Next Article in Journal
Planning of Energy Production and Management of Energy Resources in Local Energy Communities: The Case of Berchidda Municipality (Italy)
Previous Article in Journal
Using Recycled Materials in Packagings to Meet the Goals of Circular Economy
 
 
Font Type:
Arial Georgia Verdana
Font Size:
Aa Aa Aa
Line Spacing:
Column Width:
Background:
Proceeding Paper

Influence of UV Irradiation Spectra on the Formation of Micropollutant Decomposition By-Products during Heterogeneous Photocatalysis †

Faculty of Energy and Environmental Engineering, Silesian University of Technology, Konarskiego 18, 44-100 Gliwice, Poland
Presented at Innovations-Sustainability-Modernity-Openness Conference (ISMO’19), Bialystok, Poland, 22–23 May 2019.
Proceedings 2019, 16(1), 51; https://doi.org/10.3390/proceedings2019016051
Published: 24 July 2019
(This article belongs to the Proceedings of Innovations-Sustainability-Modernity-Openness Conference (ISMO’19))

Abstract

:
This paper presents a short overview of the removal rates of selected organic micropollutants and the formation of their intermediates in water solutions during the processes of photolysis and photocaltalysis. Both processes were carried out using four UV lamps with different irradiation spectra. It was proven that the distribution of radiation intensity at given wavelengths had a strong impact on the decomposition of compounds. The most commonly used TQ mercury UV lamp led to the formation of a larger number of intermediates during photochemical processes compared to other UV lamps with the same power of 150 watts. Toxicological analysis indicated the toxic nature of some of the newly formed by-products.

1. Introduction

UV-based micropollutant decomposition methods like photolysis and heterogeneous photocatalysis belong to one of the most well-described water treatment processes in the literature. Their effectiveness depends on many factors related to the physicochemical parameters of the treated water solutions [1] and the operational parameters of the decomposition process [2]. It is very important to choose the source of UV radiation and to estimate the appropriate wavelength, the energy of which allows for the complete decomposition of different types of organic contaminants. The performance of UV-based processes, especially in water matrices with a high content of various organic compounds, can led to the formation of decomposition intermediates, which can strongly increase the toxicological risk of the post-processed water [3]. Therefore, choosing the type of UV lamp becomes an important issue in water treatment processes.
The present research concerned estimation of the influence of UV irradiation spectra of four commercial UV lamps with a power of 150 W on the decomposition of various types of organic micropollutants.

2. Material and Methods

2.1. Water Samples

The subject of the study constituted water solutions (prepared based on deionized water with a conductivity of 18 MΩ cm−1) of chosen organic micropollutants with the concentration of 500 µg L−1. The analytical standards of all tested compounds, i.e., benzocaine (BE), carbamazepine (CBZ), acridine (ACR), butylated hydroxytoluene (BHT), caffeine (CAF), triallate (TRI), triclosan (TCS), oxadiazon (ODZ), β-estradiol (E2), 17α-ethinylestradiol (EE2), mestranol (EEME), and progesterone (P4) of purity grade >97.0%, were supplied by Sigma-Aldrich (Poznań, Poland). The pH of the prepared water solutions was adjusted to 7 using 0.1 mol L−1 NaOH. Experiments for all tested micropollutants were carried out separately.

