Manipulating Quantum Many-Body Systems in the Presence of Controllable Dissipation
Abstract
:1. Introduction
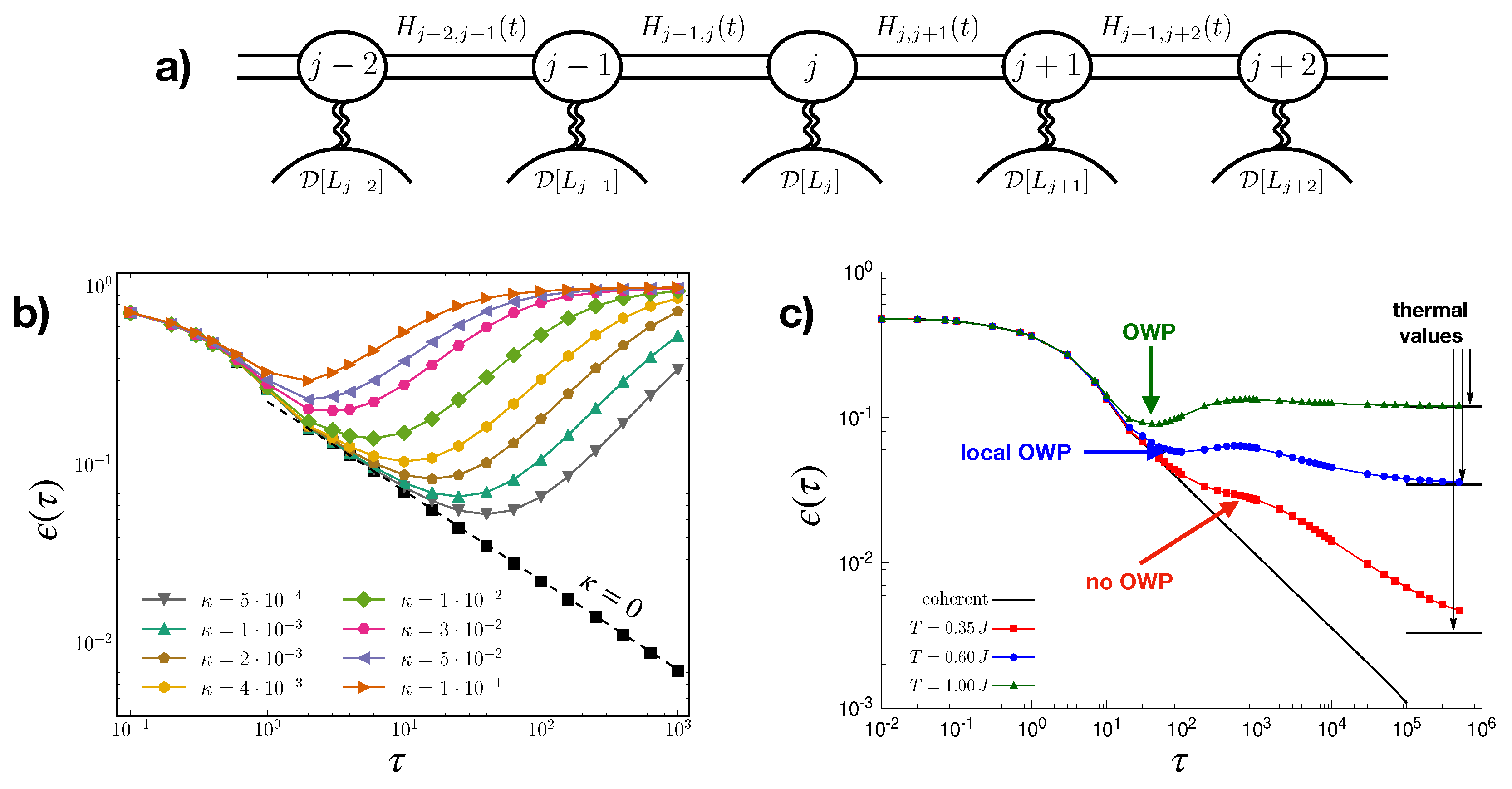
2. Model: A Driven-Dissipative Coupled-Cavity Array
3. Quantum Annealing in the Presence of Dissipation
4. Persistent Currents Induced via Dissipation Engineering
References
- Nature physics insight on quantum simulators. Nat. Phys. 2012, 8, No–4.
