Decomposition of Contaminants of Emerging Concern in Advanced Oxidation Processes †
Abstract
:1. Introduction
2. Material and Methods
2.1. Material and Reagents
2.2. Water Samples
2.3. Advanced Oxidation Processes
2.4. Analytical Procedure and Toxicity Assestment
3. Results and Discussion
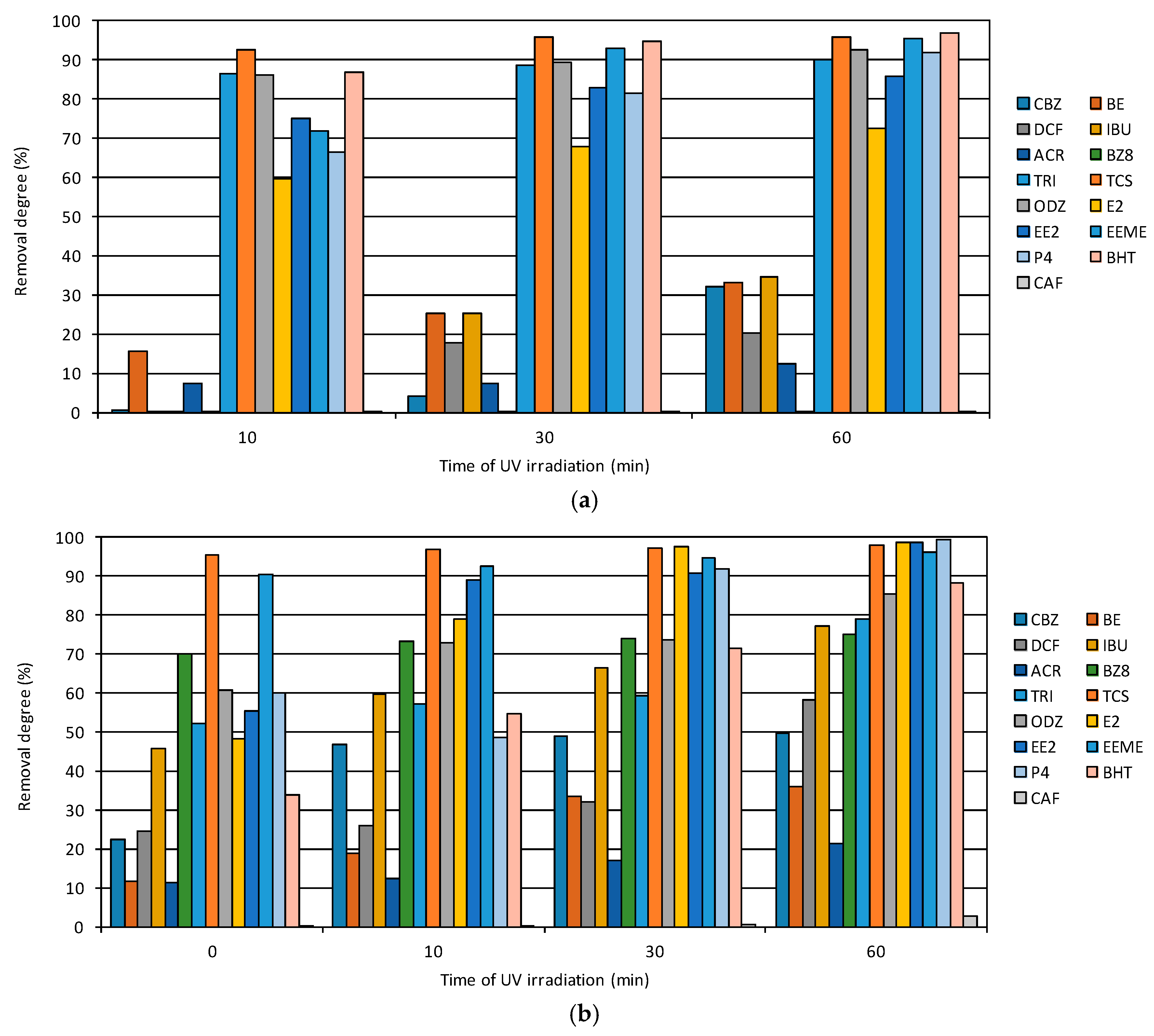
3.1. Degradation of Micropollutants in AOP
3.2. Toxicological Assessment of Post-Processed Water Solution
4. Conclusions
- UV-based oxidation processes are more effective for the micropollutant decomposition than the H2O2 and O3 processes.
- The highest removal rate of pharmaceutical compounds was observed during the UV/TiO2 process. Only acridine was more effectively oxidized by the O3 process. The TiO2-supported process also allows for a 96% removal of hormones.
- Pesticides and the food additive BHT were most effectively oxidized by the UV process and their removal degrees exceeded 90%.
