Energy Estimation for Electret Harvester with Nonlinear Spring †
Abstract
:1. Introduction
2. Materials and Methods
2.1. A Design and Simulation for Non-linear Resonator with Bi-stbale
2.1.1. Bi-Stable Behavior
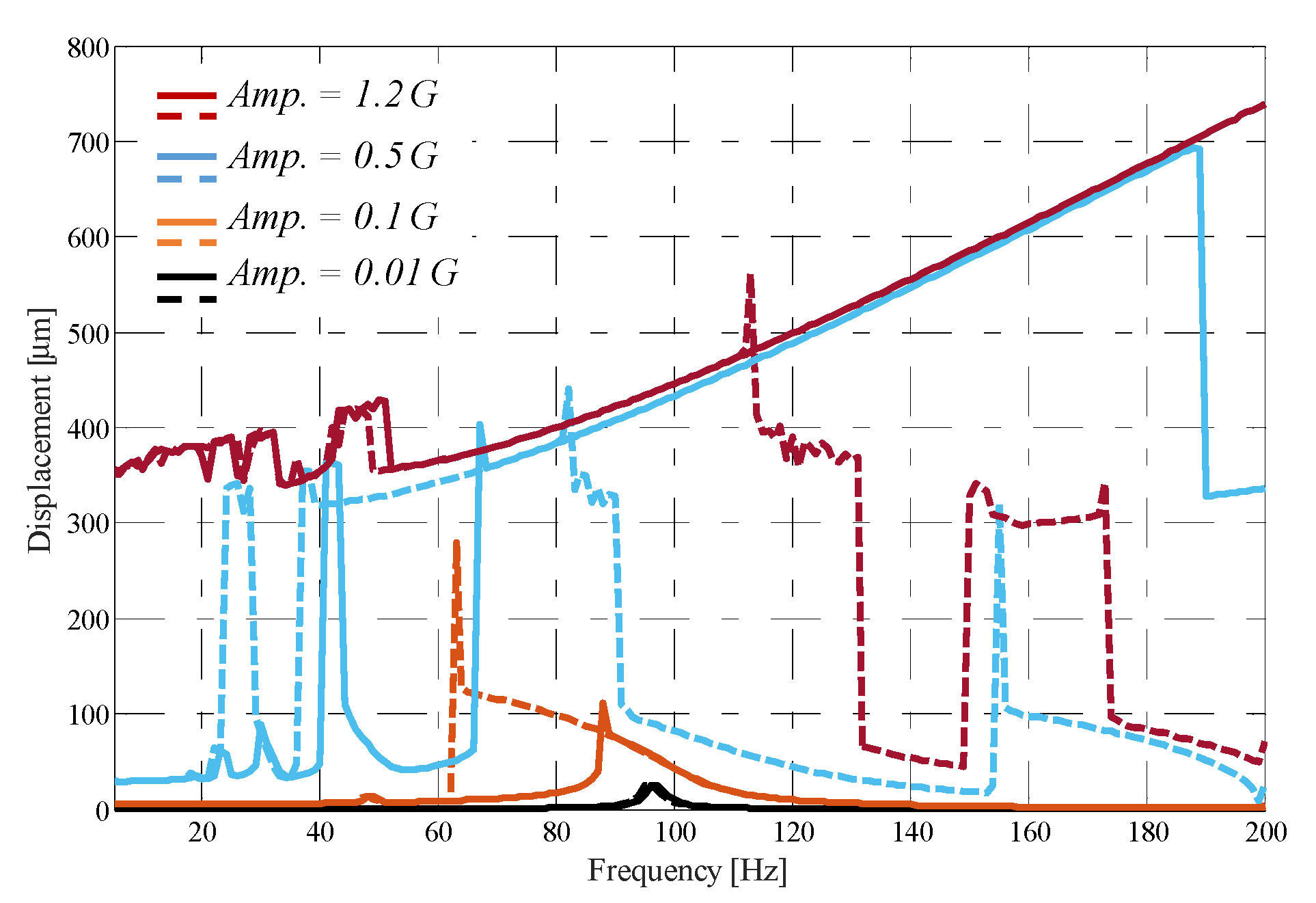
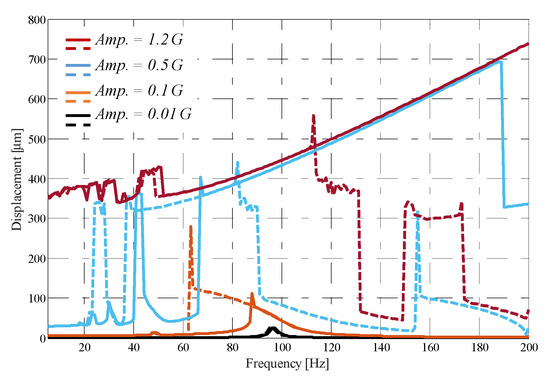
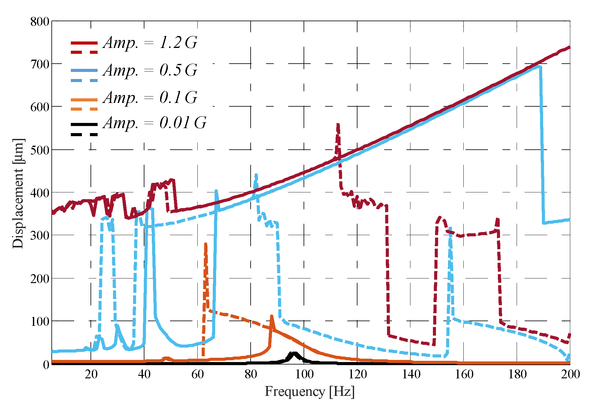
2.1.2. Analysis of Bi-Stable Motion by Finite Element Method (FEM), MATLAB, and SIMULINK
3. Results
3.1. Electrical Power Estimation of Our Bi-Stable Electret-Based Electrostatic Energy Harvester
3.1.1. Equivalent Circuit for Electrostatic Harvester
3.1.2. Comparison between Linear and Bi-Stable Harvesters Electrical Power Outputs
3.1.3. Comparison of Electrical Power Frequency Response between Linear and Bi-Stable Harvesters
4. Conclusions
Conflicts of Interest
References
- Shaikh, F.K.; Zeadallyc, S. Energy harvesting in wireless sensor networks. J. Renew. Sustain. Energy Rev. 2016, 55, 1041–1054. [Google Scholar] [CrossRef]
- Iannacci, J. Microsystem based Energy Harvesting (EH-MEMS): Powering pervasivity of the Internet of Things (IoT)—A review with focus on mechanical vibrations. J. King Saud Univ. 2017. [Google Scholar] [CrossRef]
- Yamamoto, K.; Fujita, T.; Badel, A.; Formosa, F.; Kanda, K.; Maenaka, K. Vibration Energy Harvester with Bi-stable Curved Beam Spring Offset by Gravitational Acceleration. J. Phys. Conf. Ser. 2015, 660, 012127. [Google Scholar] [CrossRef]
- Liu, W.Q.; Badel, A.; Formosa, F.; Wu, Y.P.; Agbossou, A. Novel piezoelectric bistable oscillator architecture for wideband vibration energy harvesting. J. Smart Mater. Struct. 2013, 22, 035013. [Google Scholar] [CrossRef]
