Abstract
This work presents a thermocouple that is fully screen printed and consists exclusively of carbon black conductors. Two different carbon black inks were printed to form a thermocouple, which has been characterized regarding its output voltage. For reference, each of the carbon black inks was used in combination with gold to form two further thermocouples. These have also been characterized and the output voltage used to predict the output of the associated thermocouple consisting of pure carbon black conductors. The results have been compared with the measurement results and show that the output of the pure carbon black thermocouple is roughly 10% lower than expected.
1. Introduction
Thermocouples are a very common way of measuring temperature as they are suitable for a wide range of temperatures [1] and easy to implement and embed into test setups. A thermocouple consists of two conductive materials and produces an output voltage that is proportional to the difference between the connection temperature and the junction temperature and the difference of Seebeck coefficients of the two components.
While metal and semiconductor thermocouples have been established for many decades, it is also possible to build a thermocouple out of other conductive materials, like for example carbon black. Carbon black is high temperature stable, cost-efficient and readily available. Therefore, thermocouples that consist of carbon black in combination with another conductive material have already been manufactured by spray-coating [2] and screen-printing [3]. However, carbon black does not have one uniquely defined Seebeck coefficient. The reason for this lies in the Fermi level of carbon black [4], which is affected by the density of states [5]. Expressed in classical material parameters, the Seebeck coefficient is influenced by charge carrier transport properties. Therefore, in a carbon black composite, impurities as well as polymer matrix and carbon black concentration have an effect on the Seebeck coefficient [6]. This phenomenon has been utilized to produce a thermocouple consisting of two different carbon fiber reinforced laminae [7].
In this work, a carbon black thermocouple is presented, that consists of two polymer matrix composites and is fully screen printed. Additionally, the Seebeck coefficients of the carbon black screen printing inks are determined in order to facilitate future work on carbon black thermocouples.
2. Materials and Methods
For the pure carbon black thermocouple, first a layer of SD 2842 HAL by Peters (from now on referred to as “2842”) is screen printed onto a glass substrate using a 120 threads/cm PET mesh. It is dried at 150 °C for 5 min, before a layer of EDAG 109 E&C by Loctite (from now on referred to as “109”) is printed in a way that the two features overlap at the junction. The same mesh is used for this step. Then, both carbon black inks are cured at 150 °C for 30 min. The connections have been made from Kapton strips coated with the same carbon black ink respectively. The carbon black features of the carbon black/gold thermocouples have been manufactured by the same process as described above. The gold features have been manufactured of gold leaf and for the connections Kapton strips have been coated with gold leaf. These three kinds of thermocouples are shown in Figure 1. In the left picture, the 109-Au thermocouple is shown, in the middle the 109-2842 thermocouple (pure carbon black) and in the right picture, the 2842-Au thermocouple.
Figure 1.
Left picture: 109-Au thermocouple, Middle picture: 109-2842 thermocouple, Right picture: Au-2842 thermocouple.
3. Results
The pure carbon black thermocouple has been characterized using a test setup that consists of an electrical heater, a reference temperature sensor and a water bath-cooled block of aluminum. The junction of the thermocouple is electrically heated and the surface temperature is measured. To hold the temperature of the measurement connections at a constant value, the connections are embedded into water-cooled aluminum which is electrically insulated by an organic coating. The thermoelectric output voltage as a function of temperature difference between junction and connection is shown in Figure 2. As one can see, the four test measurement cycles are stable and in the first approximation linear. The output voltage of such a thermocouple is therefore of the form
Figure 2.
The output voltage of the pure carbon black thermocouple as a function of difference between junction temperature and connection temperature.
In this formula, V is the output voltage, S the respective Seebeck coefficient and ΔT the temperature difference between junction and connections. To determine the output voltage per degree Celsius and the Seebeck coefficients, a linear fit is calculated for temperature differences below 50 °C (as the Seebeck coefficients is also not completely independent from temperature and usually given at room temperature [8]). From the linear fit and Equation (1), the following relationship can be derived.
