Experimental and Numerical Study on the Dehumidification Performance of KCOOH Solution †
Abstract
:1. Introduction
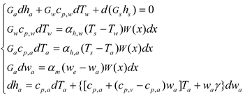
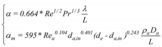
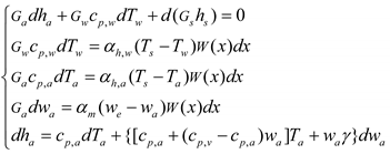
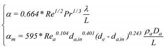
2. Model Development for Falling Film Dehumidification/Regeneration
3. Experimental Methodology
4. Experimental Results and Validation
4.1. Influence of Air Humidity on Dehumidification Performance
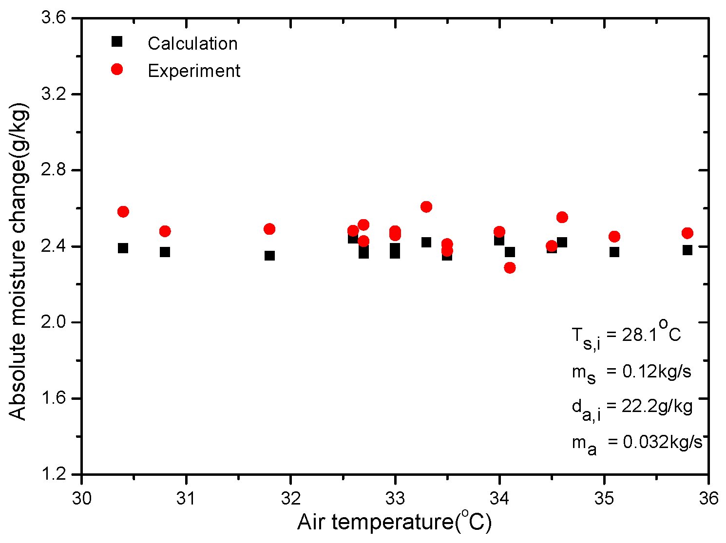
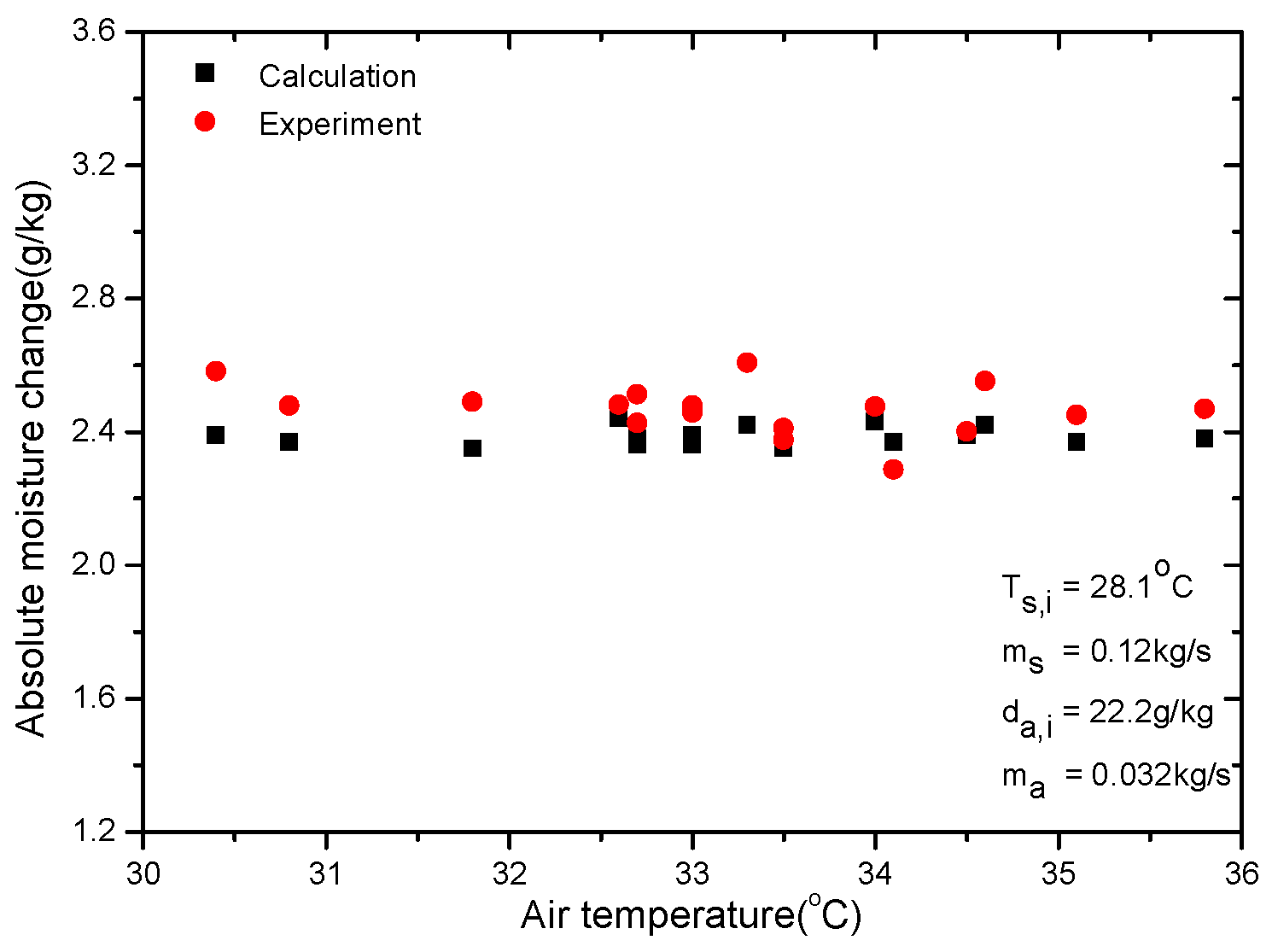
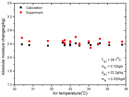
4.2. Influence of Air Temperature on Dehumidification Performance
4.3. Influence of Solution Temperature on Dehumidification Performance
4.4. Influence of Solution Flow Rate on Dehumidification Performance
4.5. Validation of Mathematical Model
5. Conclusions
- (1)
- Dehumidification experiment for KCOOH solution indicated the negligible influence of air temperature and solution flow rate on mass transfer performance due to their negligible effect on mass transfer driving force. However, the air humidity and solution temperature are closely related with the mass transfer driving force and influence the absolute moisture change significantly.
- (2)
- The heat and mass transfer model for dehumidification were built. The new model can simulate the mass transfer performance precisely with the relative difference of 6.05% for dehumidification.
Author Contributions
Funding
Conflicts of Interest
References
- Huang, Y.; Niu, J.L.; Chung, T.M. Energy and carbon emission payback analysis for energy-efficient retrofitting in buildings—Overhang shading option. Energy Build. 2012, 44, 94–103. [Google Scholar] [CrossRef]
- Rafique, M.M.; Gandhidasan, P.; Bahaidarah, H.M. Liquid desiccant materials and dehumidifiers—A review. Renew. Sustain. Energy Rev. 2016, 56, 179–195. [Google Scholar] [CrossRef]
- Longo, G.A.; Gasparella, A. Experimental and theoretical analysis of heat and mass transfer in a packed column dehumidifier/regenerator with liquid desiccant. Int. J. Heat Mass Trans. 2005, 48, 5240–5254. [Google Scholar] [CrossRef]