- Miwatani, N.; Fujita, T.; Kitagawa, Y.; Kanda, K.; Maenaka, K. Design Improvement for Preventing Discharge during Fabrication of Electrostatic Energy Harvester. J. Phys. Conf. Ser. 2016, 773, 012117. [Google Scholar] [CrossRef]







| Publisher’s Note: MDPI stays neutral with regard to jurisdictional claims in published maps and institutional affiliations. | 
© 2017 by the authors. Licensee MDPI, Basel, Switzerland. This article is an open access article distributed under the terms and conditions of the Creative Commons Attribution (CC BY) license (https://creativecommons.org/licenses/by/4.0/).
Share and Cite
Yamamoto, K.; Fujita, T.; Badel, A.; Formosa, F.; Kanda, K.; Maenaka, K. Energy Estimation for Electret Harvester with Nonlinear Spring. Proceedings 2017, 1, 585. https://doi.org/10.3390/proceedings1040585
Yamamoto K, Fujita T, Badel A, Formosa F, Kanda K, Maenaka K. Energy Estimation for Electret Harvester with Nonlinear Spring. Proceedings. 2017; 1(4):585. https://doi.org/10.3390/proceedings1040585
Chicago/Turabian StyleYamamoto, K., T. Fujita, A. Badel, F. Formosa, K. Kanda, and K. Maenaka. 2017. "Energy Estimation for Electret Harvester with Nonlinear Spring" Proceedings 1, no. 4: 585. https://doi.org/10.3390/proceedings1040585
APA StyleYamamoto, K., Fujita, T., Badel, A., Formosa, F., Kanda, K., & Maenaka, K. (2017). Energy Estimation for Electret Harvester with Nonlinear Spring. Proceedings, 1(4), 585. https://doi.org/10.3390/proceedings1040585
 
        