2.2. Photodecomposition Processes

The photodecomposition processes were carried out in a laboratory glass batch reactor with a volume of 0.7 L from Heraeus (Hanau, Germany). The reactor was optionally equipped with four medium-pressure UV mercury vapor lamps (TQ, TQ-Z1, TQ-Z2, TQ-Z3) with a power of 150 W. The UV lamps were characterized by different wavelengths, λexc, of radiation given by the producer (Figure 1). The processes of photolysis and heterogeneous photocatalysis were carried out for 5, 15, 30, and 60 min. The reaction mixture was aerated by an aeration pump with a capacity of 4 L of air per minute. Titanium dioxide from Evonik Degussa GmbH (Hanau, Germany) at the dose of 50 mg L−1 was used as a process catalyst and separated from the reaction mixture after the irradiation process using a microfiltration set equipped with membrane filters by Merck Milipore (Darmstadt, Germany).
The analytical procedure of the tested compounds was performed using gas chromatography–mass spectrometry (GC-MS) with electron ionization preceded by solid-phase extraction (SPE). Details of the method are given in [3]. Assignment errors were estimated on the basis of the standard deviation for three repetitions of each test. The kinetic of the process was calculated with the Langmuir–Hisherwood (L–H) equation [4]. The tests were completed with a toxicological analysis performed using the Microtox® test.

3. Results and Discussion

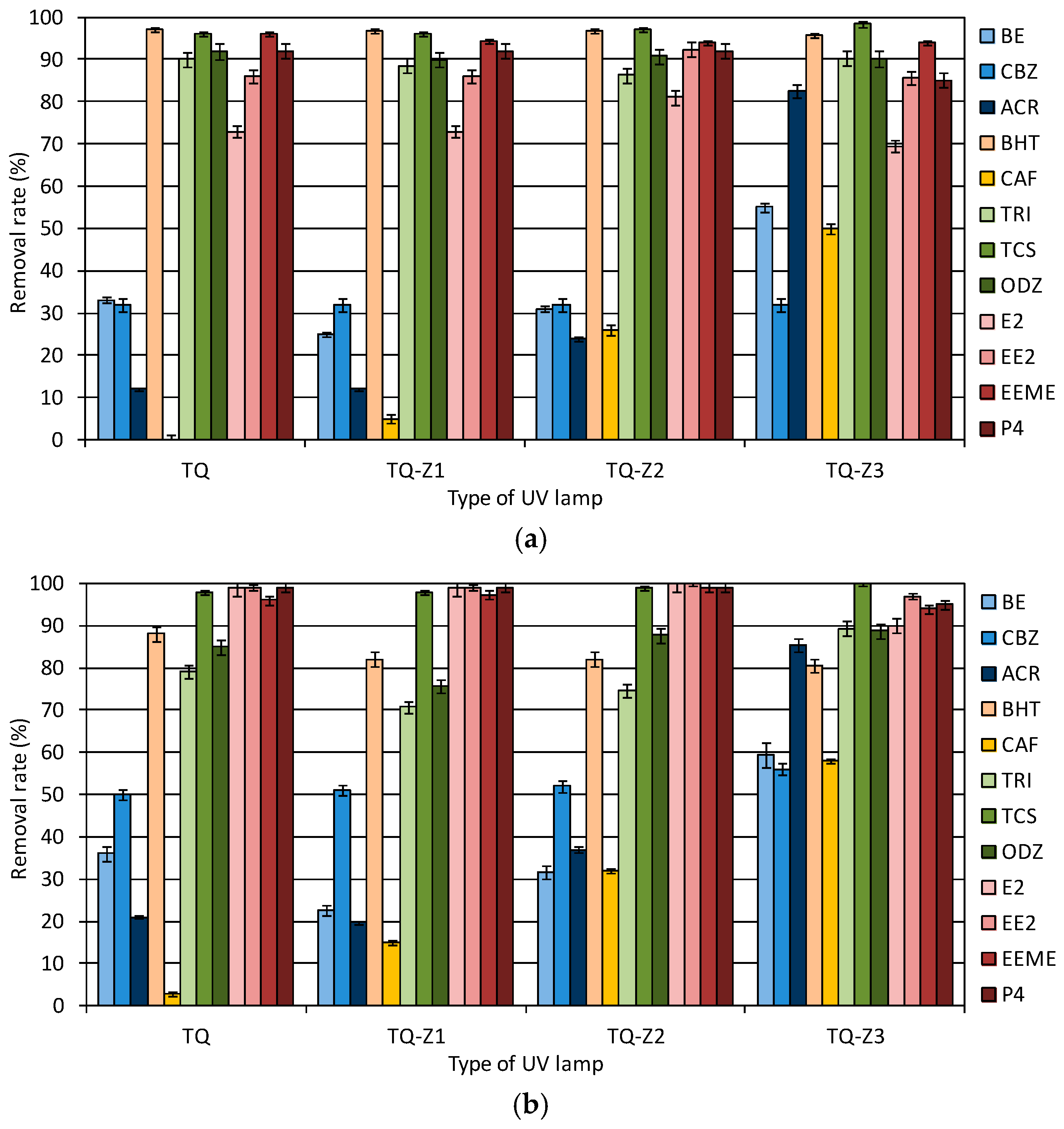
Figure 2 shows the reduction in the concentration of micropollutants tested after 60 min of exposure to different types of UV lamps. The tests were conducted with and without (photolysis) the presence of the TiO2 catalyst.
