Characterizing Polycyclic Aromatic Hydrocarbons in Smoked Chicken from Ilorin and Implications for Human Health †
Abstract
1. Introduction
2. Methodology
2.1. Study Area and Sampling Points
2.1.1. NSPRI Processed Chicken Sample
2.1.2. Street-Sampled Chicken
2.2. Sample Preparation, Extraction, and Detection of PAHs
2.2.1. Extraction and Cleanup
2.2.2. Gas Chromatography Analysis
2.2.3. PAH Classification
2.2.4. Method Validation
2.2.5. Health Risk Assessment
3. Statistical Analysis
4. Results of Validation Method, Total Polyaromatic Hydrocarbons, Benzo (α) Pyrene, and the Four Polyaromatic Hydrocarbons
4.1. Validation and Quality Control of PAH Analysis
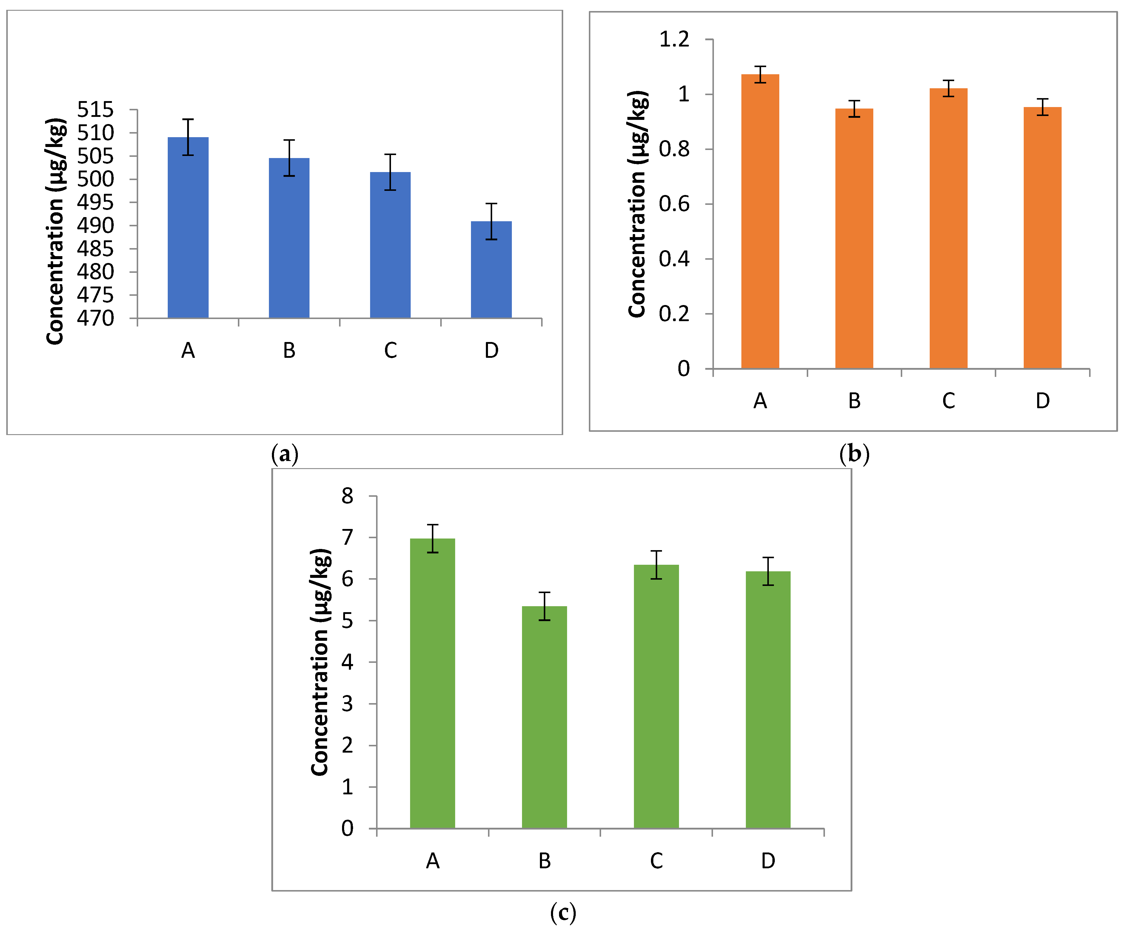
4.2. Total Polyaromatic Hydrocarbons, Benzo (α) pyrene, and the Four Polyaromatic Hydrocarbons
4.3. Assessment of Carcinogenic Risk Indices
5. Discussion and Health Risk Implications
6. Conclusions
7. Limitations and Future Directions
Author Contributions
Funding
Institutional Review Board Statement
Informed Consent Statement
Data Availability Statement
Acknowledgments
Conflicts of Interest
References
- Tongo, I.; Ezemonye, L.; Akpeh, K. Distribution, characterization, and human health risk assessment of polycyclic aromatic hydrocarbons (PAHs) in Ovia River, Southern Nigeria. Environ. Monit. Assess. 2017, 189, 247. [Google Scholar] [CrossRef] [PubMed]
- Rigling, M.; Höckmeier, L.; Leible, M.; Lüthy, M.; Gasser, C.A.; Morasch, B.; Schloter, M.; Spörri, C.; Graf, F. Characterization of the aroma profile of food smoke at controllable pyrolysis temperatures. Separations 2023, 10, 176. [Google Scholar] [CrossRef]
- Chen, Y.W.; Cheng, Y.H.; Hsu, C.Y. Characterization of the sources and health risks of polycyclic aromatic hydrocarbons in PM2.5 and their relationship with black carbon: A case study in northern Taiwan. Environ. Pollut. 2023, 336, 122427. [Google Scholar] [CrossRef] [PubMed]
- International Agency for Research on Cancer. Some Polycyclic Aromatic Hydrocarbons, Coal Tar Pitches, and Some Related Exposures; IARC Monographs on the Evaluation of Carcinogenic Risks to Humans; International Agency for Research on Cancer: Lyon, France, 2022; Volume 133, Available online: https://publications.iarc.fr/Book-And-Report-Series/Iarc-Monographs-On-The-Identification-Of-Carcinogenic-Hazards-To-Humans (accessed on 8 November 2024).
