Can Baryon Stopping Be Understood within a Hadronic Transport Approach †
Abstract
:1. Introduction
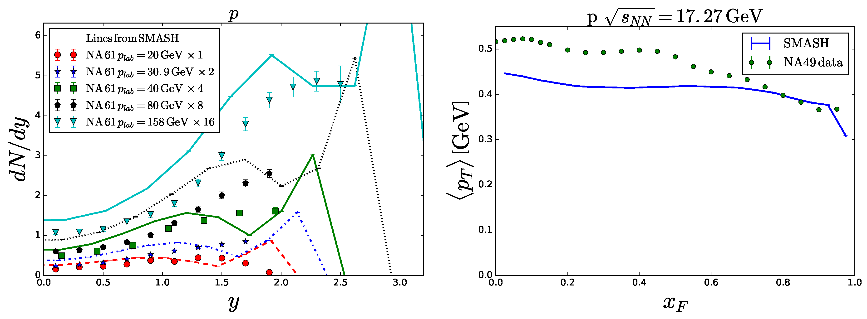
2. Proton-Proton Collisions
3. Heavy Ion Collisions
Funding
Acknowledgments
References
- Blume, C. Recent results from the NA49 experiment. J. Phys. G 2008, 35, 044004. [Google Scholar] [CrossRef]
 - Shen, C.; Schenke, B. Dynamical initial state model for relativistic heavy-ion collisions. Phys. Rev. C 2018, 97, 024907. [Google Scholar] [CrossRef]
 - Du, L.; Heinz, U.; Vujanovic, G. Hybrid model with dynamical sources for heavy-ion collisions at BES energies. Nucl. Phys. A 2018, 982, 407–410. [Google Scholar] [CrossRef]
 - Weil, J.; Steinberg, V.; Staudenmaier, J.; Pang, L.G.; Oliinychenko, D.; Mohs, J.; Kretz, M.; Kehrenberg, T.; Goldschmidt, A.; Bäuchle, B.; et al. Particle production and equilibrium properties within a new hadron transport approach for heavy-ion collisions. Phys. Rev. C 2016, 94, 054905. [Google Scholar] [CrossRef]
 - Sjöstrand, T.; Ask, S.; Christiansen, J.R.; Corke, R.; Desai, N.; Ilten, P.; Mrenna, S.; Prestel, S.; Rasmussen, C.O.; Skands, P.Z. An Introduction to PYTHIA 8.2. Comput. Phys. Commun. 2015, 191, 159–177. [Google Scholar] [CrossRef]
 - Bass, S.A.; Belkacem, M.; Bleicher, M.; Brandstetter, M.; Bravina, L.; Ernst, C.; Gerland, L.; Hofmann, M.; Hofmann, S.; Konopka, J.; et al. Microscopic models for ultrarelativistic heavy ion collisions. Prog. Part. Nucl. Phys. 1998, 41, 255–369. [Google Scholar] [CrossRef]
 - Bleicher, M.; Zabrodin, E.; Spieles, C.; Bass, S.A.; Ernst, C.; Soff, S.; Bravina, L.; Belkacem, M.; Weber, H.; Stöcker, H.; et al. Relativistic hadron hadron collisions in the ultrarelativistic quantum molecular dynamics model. J. Phys. G 1999, 25, 1859–1896. [Google Scholar] [CrossRef]
 - Aduszkiewicz, A.; Ali, Y.; Andronov, E.; Antićić, T.; Baatar, B.; Baszczyk, M.; Bhosale, S.; Blondel, A.; Bogomilov, M.; Brandin, A.; et al. Measurements of π± , K± , p and spectra in proton-proton interactions at 20, 31, 40, 80 and 158 GeV/c with the NA61/SHINE spectrometer at the CERN SPS. Eur. Phys. J. C 2017, 77, 671. [Google Scholar] [CrossRef]
 - Alt, C.; Baatar, B.; Barna, D.; Barr, G.; Bartke, J.; Betev, L.; Białkowska, H.; Blume, C.; Boimska, B.; Bracinik, J.; et al. Inclusive production of charged pions in p+p collisions at 158-GeV/c beam momentum. Eur. Phys. J. C 2006, 45, 343–381. [Google Scholar] [CrossRef]
 - Andersson, B.; Gustafson, G.; Ingelman, G.; Sjostrand, T. Parton Fragmentation and String Dynamics. Phys. Rep. 1983, 97, 31–145. [Google Scholar] [CrossRef]
 - Anticic, T.; Baatar, B.; Barna, D.; Bartke, J.; Beck, H.; Betev, L.; Białkowska, H.; Blume, C.; Bogusz, M.; Boimska, B.; et al. Centrality dependence of proton and antiproton spectra in Pb+Pb collisions at 40A GeV and 158A GeV measured at the CERN SPS. Phys. Rev. C 2011, 83, 014901. [Google Scholar] [CrossRef]
 - Petersen, H.; Bleicher, M.; Bass, S.A.; Stocker, H. UrQMD v2.3: Changes and Comparisons. arXiv 2008, arXiv:0805.0567. [Google Scholar]
 


© 2019 by the authors. Licensee MDPI, Basel, Switzerland. This article is an open access article distributed under the terms and conditions of the Creative Commons Attribution (CC BY) license (http://creativecommons.org/licenses/by/4.0/).
Share and Cite
Mohs, J.; Ryu, S.; Elfner, H. Can Baryon Stopping Be Understood within a Hadronic Transport Approach. Proceedings 2019, 10, 2. https://doi.org/10.3390/proceedings2019010002
Mohs J, Ryu S, Elfner H. Can Baryon Stopping Be Understood within a Hadronic Transport Approach. Proceedings. 2019; 10(1):2. https://doi.org/10.3390/proceedings2019010002
Chicago/Turabian StyleMohs, Justin, Sangwook Ryu, and Hannah Elfner. 2019. "Can Baryon Stopping Be Understood within a Hadronic Transport Approach" Proceedings 10, no. 1: 2. https://doi.org/10.3390/proceedings2019010002
APA StyleMohs, J., Ryu, S., & Elfner, H. (2019). Can Baryon Stopping Be Understood within a Hadronic Transport Approach. Proceedings, 10(1), 2. https://doi.org/10.3390/proceedings2019010002
        