- Melinder, Å. Thermophysical Properties of Aqueous Solutions Used as Secondary Working Fluids. Ph.D. Thesis, KTH, Stockholm, Sweden, 2007. [Google Scholar]
- Mesquita, L.; Harrison, S.; Thomey, D. Modeling of heat and mass transfer in parallel plate liquid-desiccant dehumidifiers. Sol. Energy 2006, 80, 1475–1482. [Google Scholar] [CrossRef]
- Liu, X.; Chang, X.; Xia, J.; Jiang, Y. Performance analysis on the internally cooled dehumidifier using liquid desiccant. Build. Environ. 2009, 44, 299–308. [Google Scholar] [CrossRef]
- Patankar, S. Numerical Heat Transfer and Fluid Flow; CRC Press: Boca Raton, FL, USA, 1980. [Google Scholar]








Publisher’s Note: MDPI stays neutral with regard to jurisdictional claims in published maps and institutional affiliations. |
© 2018 by the authors. Licensee MDPI, Basel, Switzerland. This article is an open access article distributed under the terms and conditions of the Creative Commons Attribution (CC BY) license (https://creativecommons.org/licenses/by/4.0/).
Share and Cite
Luo, Y.; Zhao, Y.; Yu, K.; Wen, T.; Sheng, L. Experimental and Numerical Study on the Dehumidification Performance of KCOOH Solution. Proceedings 2018, 2, 1375. https://doi.org/10.3390/proceedings2221375
Luo Y, Zhao Y, Yu K, Wen T, Sheng L. Experimental and Numerical Study on the Dehumidification Performance of KCOOH Solution. Proceedings. 2018; 2(22):1375. https://doi.org/10.3390/proceedings2221375
Chicago/Turabian StyleLuo, Yimo, Yunlong Zhao, Ketong Yu, Tao Wen, and Liyuan Sheng. 2018. "Experimental and Numerical Study on the Dehumidification Performance of KCOOH Solution" Proceedings 2, no. 22: 1375. https://doi.org/10.3390/proceedings2221375
APA StyleLuo, Y., Zhao, Y., Yu, K., Wen, T., & Sheng, L. (2018). Experimental and Numerical Study on the Dehumidification Performance of KCOOH Solution. Proceedings, 2(22), 1375. https://doi.org/10.3390/proceedings2221375

