Synergistic Effect of Nanocrystalline SnO2 Sensitization by Bimetallic Au and Pd Modification via Ingle Step Flame Spray Pyrolysis Technique †
Abstract
:1. Introduction
2. Experimental
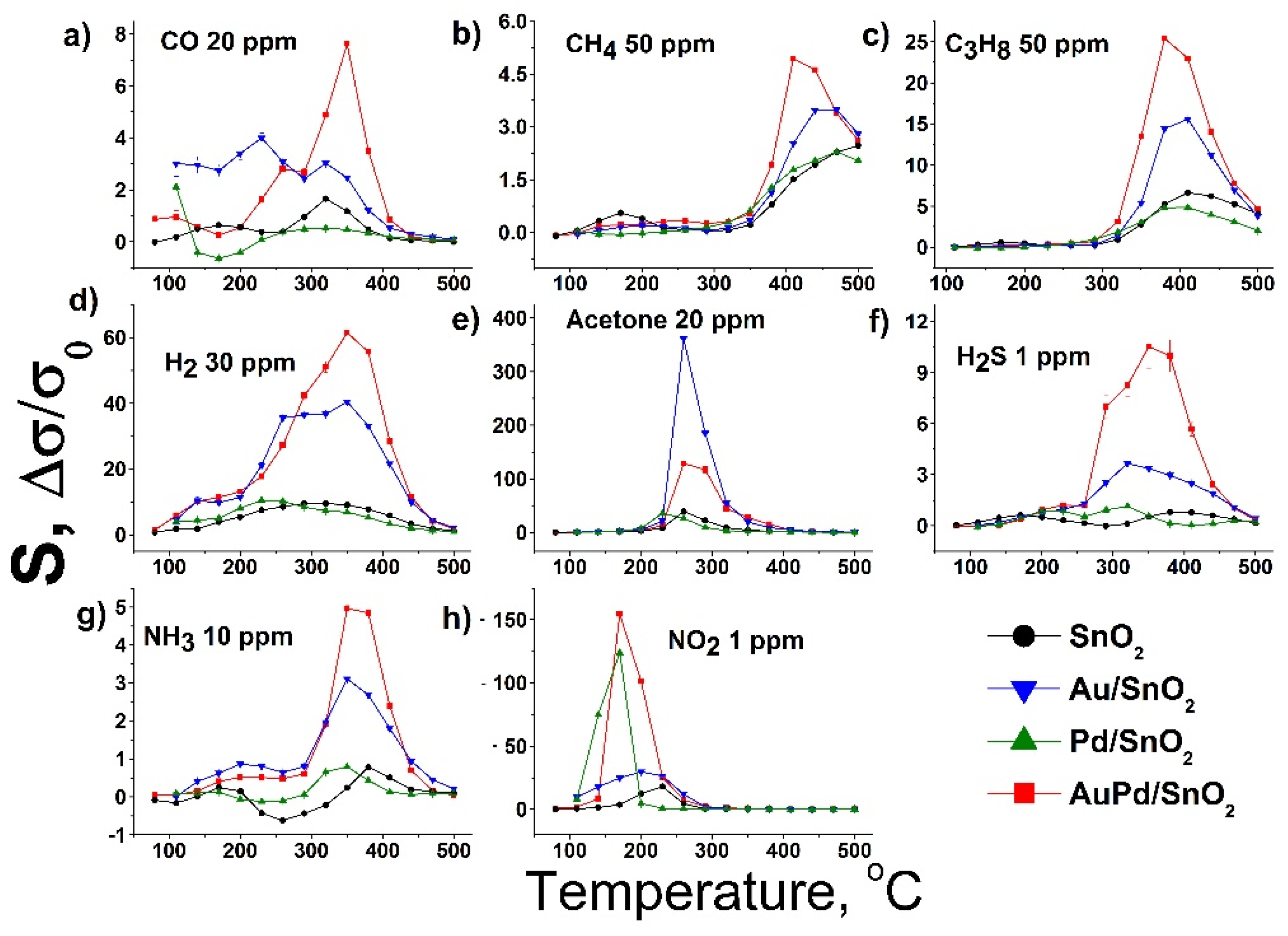
3. Results
4. Conclusions
Acknowledges
References
- Kutukov, P.; Rumyantseva, M.; Krivetskiy, V.; Filatova, D.; Batuk, M.; Hadermann, J.; Khmelevsky, N.; Aksenenko, A.; Gaskov, A. Influence of Mono- and Bimetallic PtOx, PdOx, PtPdOx Clusters on CO Sensing by SnO2 Based Gas Sensors. Nanomaterials 2018, 8, 917. [Google Scholar] [CrossRef] [PubMed]
- Kim, S.; Park, S.; Park, S.; Lee, C. Acetone sensing of Au and Pd-decorated WO3 nanorod sensors. Sens. Actuat. B Chem. 2015, 209, 180–185. [Google Scholar] [CrossRef]
- Li, G.J.; Cheng, Z.X.; Xiang, Q.; Yan, L.M.; Wang, X.H.; Xu, J.Q. Bimetal PdAu decorated SnO2 nanosheets based gas sensor with temperature-dependent dual selectivity for detecting formaldehyde and acetone. Sens. Actuat. B Chem. 2019, 283, 590–601. [Google Scholar] [CrossRef]
- Ma, R.-J.; Li, G.-D.; Zou, X.X.; Gao, R.Q.; Chen, H.; Zhao, X. Bimetallic Pt–Au nanocatalysts decorated In2O3 nests composed of ultrathin nanosheets for Type 1 diabetes diagnosis. Sens. Actuat. B Chem. 2018, 270, 247–255. [Google Scholar] [CrossRef]
- Fan, F.Y.; Zhang, J.J.; Li, J.; Zhang, N.; Hong, R.R.; Deng, X.C.; Tang, P.G.; Li, D.Q. Hydrogen sensing properties of Pt-Au bimetallic nanoparticles loaded on ZnO nanorods. Sens. Actuat. B Chem. 2017, 241, 895–903. [Google Scholar] [CrossRef]
- Mutinati, G.C.; Brunet, E.; Koeck, A.; Steinhauer, S.; Yurchenko, O.; Laubender, E.; Urban, G.; Siegert, J.; Rohracher, K.; Schrank, F.; et al. Optimization of CMOS Integrated Nanocrystalline SnO2 Gas Sensor Devices with Bimetallic Nanoparticles. Procedia Eng. 2014, 87, 787–790. [Google Scholar] [CrossRef]
- Madler, L.; Sahm, T.; Gurlo, A.; Grunwaldt, J.-D.; Barsan, N.; Weimar, U.; Pratsinis, S.E. Sensing low concentrations of CO using flame-spray-made Pt/SnO2 nanoparticles. J. Nanopart. Res. 2006, 8, 783–796. [Google Scholar] [CrossRef]

