Irreversibility of the Direct and Counter Impinging Liquid Jet onto Profiled Heated Cavity †
Abstract
:1. Introduction
2. Materials and Methods. The Reasons for this Research. Thermal and Hydraulic Irreversibility
2.1. Central Impinging Liquid Jet on the Bottom of the Cylindrical Cavity
2.2. The Peripheral Impinging Liquid Jet on the Bottom of the Cylindrical Cavity
3. Results. The Central Impinging Liquid Jet
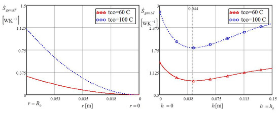
The Geometrical Change
4. Results and Discussion. The Peripheral Impinging Liquid Jet
4.1. The Geometrical Change
4.2. Change Velocity
5. Entropy Generation Paradox and Entropy Maximum
6. The Contribution, Limitations, and Benefit of This Work
6.1. The Contribution of This Work
6.2. The Limitations of This Work
- -
- It did not account for heat exchange between the cylindrical cavity and the environment because it was thermally insulated from the outside.
- -
- It is did not account for heat exchange between the central and peripheral liquid jets.
- -
- The liquid velocity within the channels of the cavity was considered at an average value.
6.3. Benefits of This Work
- -
- Establishes a mathematical model for the thermal and hydraulic irreversibility of direct and counter impinging liquid jets onto a heated cylindrical cavity. This mathematical model can be a basis for minimizing total generated entropy.
- -
- Presents the advantages and disadvantages of direct impinging liquid jets compared to indirect liquid impacting. There is the possibility to choose parameters for liquids or cavities in various industrial applications, both for cooling and heating a cavity with a liquid.
- -
- Establishes the most unfavorable heights, in terms of maximum entropy, of a cavity for a direct impinging liquid jet as a function of different values of the Reynolds number.
7. Validation Results
8. Conclusions
- -
- The total generated entropy for a central impinging liquid jet of constant inlet velocity is lower than for a counter impinging liquid jet on the peripheral part of the bottom of the cylindrical cavity.
- -
- A central impinging liquid jet increases the values of the thermal and hydraulic entropy on the bottom by many times greater than its on the vertical annular channel. However, the total thermal entropy of the cylindrical cavity is many times greater than the total hydraulic generated entropy.
- -
- A peripheral impinging liquid jet influences thermal entropy at the bottom of the cylindrical cavity less than on the vertical annular channel. The hydraulic entropy of both the bottom and annular vertical channel of the cylindrical cavity differ negligibly in relation to the previous case.
- -
- Either the minimum or maximum thermal entropy appears within the annular channel. This depends on whether the liquid flow enters or exits through the annular channel, or whether the liquid centrally or peripherally impinges on the bottom of the cavity.
- -
- The research has also shown that the effectiveness of the heating profiled cavity is greater in the case of a direct impinging liquid jet on the bottom of the cavity.
- -
- The above can be applied and in the case of a profiled cylindrical cavity cooled with liquid.