- Saffman, M.; Walker, T.G.; Mølmer, K. Quantum information with Rydberg atoms. Rev. Mod. Phys. 2010, 82, 2313. [Google Scholar] [CrossRef]
- Houck, A.A.; Türeci, H.E.; Koch, J. On-chip quantum simulation with superconducting circuits. Nat. Phys. 2012, 8, 292–299. [Google Scholar] [CrossRef]
- Farhi, E.; Goldstone, J.; Gutmann, S.; Lapan, J.; Lundgren, A.; Preda, D. A quantum adiabatic evolution algorithm applied to random instances of an NP-complete problem. Science 2001, 292, 472–475. [Google Scholar] [CrossRef]
- Santoro, G.E.; Martoňák, R.; Tosatti, E.; Car, R. Theory of Quantum Annealing of an Ising Spin Glass. Science 2002, 295, 2427–2430. [Google Scholar] [CrossRef]
- Dziarmaga, J. Dynamics of a quantum phase transition and relaxation to a steady state. Adv. Phys. 2010, 59, 1063–1089. [Google Scholar] [CrossRef]
- Fubini, A.; Falci, G.; Osterloh, A. Robustness of adiabatic passage trough a quantum phase transition. New J. Phys. 2007, 9, 134. [Google Scholar] [CrossRef]
- Patanè, D.; Silva, A.; Amico, L.; Fazio, R.; Santoro, G.E. Adiabatic dynamics in open quantum critical many-body systems. Phys. Rev. Lett. 2008, 101, 175701. [Google Scholar] [CrossRef]
- Keck, M.; Montangero, S.; Santoro, G.E.; Fazio, R.; Rossini, D. Dissipation in adiabatic quantum computers: lessons from an exactly solvable model. New J. Phys. 2017, 19, 113029. [Google Scholar] [CrossRef]
- Arceci, L.; Barbarino, S.; Rossini, D.; Santoro, G.E. Optimal working point in dissipative quantum annealing. Phys. Rev. B 2018, 98, 064307. [Google Scholar] [CrossRef]
- Diehl, S.; Micheli, A.; Kantian, A.; Kraus, B.; Büchler, H.P.; Zoller, P. Quantum States and Phases in Driven Open Quantum Systems with Cold Atoms. Nat. Phys. 2008, 4, 878. [Google Scholar] [CrossRef]
- Verstraete, F.; Wolf, M.M.; Cirac, J.I. Quantum computation, quantum state engineering, and quantum phase transitions driven by dissipation. Nat. Phys. 2009, 5, 633. [Google Scholar] [CrossRef]
- Bellomo, B.; De Pasquale, A.; Gualdi, G.; Marzolino, U. A tomographic approach to non-Markovian master equations. J. Phys. A: Math. Theor. 2010, 43, 395303. [Google Scholar] [CrossRef]
- Metelmann, A.; Clerk, A.A. Nonreciprocal photon transmission and amplification via reservoir engineering. Phys. Rev. X 2015, 5, 021025. [Google Scholar] [CrossRef]
- Ramanathan, A.; Wright, K.C.; Muniz, S.R.; Zelan, M.; Hill, W. T. , III; Lobb, C.J.; Helmerson, K.; Phillips, W.D.; Campbell, G.K. Superflow in a toroidal Bose-Einstein condensate: An atom circuit with a tunable weak link. Phys. Rev. Lett. 2011, 106, 130401. [Google Scholar] [CrossRef]
- Aghamalyan, D.; Cominotti, M.; Rizzi, M.; Rossini, D.; Hekking, F.; Minguzzi, A.; Kwek, L.-C.; Amico, L. Coherent superposition of current flows in an atomtronic quantum interference device. New J. Phys. 2015, 17, 045023. [Google Scholar] [CrossRef]
- Keck, M.; Rossini, D.; Fazio, R. Persistent currents by reservoir engineering. Phys. Rev. A 2018, 98, 053812. [Google Scholar] [CrossRef]