- Dioxybenzone was mainly reduced by the process of adsorption on the surface of the TiO2 catalyst—70% removal was achieved.
- The lowest removal degree in all examined processes was observed in the case of caffeine. The removal of this compound requires the implementation of different types of treatment processes such as membrane technologies.
- The toxicological analysis of post-processed water samples indicated the generation of several oxidation by-products with a high toxic potential.
Acknowledgments
Conflicts of Interest
References
- Qiu, L.; Dong, Z.; Sun, H.; Li, H.; Chang, C.C. Emerging pollutants—Part I: occurrence, fate and transport. Water Environ. Res. 2016, 1855–1875. [Google Scholar] [CrossRef] [PubMed]
- Bu, Q.; Wang, B.; Huang, J.; Deng, S.; Yu, G. Pharmaceuticals and personal care products in the aquatic environment in China: A review. J. Hazard. Mater. 2013, 262, 189–211. [Google Scholar] [CrossRef]
- Li, W.; Ma, Y.; Guo, C.; Hu, W.; Liu, K.; Wang, Y.; Zhu, T. Occurrence and behavior of four of the most used sunscreen UV filters in a wastewater reclamation plant. Water Res. 2007, 41, 3506–3512. [Google Scholar] [CrossRef]
- Luo, Y.; Guo, W.; Ngo, H.H.; Nghiem, L.D.; Hai, F.I.; Zhang, J.; Liang, S.; Wang, X.C. A review on the occurrence of micropollutants in the aquatic environment and their fate and removal during wastewater treatment. Sci. Total Environ. 2014, 473–474, 619–641. [Google Scholar] [CrossRef] [PubMed]
- Santos, L.H.; Araujo, A.N.; Fachini, A.; Pena, A.; Delerue-Matos, C.; Montenegro, M.C. Ecotoxicological aspects related to the presence of pharmaceuticals in the aquatic environment. J. Hazard. Mater. 2010, 175, 45–95. [Google Scholar] [CrossRef] [PubMed]
- Fekete-Kertész, I.; Kunglné-Nagy, Z.; Gruiz, K.; Magyar, Á.; Farkas, É.; Molnár, M. Assessing Toxicity of Organic Aquatic Micropollutants Based on the Total Chlorophyll Content of Lemna minor as a Sensitive Endpoint. Period. Polytech. Chem. Eng. 2015, 59, 262–271. [Google Scholar] [CrossRef]
- Rodriguez-Narvaez, O.M.; Peralta-Hernandez, J.; Goonetilleke, A.; Bandala, E.R. Treatment technologies for emerging contaminants in water: A review. Chem. Eng. J. 2017, 323, 361–380. [Google Scholar] [CrossRef]
- Ribeiro, A.R.; Nunes, O.C.; Pereira, M.F.R.; Silva, A.M.T. An overview on the advanced oxidation processes applied for the treatment of water pollutants defined in the recently launched Directive 2013/39/EU. Environ. Int. 2015, 75, 33–51. [Google Scholar] [CrossRef] [PubMed]
- Shahidi, D.; Roy, R.; Azzouz, A. Advances in catalytic oxidation of organic pollutants—Prospects for thorough mineralization by natural clay catalysts. Appl. Catal. B Environ. 2015, 174–175, 277–292. [Google Scholar] [CrossRef]
- Kudlek, E.; Dudziak, M.; Bohdziewicz, J. Influence of inorganic ions and organic substances on the degradation of pharmaceutical compound in water matrix. Water 2016, 8, 532. [Google Scholar] [CrossRef]
- Menz, J.; Schneider, M.; Kümmerer, K. Toxicity testing with luminescent bacteria—Characterization of an automated method for the combined assessment of acute and chronic effects. Chemosphere 2013, 93, 990–996. [Google Scholar] [CrossRef] [PubMed]
- Mahugo Santana, C.; Sosa Ferrera, Z.; Torres Padron, M.E.; Santana Rodríguez, J.J. Methodologies for the extraction of phenolic compounds from environmental samples: New Approaches. Molecules 2009, 14, 298–320. [Google Scholar] [CrossRef] [PubMed]
- Werle, S.; Dudziak, M. Evaluation of toxicity of sewage sludge and gasification waste-products. Przem. Chem. 2013, 92, 1350–1353. [Google Scholar]