- Onyeaka, H.; Ekwebelem, O.C.; Eze, U.A.; Onwuka, Q.I.; Aleke, J.; Nwaiwu, O.; Chionuma, J.O. Improving Food Safety Culture in Nigeria: A Review of Practical Issues. Foods 2021, 10, 1878. [Google Scholar] [CrossRef] [PubMed]
- Joint FAO/WHO Expert Committee on Food Additives (JECFA). Evaluation of Certain Food Additives and Contaminants; WHO Technical Report Series No. 1021; World Health Organization: Geneva, Switzerland, 2021; Available online: https://www.who.int/publications/i/item/9789240054585 (accessed on 14 May 2025).
- Wang, X.; Li, Y.; Chen, Z.; Liu, J.; Zhang, Y. Advancements in Analytical Techniques for Polycyclic Aromatic Hydrocarbons in Environmental Matrices. Anal. Chem. 2022, 94, 5678–5689. [Google Scholar] [CrossRef]
- Otoo, E.A.; Ocloo, F.C.K.; Appiah, V.; Nuviadenu, C.; Asamoah, A. Reduction of polycyclic aromatic hydrocarbons concentrations in smoked guinea fowl (Numida meleagris) meat using gamma irradiation. CyTA J. Food. 2022, 20, 343–354. [Google Scholar] [CrossRef]
- Coroian, C.O.; Coroian, A.; Becze, A.; Miresan, V.; Pop, F.A.; Cozma, A.; Vodnar, D.C. Polycyclic aromatic hydrocarbons (PAHs) occurrence in traditionally smoked chicken, turkey, and duck meat. Agriculture 2023, 13, 57. [Google Scholar] [CrossRef]
- Şahin, Ş.; Ulusoy, H.; Alemdar, S.; Erdogan, S.; Agaoglu, S. The presence of polycyclic aromatic hydrocarbons (PAHs) in grilled beef, chicken, and fish by considering dietary exposure and risk assessment. Food Sci. Anim. Resour. 2020, 40, 675. [Google Scholar] [CrossRef] [PubMed]
- Zhen, H.; Zhang, F.; Cheng, H.; Hu, F.; Jia, Y.; Hou, Y.; Shang, M.; Yu, H.; Jiang, M. Association of Polycyclic Aromatic Hydrocarbons Exposure with Child Neurodevelopment and Adult Emotional Disorders: A Meta-Analysis Study. Ecotoxicol. Environ. Saf. 2023, 255, 114770. [Google Scholar] [CrossRef] [PubMed]
- Wang, L.; Zhang, S.; Wang, L.; Li, Y.; Zhang, H. Concentration and risk evaluation of polycyclic aromatic hydrocarbons in urban soil in the typical semi-arid city of Xi’an in Northwest China. Int. J. Environ. Res. Public Health 2018, 15, 607. [Google Scholar] [CrossRef] [PubMed]
- Warind, J.; Ahmad, N.; Noor, N. Profiling of polycyclic aromatic hydrocarbons in traditional smoked foods: A comprehensive review of sampling, analysis, levels, and health risk assessment. Food Control 2021, 127, 108123. [Google Scholar]
- Mohammed, A.B.; Rahman, M.S.; Sarker, M.R. Polycyclic aromatic hydrocarbons (PAHs) in traditionally processed fish and meat products from Bangladesh: A comprehensive food safety assessment. Food Control 2021, 124, 107918. [Google Scholar]
- Seyda, A.; Yilmaz, I.; Meral, R. Investigation of polycyclic aromatic hydrocarbons content in commercial smoked meat and fish products. Food Sci. Technol. Int. 2020, 26, 751–762. [Google Scholar]
- European Commission. Commission Regulation (EU) 2021/1317 of 9 August 2021 amending Regulation (EC) No 1881/2006 as regards maximum levels of lead in certain foodstuffs. Off. J. Eur. Union. 2021, L285, 1–4. [Google Scholar]
- Onopiuk, A.; Kołodziejczak, K.; Szpicer, A.; Wojtasik-Kalinowska, I. Polycyclic aromatic hydrocarbons in grilled meat products: Critical review. Int. J. Food Sci. Technol. 2021, 56, 2215–2227. [Google Scholar]












| S/N | PAH | LOD (mg/L) | LOQ (mg/L) |
|---|---|---|---|