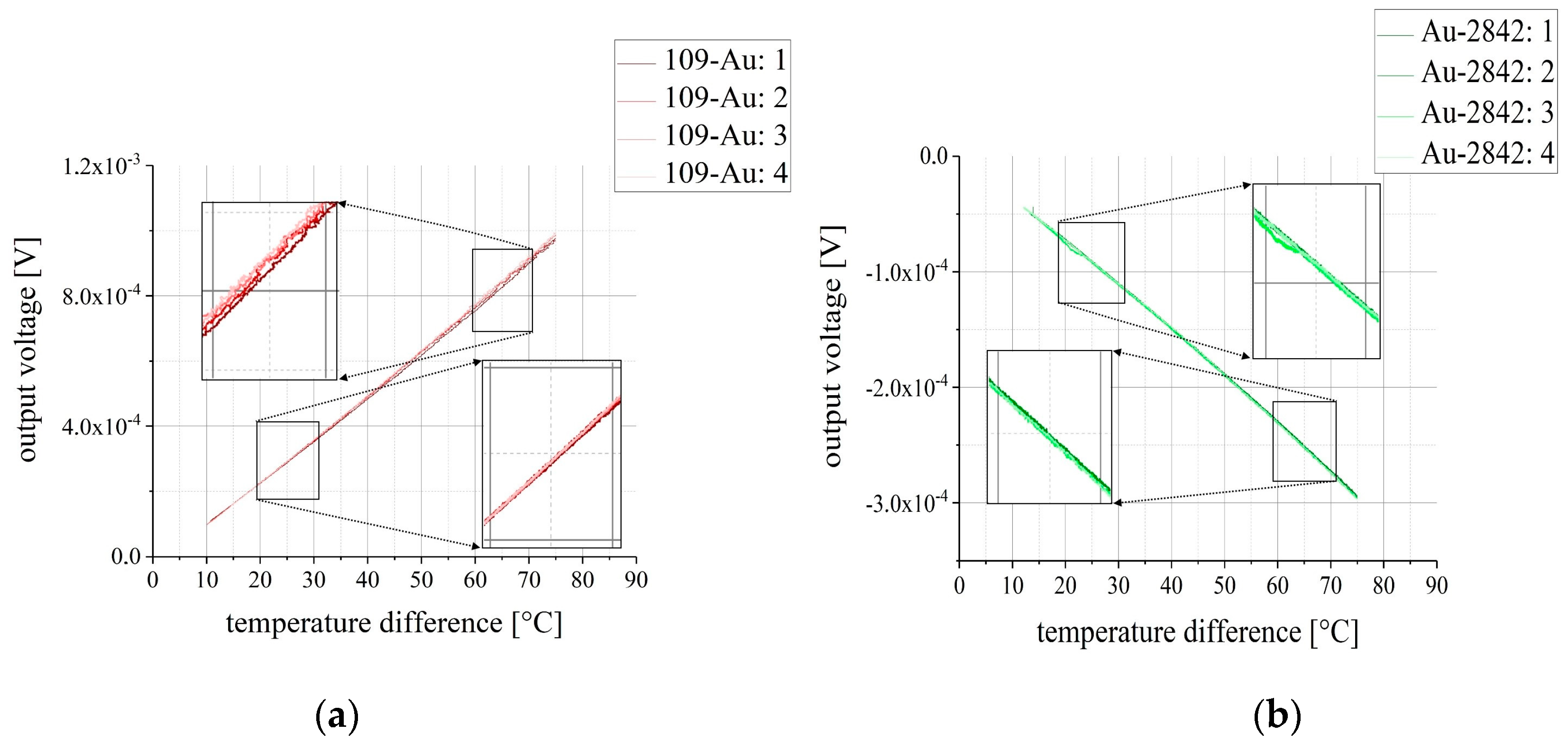
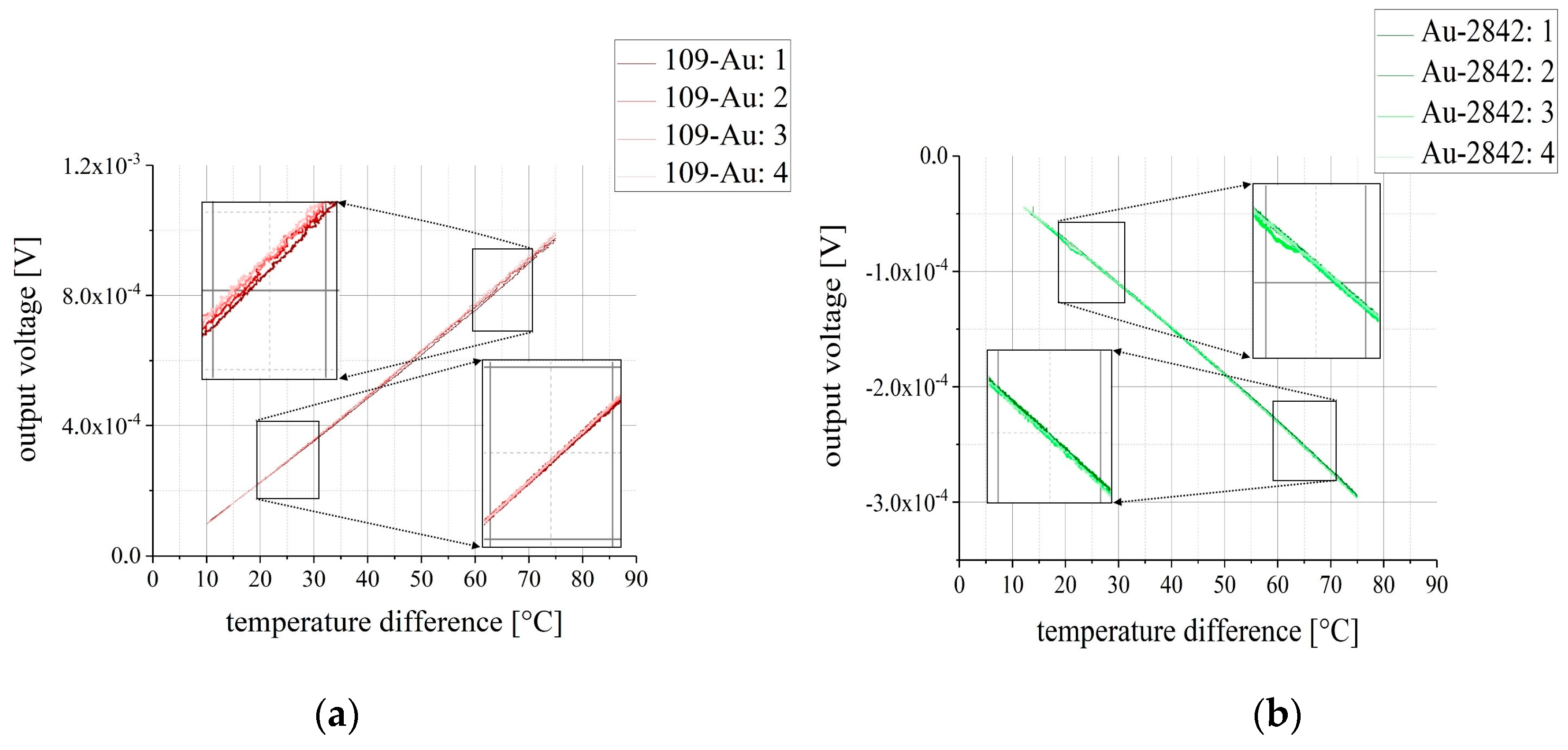
To obtain absolute Seebeck coefficients from this result rather than just their difference, the two carbon black-gold thermocouples are characterized in the same way. The results are shown in Figure 3. Again, as for the pure carbon black thermocouple, the output voltage of the two gold-carbon black thermocouples is fairly linear and the four measurement cycles result in similar measurement values. However, as can be seen in the enlarged areas, the output of the pure carbon black thermocouple in Figure 2 is more stable than the output of the two gold-carbon black thermocouples in Figure 3. To obtain the Seebeck coefficients, again a linear fit for the first 50 °C temperature difference is calculated.
Figure 3.
(a) The output voltage of the 109-Au thermocouple as a function of temperature difference between junction an connection for four measurement cycles; (b) The output voltage of the Au-2842 thermocouple as a function of temperature difference.
The absolute Seebeck coefficient of gold is well known to be 1.94 µV/K [9]. From the carbon black-gold thermocouple (Equations (3) and (4)), the Seebeck coefficients S109 = 14.8 µV/K and S2842 = 5.76 µV/K can be calculated. Analytically, the thermoelectric output of the pure carbon black thermocouple can be calculated from Equation (1) to be 9.04 µV/K. Comparing this analytical result to the measurement result of Figure 2, one can see that that the output is approximately 11% lower than it is according to this calculation.