Future Research Directions
References
- Huang, L.; El-Genk, M.S. Heat transfer of an impinging jet on a flat surface. Int. J. Heat Mass Transf. 1994, 37, 1915–1923. [Google Scholar] [CrossRef]
- Mohanty, A.K.; Tawfek, A.A. Heat transfer due to a round jet impinging normal to a flat surface. Int. J. Heat Mass Transf. 1993, 36, 1639–1647. [Google Scholar] [CrossRef]
- Beitelmal, A.H.; Saad, M.A.; Patel, C.D. The effect of inclination on the heat transfer between a flat surface and impinging two-dimensional air jet. Int. J. Heat Fluid Flow 2000, 21, 156–163. [Google Scholar] [CrossRef]
- Zhou, D.W.; Lee, S.J. Forced convective heat transfer with impinging rectangular jets. Int. J. Heat Mass Transf. 2007, 50, 1916–1926. [Google Scholar] [CrossRef]
- Behnia, M.; Parneix, S.; Durbin, P.A. Prediction of heat transfer in an axisymmetric turbulent jet impinging on a flat plate. Int. J. Heat Mass Transf. 1998, 41, 1845–1855. [Google Scholar] [CrossRef]
- Nguyen, A.V.; Evans, G.M. Computational fluid dynamics modeling of gas jets impinging onto liquid pools. Appl. Math. Model. 2006, 30, 1472–1484. [Google Scholar] [CrossRef]
- Muñoz-Esparza, D.; Buchlin, J.-M.; Myrillas, K.; Berger, R. Numerical investigation of impinging gas jets onto deformable liquid layers. Appl. Math. Model. 2012, 36, 2687–2700. [Google Scholar] [CrossRef]
- Bajan, A. Entropy Generation through Heat and Fluid Flow; John Wiley & Sons: New York, NY, USA, 1982. [Google Scholar]
- Ruocco, G. Entropy generation in conjugate heat transfer from a discretely heated plate to an impinging confined jet. Int. J. Heat Mass Transf. 1997, 24, 201–210. [Google Scholar] [CrossRef]
- Chen, S.; Zheng, C. Entropy generation in impinging flow confined by planar opposing jets. Int. J. Therm. Sci. 2010, 49, 2067–2075. [Google Scholar] [CrossRef]
- Shuja, S.Z.; Yibas, B.S.; Budair, M.O. Local entropy generation in an impinging jet: Minimum entropy concept evaluating various turbulence models. Comput. Methods Appl. Mech. Eng. 2001, 190, 3623–3644. [Google Scholar] [CrossRef]
- Haddad, O.M.; Alkam, M.K.; Khasawneh, M.T. Entropy generation due to laminar forced convection in the entrance region of a concentric annulus. Energy 2004, 29, 35–55. [Google Scholar] [CrossRef]
- Torabi, M.; Zhang, K. Temperature distribution and classical entropy generation analyses in an asymmetric cooling composite hollow cylinder with temperature-dependent thermal conductivity and internal heat generation. Energy 2014, 73, 484–496. [Google Scholar] [CrossRef]
- Bejan, A. Advanced Engineering Thermodynamics; John Wiley & Sons: New York, NY, USA, 1998. [Google Scholar]
- Shah, R.K.; Skiepko, T. Entropy generation extreme and their relationship with heat exchanger effectiveness—Number of transfer unit behavior for complex flow arrangements. J. Heat Transf. 2004, 126, 994–1002. [Google Scholar] [CrossRef]
- Guo, Z.Y.; Liu, X.B.; Tao, W.Q.; Shah, R.K. Effectiveness—Thermal resistance method for heat exchanger design and analysis. Int. J. Heat Mass Transf. 2010, 53, 2877–2884. [Google Scholar] [CrossRef]
- Qian, X.D.; Li, Z.X. Analysis of entransy dissipation in heat exchangers. Int. J. Therm. Sci. 2011, 50, 608–614. [Google Scholar] [CrossRef]





















Publisher’s Note: MDPI stays neutral with regard to jurisdictional claims in published maps and institutional affiliations. |
© 2018 by the author. Licensee MDPI, Basel, Switzerland. This article is an open access article distributed under the terms and conditions of the Creative Commons Attribution (CC BY) license (https://creativecommons.org/licenses/by/4.0/).
Share and Cite
Alic, F. Irreversibility of the Direct and Counter Impinging Liquid Jet onto Profiled Heated Cavity. Proceedings 2018, 2, 161. https://doi.org/10.3390/ecea-4-05014
Alic F. Irreversibility of the Direct and Counter Impinging Liquid Jet onto Profiled Heated Cavity. Proceedings. 2018; 2(4):161. https://doi.org/10.3390/ecea-4-05014
Chicago/Turabian StyleAlic, Fikret. 2018. "Irreversibility of the Direct and Counter Impinging Liquid Jet onto Profiled Heated Cavity" Proceedings 2, no. 4: 161. https://doi.org/10.3390/ecea-4-05014
APA StyleAlic, F. (2018). Irreversibility of the Direct and Counter Impinging Liquid Jet onto Profiled Heated Cavity. Proceedings, 2(4), 161. https://doi.org/10.3390/ecea-4-05014