| 1. | Naphthalene | 0.0000023 ± 0.0000001 | 0.0000015 ± 0.0000001 |
| 2. | Acenaphthylene | 0.0000034 ± 0.0000002 | 0.0000025 ± 0.0000001 |
| 3. | Acenaphthene | 0.0000030 ± 0.0000001 | 0.0000021 ± 0.0000001 |
| 4. | Fluorene | 0.0000026 ± 0.0000001 | 0.0000017 ± 0.0000001 |
| 5. | Phenanthrene | 0.0000041 ± 0.0000002 | 0.0000032 ± 0.0000002 |
| 6. | Anthracene | 0.0000084 ± 0.0000004 | 0.0000052 ± 0.0000003 |
| 7. | Fluoranthene | 0.0000091 ± 0.0000005 | 0.0000063 ± 0.0000003 |
| 8. | Pyrene | 0.0000075 ± 0.0000004 | 0.0000049 ± 0.0000002 |
| 9. | Benzo(α)anthracene | 0.0000069 ± 0.0000003 | 0.0000044 ± 0.0000002 |
| 10. | Chrysene | 0.0000042 ± 0.0000002 | 0.0000036 ± 0.0000002 |
| 11. | Benzo(β)fluoranthene | 0.0000066 ± 0.0000003 | 0.0000039 ± 0.0000002 |
| 12. | Benzo(κ)fluoranthene | 0.0000033 ± 0.0000002 | 0.0000022 ± 0.0000001 |
| 13. | Benzo(α)pyrene | 0.0000052 ± 0.0000003 | 0.0000039 ± 0.0000002 |
| 14. | Indeno(1,2,3)pery-lene | 0.0000036 ± 0.0000002 | 0.0000028 ± 0.0000001 |
| 15. | Dibenzo(α,h)anthracene | 0.0000014 ± 0.0000001 | 0.0000011 ± 0.0000001 |
| 16. | Benzo(g,h,i)perylene | 0.0000014 ± 0.0000001 | 0.0000012 ± 0.0000001 |
| Source of Variation | Degrees of Freedom (df) | Sum of Squares (SS) | Mean Square (MS) | F-Statistic | p-Value |
|---|---|---|---|---|---|
| Between Groups | 15 | 1.23 × 10−10 | 8.20 × 10−12 | 82.0 | <0.0001 |
| Within Groups | 32 | 3.20 × 10−12 | 1.00 × 10−13 | - | - |
| Total | 47 | 1.26 × 10−10 | - | - | - |
Disclaimer/Publisher’s Note: The statements, opinions and data contained in all publications are solely those of the individual author(s) and contributor(s) and not of MDPI and/or the editor(s). MDPI and/or the editor(s) disclaim responsibility for any injury to people or property resulting from any ideas, methods, instructions or products referred to in the content. |
© 2025 by the authors. Licensee MDPI, Basel, Switzerland. This article is an open access article distributed under the terms and conditions of the Creative Commons Attribution (CC BY) license (https://creativecommons.org/licenses/by/4.0/).
Share and Cite
Nwaehujor, I.; Badmos, F.; Ige, M.; Ahmed, T.; Ariyo, D.; Atanda, S.; Okunlade, A.; Adediji, A.; Sanni, L. Characterizing Polycyclic Aromatic Hydrocarbons in Smoked Chicken from Ilorin and Implications for Human Health. Proceedings 2025, 118, 11. https://doi.org/10.3390/proceedings2025118011
Nwaehujor I, Badmos F, Ige M, Ahmed T, Ariyo D, Atanda S, Okunlade A, Adediji A, Sanni L. Characterizing Polycyclic Aromatic Hydrocarbons in Smoked Chicken from Ilorin and Implications for Human Health. Proceedings. 2025; 118(1):11. https://doi.org/10.3390/proceedings2025118011
Chicago/Turabian StyleNwaehujor, Idorenyin, Fatimah Badmos, Mercy Ige, Tawakalitu Ahmed, Damilola Ariyo, Saburi Atanda, Adijat Okunlade, Adetutu Adediji, and Lateef Sanni. 2025. "Characterizing Polycyclic Aromatic Hydrocarbons in Smoked Chicken from Ilorin and Implications for Human Health" Proceedings 118, no. 1: 11. https://doi.org/10.3390/proceedings2025118011
APA StyleNwaehujor, I., Badmos, F., Ige, M., Ahmed, T., Ariyo, D., Atanda, S., Okunlade, A., Adediji, A., & Sanni, L. (2025). Characterizing Polycyclic Aromatic Hydrocarbons in Smoked Chicken from Ilorin and Implications for Human Health. Proceedings, 118(1), 11. https://doi.org/10.3390/proceedings2025118011

