports Eng. 2014, 17, 113–122. [Google Scholar] [CrossRef]
  6. Petrone, N.; Trabacchin, F. Development of a test bench for the subjective & objective evaluation of the vibrational comfort of bicycle components. In Proceedings of the ASME Design Engineering Technical Conferences, Buffalo, NY, USA, 17–20 August 2014. [Google Scholar]
  7. Lépine, J.; Champoux, Y.; Drouet, J.-M. Test Protocol for In-situ Bicycle Wheel Dynamic Comfort Comparison. Procedia Eng. 2016, 147, 568–572. [Google Scholar] [CrossRef][Green Version]
  8. Drouet, J.-M.; Champoux, Y. A novel dynamometric hubset design to measure wheel loads in road cycling. Procedia Eng. 2010, 2, 2925–2930. [Google Scholar] [CrossRef]
  9. Drouet, J.-M.; Champoux, Y. Development of a three-load component instrumented stem for road cycling. Procedia Eng. 2012, 34, 502–507. [Google Scholar] [CrossRef]
  10. Vanwalleghem, J.; De Baere, I.; Loccufier, M.; Van Paepegem, W. Sensor design for outdoor racing bicycle field testing for human vibration comfort evaluation. Meas. Sci. Technol. 2013, 24. [Google Scholar] [CrossRef]
  11. Lépine, J.; Champoux, Y.; Drouet, J.-M. The relative contribution of road bicycle components on vibration induced to the cyclist. Sports Eng. 2015, 18, 79–91. [Google Scholar] [CrossRef]
  12. Richard, S.; Champoux, Y.; Lépine, J.; Drouet, J.-M. Using an alternative forced-choice method to study shock perception at cyclists’ hands: The effect of tyre pressure. Procedia Eng. 2015, 112, 361–366. [Google Scholar] [CrossRef][Green Version]
  13. Drouet, J.-M.; Guastavino, C.; Girard, N. Perceptual Thresholds for Shock-type Excitation of the Front Wheel of a Road Bicycle at the Cyclist’s Hands. Procedia Eng. 2016, 147, 724–729. [Google Scholar] [CrossRef]
  14. Marcolin, G.; Petrone, N.; Reggiani, C.; Panizzolo, F.A.; Paoli, A. Biomechanical Comparison of Shorts With Different Pads: An Insight into the Perineum Protection Issue. Medicine 2015, 94. [Google Scholar] [CrossRef]
Figure 1. Setup for impact testing at the front wheel on bicycle treadmill. 1-instrumented brake hoods; 2-aluminium dowel; 3-elastic rope; 4-treadmill belt; 5-rear wheel raiser board.
Figure 1. Setup for impact testing at the front wheel on bicycle treadmill. 1-instrumented brake hoods; 2-aluminium dowel; 3-elastic rope; 4-treadmill belt; 5-rear wheel raiser board.
Proceedings 02 00213 g001
Figure 2. (a) Palm side of tested gloves model with identification of padded areas (A, B, C) and of the contact patch between the glove and the instrumented brake hoods (CP); (b) Bar tape cross-section. 1-ethylene-vinyl acetate (EVA) foam; 2-elastomer gel layer; (c) Handlebar tape strips arrangement. Note: All dimensions are in mm.
Figure 2. (a) Palm side of tested gloves model with identification of padded areas (A, B, C) and of the contact patch between the glove and the instrumented brake hoods (CP); (b) Bar tape cross-section. 1-ethylene-vinyl acetate (EVA) foam; 2-elastomer gel layer; (c) Handlebar tape strips arrangement. Note: All dimensions are in mm.
Proceedings 02 00213 g002
Figure 3. Results in terms of power and energy for the three pairs of conditions: (a,d) With gloves vs. no gloves; No bar tape; (b,e) With bar tape vs. no bar tape; No gloves; (c,f) With gloves and bar tape vs. no gloves and no bar tape. Uncertainty bars are at a confidence level of 95%.
Figure 3. Results in terms of power and energy for the three pairs of conditions: (a,d) With gloves vs. no gloves; No bar tape; (b,e) With bar tape vs. no bar tape; No gloves; (c,f) With gloves and bar tape vs. no gloves and no bar tape. Uncertainty bars are at a confidence level of 95%.
Proceedings 02 00213 g003
Table 1. Change in power and energy, and p-values for the three pairs of conditions.
Table 1. Change in power and energy, and p-values for the three pairs of conditions.
Pairs of Conditions Δ P ¯ RMS   ( W ) Δ P ¯ RMS   ( % ) p - Value   for   P ¯ RMS Δ E ¯   ( J ) Δ E ¯   ( % ) p - Value   for   E ¯
1. With gloves vs. no gloves; No bar tape−0.44−1.70.03−0.050−2.30.005
2. With bar tape vs. no bar tape; No gloves−1.57−5.7<0.001−0.172−7.6<0.001
3. With gloves and bar tape vs. no gloves and no bar tape−1.77−6.8<0.001−0.173−8.3<0.001
Publisher’s Note: MDPI stays neutral with regard to jurisdictional claims in published maps and institutional affiliations.

Share and Cite

MDPI and ACS Style

Drouet, J.-M.; Covill, D.; Duarte, W. On the Exposure of Hands to Vibration in Road Cycling: An Assessment of the Effect of Gloves and Handlebar Tape. Proceedings 2018, 2, 213. https://doi.org/10.3390/proceedings2060213

AMA Style

Drouet J-M, Covill D, Duarte W. On the Exposure of Hands to Vibration in Road Cycling: An Assessment of the Effect of Gloves and Handlebar Tape. Proceedings. 2018; 2(6):213. https://doi.org/10.3390/proceedings2060213

Chicago/Turabian Style

Drouet, Jean-Marc, Derek Covill, and Wendy Duarte. 2018. "On the Exposure of Hands to Vibration in Road Cycling: An Assessment of the Effect of Gloves and Handlebar Tape" Proceedings 2, no. 6: 213. https://doi.org/10.3390/proceedings2060213

APA Style

Drouet, J.-M., Covill, D., & Duarte, W. (2018). On the Exposure of Hands to Vibration in Road Cycling: An Assessment of the Effect of Gloves and Handlebar Tape. Proceedings, 2(6), 213. https://doi.org/10.3390/proceedings2060213

Article Metrics

Back to TopTop