4. Discussion
A thermocouple consisting of two carbon black inks is realized by screen printing and tested. These test results are then compared to thermocouple output voltages of each of the two carbon black inks combined with gold. The output of the pure carbon black thermocouple is lower than predicted from the output of the gold thermocouples. As mentioned in the introduction, this can be due to several reasons, some of them being impurities, slight variations of carbon black concentration in the inks and other effects affecting the Fermi level. In any case, it was shown that a pure carbon black thermocouple can be used to measure temperature and its output sensitivity is higher than e.g., one of the carbon black-gold thermocouples and moreover stable over several measurement cycles. Additionally, the Seebeck coefficients of two commercially available carbon black screen printing inks were determined, facilitating future use of carbon black inks in thermocouples. As a next step, in extension to the measurements presented here, a set of different carbon black screen printing inks will be used to manufacture thermocouples and determine the actual Seebeck coefficients. This set of data will enable future use of carbon black inks in combination with other conductive materials in environments with varying temperatures, as the thermoelectric effect produces an superposed voltage signal which can be compensated using the data collected here.
Author Contributions
M.K. and C.O. developed the concept. C.O. manufactured the thermocouples and performed the measurement. B.J. and W.H. helped in analyzing the data and reviewed the manuscript.
Funding
This work has been supported by the LCM K2 Center for Symbiotic Mechatronics within the framework of the Austrian COMET-K2 program.
Conflicts of Interest
The authors declare no conflict of interest. The founding sponsors had no role in the design of the study; in the collection, analyses, or interpretation of data; in the writing of the manuscript, and in the decision to publish the results.
References
- Childs, P.R.; Greenwood, J.R.; Long, C.A. Long Review of temperature measurement. Rev. Sci. Instrum. 2000, 71, 2959–2978. [Google Scholar] [CrossRef]
- Knoll, M.; Offenzeller, C.; Jakoby, B.; Hilber, W. A Spray Processed Polymer-Based High Temperature Organic/Metal Thermocouple for Embedding in Organic Coatings of Steel Substrates. Proceedings 2017, 1, 611. [Google Scholar]
- Offenzeller, C.; Knoll, M.; Jakoby, B.; Hilber, W. High Temperature Stable Screen-Printed Temperature Sensor for in Situ Measurement in Microfluidic Channels. In Proceedings of the 5th European Conference on Microfluidics, Strasbourg, France, 28 February–2 March 2018. [Google Scholar]
- Scheidemantel, T.J.; Ambrosch-Draxl, C.; Thonhauser, T.; Badding, J.V.; Sofo, J.O. Transport coefficients from first-principles calculations. Phys. Rev. B 2003, 68, 125210. [Google Scholar] [CrossRef]
- Bramley, P. A Quantitative Model for the Thermocouple Effect Using Statistical and Quantum Mechanics. In Proceedings of the AIP Conference Proceedings, Sendai, Japan, 16–19 September 2003; Volume 684, pp. 547–552. [Google Scholar]
- Du, Y.; Cai, K.F.; Shen, S.Z.; Yang, W.D.; Casey, P.S. The thermoelectric performance of carbon black/poly(3,4-ethylenedioxythiophene):poly(4-styrenesulfonate) composite films. J. Mater. Sci. Mater. Electron. 2013, 24, 1702–1706. [Google Scholar] [CrossRef]
- Chung, D.D. Continuous carbon fiber polymer-matrix composites and their joints, studied by electrical measurements. Polym. Compos. 2001, 22, 250–270. [Google Scholar] [CrossRef]
- Kishimoto, K.; Tsukamoto, M.; Koyanagi, T. Temperature dependence of the Seebeck coefficient and the potential barrier scattering of n-type PbTe films prepared on heated glass substrates by rf sputtering. J. Appl. Phys. 2002, 92, 5331–5339. [Google Scholar] [CrossRef]
- Bubnova, O.; Khan, Z.U.; Malti, A.; Braun, S.; Fahlman, M.; Berggren, M.; Crispin, X. Optimization of the thermoelectric figure of merit in the conducting polymer poly (3,4-ethylenedioxythiophene). Nat. Mater. 2011, 10, 429–433. [Google Scholar] [CrossRef] [PubMed]
Publisher’s Note: MDPI stays neutral with regard to jurisdictional claims in published maps and institutional affiliations. |
© 2018 by the authors. Licensee MDPI, Basel, Switzerland. This article is an open access article distributed under the terms and conditions of the Creative Commons Attribution (CC BY) license (https://creativecommons.org/licenses/by/4.0/).