- Bohdziewicz, J.; Kudlek, E.; Dudziak, M. Influence of the catalyst type (TiO2 and ZnO) on the photocatalytic oxidation of pharmaceuticals in the aquatic environment. DWT 2016, 57, 1552–1563. [Google Scholar] [CrossRef]
- AlAani, H.; Hashem, S.; Karabet, F. Photocatalytic (UV-A/TiO2) and photolytic (UV-A) degradation of steroid hormones: Ethinyl Estradiol, Levonorgestrel, and Progesterone. Int. J. ChemTech Res. 2017, 10, 1061–1070. [Google Scholar]
- Gaya, U.I.; Abdullah, A.H. Heterogeneous photocatalytic degradation of organic contaminants over titanium dioxide: A review of fundamentals, progress and problems. J. Photochem. Photobiol. C Photochem. Rev. 2008, 9, 1–12. [Google Scholar] [CrossRef]
- Cooper, W.J.; Song, W. Advanced oxidation degradation of diclofenac. IAEA Rep. 2012, 46, 168–179. [Google Scholar]





| Group | Name | Molecular Formula | Molecular Weight, g/mol | Solubility in Water, mg/L | pKa |
|---|---|---|---|---|---|
| Pharmaceuticals | Carbamazepine, CBZ | C16H12N2O | 236.30 | 17 | 2.30 |
| Benzocaine, BE | C9H11NO2 | 165.19 | 1310 | 2.51 | |
| Diclofenac sodium salt, DCF | C14H10Cl2NNaO2 | 318.13 | 50 | 4.15 | |
| Ibuprofen sodium salt, IBU | C13H17NaO2 | 228.26 | 100 | 4.91 | |
| Dyes | Acridine, ACR | C13H9N | 179.22 | 38.4 | 5.6 |
| UV blockers | Dioxybenzone, BZ8 | C14H12O4 | 244.24 | Insoluble | 6.99 |
| Pesticides | Triallat, TRI | C10H16Cl3NOS | 304.66 | 4.1 | - 1 |
| Triclosan, TCS | C12H7Cl3O2 | 289.54 | 0.1 | 7.9 | |
| Oxadiazon, ODZ | C15H18Cl2N2O3 | 345.22 | 0.7 | - 2 | |
| Hormones | β-Estradiol, E2 | C18H24O2 | 272.38 | 3.6 | 10.33 |
| 17α-Ethinylestradiol, EE2 | C20H24O2 | 296.40 | 11.3 | 10.33 | |
| Mestranol, EEME | C21H26O2 | 310.43 | 1.13 | 17.59 | |
| Progesterone, P4 | C21H30O2 | 314.46 | 8.81 | 18.92 | |
| Food additives | Butylated Hydroxytoluene, BHT | C15H24O | 220.35 | 0.6 | 12.23 |
| Other | Caffeine, CAF | C8H10N4O2 | 194.19 | 21600 | 14.0 |
| Compound Group | Pharmaceuticals; Food Additive | Dyes; UV Blocker; Pesticides; Other | Hormones |
|---|---|---|---|
| Cartridge type | Supelclean™ ENVI-8 | Supelclean™ ENVI-18 | Supelclean™ ENVI-18 |
| Cartridge bed | Octylsilane (C8) | Octadecylsilane (C18) | Octadecylsilane (C18) |
| Conditioning | 5.0 mL of methanol | 5.0 mL of acetonitrile; 5.0 mL of methanol | 3.0 mL of dichloromethane; 3.0 mL of acetonitrile; 3.0 mL of methanol |
| Washing | 5.0 mL of deionized water | ||
| Sample flow (mL/min) | 1.0 | ||
| Vacuum drying time (min) | 5.0 | ||
| Extract elution | 3.0 mL of methanol | 1.5 mL of methanol; 1.5 mL of acetonitrile | 2.0 mL of dichloromethane; 1.5 mL of acetonitrile; 1.5 mL of methanol |
Publisher’s Note: MDPI stays neutral with regard to jurisdictional claims in published maps and institutional affiliations. |
© 2017 by the author. Licensee MDPI, Basel, Switzerland. This article is an open access article distributed under the terms and conditions of the Creative Commons Attribution (CC BY) license (https://creativecommons.org/licenses/by/4.0/).
Share and Cite
Kudlek, E. Decomposition of Contaminants of Emerging Concern in Advanced Oxidation Processes. Proceedings 2018, 2, 180. https://doi.org/10.3390/ecws-2-04949
Kudlek E. Decomposition of Contaminants of Emerging Concern in Advanced Oxidation Processes. Proceedings. 2018; 2(5):180. https://doi.org/10.3390/ecws-2-04949
Chicago/Turabian StyleKudlek, Edyta. 2018. "Decomposition of Contaminants of Emerging Concern in Advanced Oxidation Processes" Proceedings 2, no. 5: 180. https://doi.org/10.3390/ecws-2-04949
APA StyleKudlek, E. (2018). Decomposition of Contaminants of Emerging Concern in Advanced Oxidation Processes. Proceedings, 2(5), 180. https://doi.org/10.3390/ecws-2-04949
