Sensing Features of Arc-induced Long Period Gratings †
Abstract
:1. Introduction
2. Results
2.1. Fabrication of the LPGs
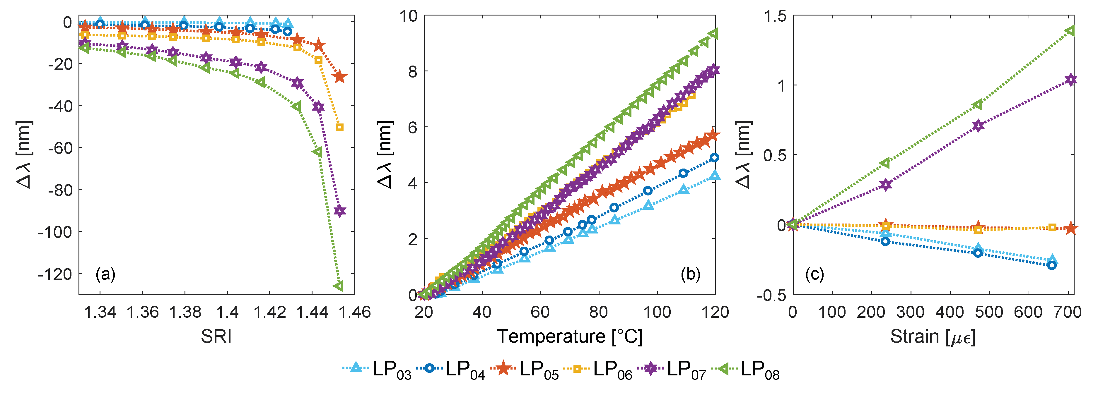
2.2. Characterization of the LPGs to SRI, temperature and strain
3. Conclusions
Author Contributions
Funding
Conflicts of Interest
References
- Rego, G. Arc-Induced Long Period Fiber Gratings. J. Sensors 2016, 2016, 1–14. [Google Scholar] [CrossRef]
- Esposito, F.; Ranjan, R.; Campopiano, S.; Iadicicco, A. Arc-Induced Long Period Gratings from Standard to Polarization-Maintaining and Photonic Crystal Fibers. Sensors 2018, 18, 918. [Google Scholar] [CrossRef] [PubMed]
- Stancălie, A.; Sporea, D.; Neguţ, D.; Esposito, F.; Ranjan, R.; Campopiano, S.; Iadicicco, A. Long Period Gratings in unconventional fibers for possible use as radiation dosimeter in high-dose applications. Sensors Actuators A: Phys. 2018, 271, 223–229. [Google Scholar] [CrossRef]
- Esposito, F.; Zotti, A.; Palumbo, G.; Zuppolini, S.; Consales, M.; Cutolo, A.; Borriello, A.; Campopiano, S.; Zarrelli, M.; Iadicicco, A. Liquefied Petroleum Gas Monitoring System Based on Polystyrene Coated Long Period Grating. Sensors 2018, 18, 1435. [Google Scholar] [CrossRef] [PubMed]
- Esposito, F.; Sansone, L.; Taddei, C.; Campopiano, S.; Giordano, M.; Iadicicco, A. Ultrasensitive biosensor based on long period grating coated with polycarbonate-graphene oxide multilayer. Sensors Actuators B: Chem. 2018, 274, 517–526. [Google Scholar]
- Bhatia, V. Applications of long-period gratings to single and multi-parameter sensing. Opt. Express 1999, 4, 457. [Google Scholar] [CrossRef] [PubMed]
- Shu, X.; Zhang, L.; Bennion, I. Sensitivity characteristics of long-period fiber gratings. J. Light. Technol. 2002, 20, 255–266. [Google Scholar]
- Esposito, F.; Srivastava, A.; Iadicicco, A.; Campopiano, S. Multi-parameter sensor based on single Long Period Grating in Panda fiber for the simultaneous measurement of SRI, temperature and strain. Opt. Laser Technol. 2019, 113, 198–203. [Google Scholar] [CrossRef]
- James, S.W.; Tatam, R.P. Optical fibre long-period grating sensors: characteristics and application. Meas. Sci. Technol. 2003, 14, 49. [Google Scholar] [CrossRef]
- Del Villar, I.; Arregui, F.J.; Lalanne, P. Optimization of sensitivity in Long Period Fiber Gratings with overlay deposition. Opt. Express 2005, 13, 56–69. [Google Scholar] [CrossRef] [PubMed]
- Colaco, C.; Caldas, P.; Del Villar, I.; Chibante, R.; Rego, G. Arc-Induced Long Period Fiber Gratings in the Dispersion Turning Points. J. Light. Technol. 2016, 34, 1. [Google Scholar] [CrossRef]
- Iadicicco, A.; Esposito, F.; Ranjan, R.; Campopiano, S. Experimental Study of the Refractive Index Sensitivity in Arc-induced Long Period Gratings. IEEE Photon- J. 2017, 9, 1–10. [Google Scholar]


| Period Λ [μm] | Mode | λres [nm] | SSRI @1.34 [nm/RIU] | SSRI @1.44 [nm/RIU] | SSRI @1.45 [nm/RIU] | ST [pm/°C] | Sε [pm/με] |
|---|---|---|---|---|---|---|---|
| 630 | LP03 | 1490.7 | −1.9 | −67.4 | - | 45.0 | −0.4 |
| 630 | LP04 | 1578.4 | −12.0 | −186.0 | - | 50.6 | −0.5 |
| 550 | LP05 | 1604.3 | −28.0 | −261.8 | −1498.6 | 58.1 | −0.1 |
| 470 | LP06 | 1584.0 | −28.8 | −598.4 | −3201.9 | 78.0 | −0.1 |
| 400 | LP07 | 1578.4 | −68.8 | −1149.7 | −4943.7 | 83.2 | 1.5 |
| 330 | LP08 | 1489.5 | −112.3 | −2155.8 | −6391.7 | 95.5 | 2.0 |
Publisher’s Note: MDPI stays neutral with regard to jurisdictional claims in published maps and institutional affiliations. |
© 2019 by the authors. Licensee MDPI, Basel, Switzerland. This article is an open access article distributed under the terms and conditions of the Creative Commons Attribution (CC BY) license (https://creativecommons.org/licenses/by/4.0/).
Share and Cite
Esposito, F.; Srivastava, A.; Campopiano, S.; Iadicicco, A. Sensing Features of Arc-induced Long Period Gratings. Proceedings 2019, 15, 29. https://doi.org/10.3390/proceedings2019015029
Esposito F, Srivastava A, Campopiano S, Iadicicco A. Sensing Features of Arc-induced Long Period Gratings. Proceedings. 2019; 15(1):29. https://doi.org/10.3390/proceedings2019015029
Chicago/Turabian StyleEsposito, Flavio, Anubhav Srivastava, Stefania Campopiano, and Agostino Iadicicco. 2019. "Sensing Features of Arc-induced Long Period Gratings" Proceedings 15, no. 1: 29. https://doi.org/10.3390/proceedings2019015029
APA StyleEsposito, F., Srivastava, A., Campopiano, S., & Iadicicco, A. (2019). Sensing Features of Arc-induced Long Period Gratings. Proceedings, 15(1), 29. https://doi.org/10.3390/proceedings2019015029