| Sample | Au load | Pd Load %, mol | ICP MS, %mol | d, nm | SBET, m2/g | |||
|---|---|---|---|---|---|---|---|---|
| № | Name | %, mass | % mol | Au | Pd | |||
| 1 | SnO2 | -- | -- | 14 | 52 | |||
| 2 | Au/SnO2 | 0.4 | 0.31 | 0.29 ± 0.02 | 10 | 70 | ||
| 3 | Pd/SnO2 | -- | -- | 0.31 | 0.29 ± 0.02 | 11 | 69 | |
| 4 | AuPd/SnO2 | 0.2 | 0.15 | 0.15 | 0.16 ± 0.01 | 0.15 ± 0.01 | 11 | 58 |
Publisher’s Note: MDPI stays neutral with regard to jurisdictional claims in published maps and institutional affiliations. |
© 2019 by the authors. Licensee MDPI, Basel, Switzerland. This article is an open access article distributed under the terms and conditions of the Creative Commons Attribution (CC BY) license (https://creativecommons.org/licenses/by/4.0/).
Share and Cite
Krivetskiy, V.; Zamanskiy, K.; Krotova, A. Synergistic Effect of Nanocrystalline SnO2 Sensitization by Bimetallic Au and Pd Modification via Ingle Step Flame Spray Pyrolysis Technique. Proceedings 2019, 14, 46. https://doi.org/10.3390/proceedings2019014046
Krivetskiy V, Zamanskiy K, Krotova A. Synergistic Effect of Nanocrystalline SnO2 Sensitization by Bimetallic Au and Pd Modification via Ingle Step Flame Spray Pyrolysis Technique. Proceedings. 2019; 14(1):46. https://doi.org/10.3390/proceedings2019014046
Chicago/Turabian StyleKrivetskiy, Valeriy, Konstantin Zamanskiy, and Alina Krotova. 2019. "Synergistic Effect of Nanocrystalline SnO2 Sensitization by Bimetallic Au and Pd Modification via Ingle Step Flame Spray Pyrolysis Technique" Proceedings 14, no. 1: 46. https://doi.org/10.3390/proceedings2019014046
APA StyleKrivetskiy, V., Zamanskiy, K., & Krotova, A. (2019). Synergistic Effect of Nanocrystalline SnO2 Sensitization by Bimetallic Au and Pd Modification via Ingle Step Flame Spray Pyrolysis Technique. Proceedings, 14(1), 46. https://doi.org/10.3390/proceedings2019014046