The catalyst increased the decomposition of the tested micropollutants. Only in the case of TRI and ODZ were higher removal rates observed during the photolysis process. The type of UV lamp affected the rapidity of micropollutant decomposition. For example, the CAF concentration was reduced by more than 58% during the photocatalysis process carried out using the TQ-Z3 lamp, while the use of the TQ lamp caused only a 3% removal of this compound. The highest removal rates of compounds from the group of hormones (E2, EE2, EEME, P4) and pharmaceuticals (BE, CBZ, ACR) were noted for the TQ-Z3 lamp. Meanwhile, BHT was most effectively removed during exposure to UV light emitted by the HG lamp.
The chromatographic analysis of post-processed solutions indicated the formation of several decomposition intermediates, which were identified based on their mass spectrum using the NIST 17 database software. It was found that UV lamp irradiation spectra not only affected the ability and speed of compound decomposition but also the type of decomposition intermediates. The largest number of intermediates was produced in water solutions irradiated by the TQ lamp. For example, during the photocatalytic decomposition of CBZ using the TQ lamp, five by-products were formed: 3-hydroxycarbamazepine, 10,11-dihydro-10-hydroxycarbamazepine, dihydrocarbamazepine-10,11-trans-diol, 9-acridone, and acridine. In contrast, the process conducted with the TQ-Z2 or TQ-Z3 lamp only produced three intermediates: 3-hydroxycarbamazepine, dihydrocarbamazepine-10,11-trans-diol, and acridine.
Furthermore, toxicological analysis indicated the toxic nature of some of the decomposition by-products. Results of the toxicological assessment for water samples after 60 min of photolysis and photocatalysis are presented in Table 1. Solutions were classified according to the toxicity classification of Mahugo-Santana et al. [5].