- Breuer, H.-P.; Petruccione, F. The Theory of Open Quantum Systems; Oxford University Press: New York, NY, USA, 2002. [Google Scholar]
- De Grandi, C.; Gritsev, V.; Polkovnikov, A. Quench dynamics near a quantum critical point. Phys. Rev. B 2010, 81, 012303. [Google Scholar] [CrossRef]
- De Grandi, C.; Gritsev, V.; Polkovnikov, A. Quench dynamics near a quantum critical point: Application to the sine-Gordon model. Phys. Rev. B 2010, 81, 224301. [Google Scholar] [CrossRef]
- Dutta, A.; Rahmani, A.; Del Campo, A. Anti-Kibble-Zurek behavior in crossing the quantum critical point of a thermally isolated system driven by a noisy control field. Phys. Rev. Lett. 2016, 117, 080402. [Google Scholar] [CrossRef]
- Nalbach, P.; Vishveshwara, S.; Clerk, A.A. Quantum Kibble-Zurek physics in the presence of spatially correlated dissipation. Phys. Rev. B 2015, 92, 014306. [Google Scholar] [CrossRef]
- Tomadin, A.; Giovannetti, V.; Fazio, R.; Gerace, D.; Carusotto, I.; Türeci, H.E.; Imamoglu, A. Signatures of the superfluid-insulator phase transition in laser-driven dissipative nonlinear cavity arrays. Phys. Rev. A 2010, 81, 061801. [Google Scholar] [CrossRef]
- Jin, J.; Biella, A.; Viyuela, O.; Mazza, L.; Keeling, J.; Fazio, R.; Rossini, D. Cluster Mean-Field Approach to the Steady-State Phase Diagram of Dissipative Spin Systems. Phys. Rev. X 2016, 6, 031011. [Google Scholar] [CrossRef]
- Verstraete, F.; García-Ripoll, J.J.; Cirac, J.I. Matrix product density operators: simulation of finite-temperature and dissipative systems. Phys. Rev. Lett. 2004, 93, 207204. [Google Scholar] [CrossRef]
- Zwolak, M.; Vidal, G. Mixed-state dynamics in one-dimensional quantum lattice systems: A time-dependent superoperator renormalization algorithm. Phys. Rev. Lett. 2004, 93, 207205. [Google Scholar] [CrossRef] [PubMed]


Publisher’s Note: MDPI stays neutral with regard to jurisdictional claims in published maps and institutional affiliations. |
© 2018 by the author. Licensee MDPI, Basel, Switzerland. This article is an open access article distributed under the terms and conditions of the Creative Commons Attribution (CC BY) license (https://creativecommons.org/licenses/by/4.0/).
Share and Cite
Rossini, D. Manipulating Quantum Many-Body Systems in the Presence of Controllable Dissipation . Proceedings 2019, 12, 8. https://doi.org/10.3390/proceedings2019012008
Rossini D. Manipulating Quantum Many-Body Systems in the Presence of Controllable Dissipation . Proceedings. 2019; 12(1):8. https://doi.org/10.3390/proceedings2019012008
Chicago/Turabian StyleRossini, Davide. 2019. "Manipulating Quantum Many-Body Systems in the Presence of Controllable Dissipation " Proceedings 12, no. 1: 8. https://doi.org/10.3390/proceedings2019012008
APA StyleRossini, D. (2019). Manipulating Quantum Many-Body Systems in the Presence of Controllable Dissipation . Proceedings, 12(1), 8. https://doi.org/10.3390/proceedings2019012008