4. Conclusions

On the basis of the studies conducted on the photodecomposition of different types of micropollutants, it can be concluded that the radiation wavelengths emitted by UV lamps of the same power determines the intensity of micropollutant decomposition. The presence of TiO2 photocatalyst increased the decomposition of organic compounds regardless of the type of UV lamp used. Only in the case of BHT, TRI, and ODZ was an inverse relationship observed. GC-MS analysis indicated the generation of several micropollutant decomposition by-products. The highest number of intermediates was produced in water solutions irradiated by the TQ lamp. Toxicological analysis of post-processed water samples revealed that some of the newly formed intermediates had a toxic potential. This led to an increase in the toxicity of water samples after the UV irradiation process.

Author Contributions

E.K. conceived, designed, and performed the experiments; analyzed the data; and wrote the paper.

Acknowledgments

The studies were performed within the framework of the project founded by the Polish Ministry of Science and Higher Education.

Conflicts of Interest

The author declares no conflict of interest.

References

  1. Sillanpää, M.; Chaker Ncibi, M.; Matilainen, A. Advanced oxidation processes for the removal of natural organic matter from drinking water sources: A comprehensive review. J. Environ. Manag. 2018, 208, 56–76. [Google Scholar] [CrossRef] [PubMed]
  2. Gnanaprakasam, A.; Sivakumar, V.M.; Thirumarimurugan, M. Influencing Parameters in the Photocatalytic Degradation of Organic Effluent via Nanometal Oxide Catalyst: A Review. Indian J. Mater. Sci. 2015, 2015, 601827. [Google Scholar] [CrossRef]
  3. Kudlek, E. Decomposition of contaminants of emerging concern in advanced oxidation processes. Water 2017, 10, 955. [Google Scholar] [CrossRef]
  4. Kudlek, E.; Dudziak, M.; Bohdziewicz, J. Influence of inorganic ions and organic substances on the degradation of pharmaceutical compound in water matrix. Water 2016, 8, 532. [Google Scholar] [CrossRef]
  5. Mahugo Santana, C.; Sosa Ferrera, Z.; Torres Padron, M.E.; Santana Rodríguez, J.J. Methodologies for the extraction of phenolic compounds from environmental samples: New Approaches. Molecules 2009, 14, 298–320. [Google Scholar] [CrossRef] [PubMed]
Figure 1. Characteristic of radiation wavelengths emitted by the tested UV lamps: (a) TQ, (b) TQ-Z1, (c) TQ-Z2, (d) TQ-Z3. (Materials were from the supplier of Heraeus UV lamp reactors KENDROLAB Sp. z o.o.)
Figure 1. Characteristic of radiation wavelengths emitted by the tested UV lamps: (a) TQ, (b) TQ-Z1, (c) TQ-Z2, (d) TQ-Z3. (Materials were from the supplier of Heraeus UV lamp reactors KENDROLAB Sp. z o.o.)
Proceedings 16 00051 g001
Figure 2. Decomposition of compounds after 60 min of (a) photolysis and (b) photocatalysis process.
Figure 2. Decomposition of compounds after 60 min of (a) photolysis and (b) photocatalysis process.
Proceedings 16 00051 g002
Table 1. Toxicological assessment results after 60 min of photolysis and photocatalysis.
Table 1. Toxicological assessment results after 60 min of photolysis and photocatalysis.
Water SamplePhotolysisPhotocatalysis
TQTQ-Z1TQ-Z2TQ-Z3TQTQ-Z1TQ-Z2TQ-Z3
BE- 1--++++++
CBZ++++++++++++++++++++++++
ACR++++++++++++++++++++++
BHT++++----
CAF--------
TRI++++++++++++++++++++++++
TCS++++++++++++++++
ODZ++++++++++++++++
E2--------
EE2++++++++-+
EEME++--+---
P4++--+---
1 -—non toxic; +—low toxic; ++—toxic; +++—highly toxic.
Publisher’s Note: MDPI stays neutral with regard to jurisdictional claims in published maps and institutional affiliations.

Share and Cite

MDPI and ACS Style

Kudlek, E. Influence of UV Irradiation Spectra on the Formation of Micropollutant Decomposition By-Products during Heterogeneous Photocatalysis. Proceedings 2019, 16, 51. https://doi.org/10.3390/proceedings2019016051

AMA Style

Kudlek E. Influence of UV Irradiation Spectra on the Formation of Micropollutant Decomposition By-Products during Heterogeneous Photocatalysis. Proceedings. 2019; 16(1):51. https://doi.org/10.3390/proceedings2019016051

Chicago/Turabian Style

Kudlek, Edyta. 2019. "Influence of UV Irradiation Spectra on the Formation of Micropollutant Decomposition By-Products during Heterogeneous Photocatalysis" Proceedings 16, no. 1: 51. https://doi.org/10.3390/proceedings2019016051

APA Style

Kudlek, E. (2019). Influence of UV Irradiation Spectra on the Formation of Micropollutant Decomposition By-Products during Heterogeneous Photocatalysis. Proceedings, 16(1), 51. https://doi.org/10.3390/proceedings2019016051

Article Metrics

Back to TopTop