Next Article in Journal
Carbon Dots and Fluorescein: The Ideal FRET Pair for the Fabrication of a Precise and Fully Reversible Ammonia Sensor
Previous Article in Journal
Integration and Bio-Functionalization of Vertically Aligned Carbon Nanotube Forests on High Frequency AlN Gravimetric Sensors
 
 
Font Type:
Arial Georgia Verdana
Font Size:
Aa Aa Aa
Line Spacing:
Column Width:
Background:
Proceeding Paper

Conducting Polymers for Ammonia Sensing: Electrodeposition, Hybrid Materials and Heterojunctions †

ICMUB, UMR CNRS 6302, Université de Bourgogne, 9 av. A. Savary, 21000 Dijon, France
*
Author to whom correspondence should be addressed.
Presented at the Eurosensors 2017 Conference, Paris, France, 3–6 September 2017.
Proceedings 2017, 1(4), 480; https://doi.org/10.3390/proceedings1040480
Published: 7 August 2017
(This article belongs to the Proceedings of Proceedings of Eurosensors 2017, Paris, France, 3–6 September 2017)

Abstract

Polyaniline (PANI) with electrodonating and electrowithdrawing substituents were electrodeposited and studied as sensing materials in resistors and heterojunctions. Whereas the dimethoxyaniline leads to a highly conductive material, the tetrafluoroaniline leads to a poor conducting polymer. However, this latter was used in heterojunctions, associated with a highly conductive material, the lutetium bisphthalocyanine LuPc2. Elsewhere, hybrid materials combining polypyrrole (PPy) with ionic macrocycles as counterions were also electrosynthesized and used as sensing material in resistors, for the detection of ammonia. They exhibit a higher sensitivity compared to PPy prepared with small counterions, with a stable response in a broad range of relative humidity.

1. Motivation

A strong demand exists for gas sensors operating at low temperature and prepared with low energy processes. Thus, molecular materials, including polymeric materials that can be deposited by solution processing, are good candidates. They can also be used to prepare hybrid materials when associated with carbonaceous or inorganic compounds. The properties of the obtained materials, e.g., morphology, roughness and specific surface, hydrophilicity or hydrophobicity and eventually their optical and electronic properties can thus be tuned to optimize their sensing properties. Among solution processing technologies, electrodeposition presents clear advantages, for example when different materials need to be deposited on different electrodes located on the same substrate.
The electronic properties of polyaniline derivatives [1] are highly dependent on the nature of the substituents on the aniline ring. Numerous studies have focused on the properties of monofluorinated derivatives [2], but only a few on the fully fluorinated polyaniline (PolyTetraFluoroAniline PTFA). The first aim of our work was to carry out a complete study of the PTFA polymer, from its electrosynthesis to its use as an active material in gas sensors. The second one was to study the interest of incorporating macrocyclic counteranions on the properties of another conducting polymer, namely polypyrrole (PPy). We prepared PPy—metallophthalocyanine complexes hybrid materials by electrosynthesis and by the layer-by-layer technique.

2. Experimental

The electropolymerization of PTFA was carried out by cyclic voltammetry of the 2,3,5,6-tetrafluoraniline, (TFA) in an acid medium, on a carbon electrode (Figure 1). The voltamperogram shows an important oxidation peak at 1.2 V that is weakened over the cycles. It is attributed to the oxidation of the monomer during the polymerization reaction. The redox system centered at 0.6 V that becomes more and more irreversible over the cycles corresponds to the polymer. The increase of the irreversibility is due to the passivation of the active surface of the electrode by the polymer, which is a first indication of the poor conductivity of the PTFA. Then, PTFA was also deposited by chonoamperometry at 1.4 V from a 50 mM TFA solution in HClO4 2 M, to cover indium tin oxide (ITO) interdigitated electrodes spaced by 70 m. A 50 nm—thick LuPc2 film was then deposited by evaporation under secondary vacuum, leading to a double lateral heterojunction with a chain ITO/PTFA/LuPc2/PTFA/ITO (Figure 2).
Electrodeposited polypyrrole-sulfonated cobalt phthalocyanine hybrid material (PPy/s-CoPc) was obtained either by potentiodynamic deposition using cyclic voltammetry or by potentiostatic deposition using chronocoulometry [3]. The cyclic voltammetry experiments were carried out on platinum electrodes by scanning the potential range from +0.1 to +1.5 V/SCE at a scan rate of 75 mV·s−1. Contrarily to PTFA, for PPy the oxidation current associated to the polymer system increases over cycles, as expected for a conducting polymer, as it is for PANI. The electrodeposition of PPy/s-CoPc was also achieved on fluorine doped tin oxide (FTO) interdigitated electrodes, by applying a constant potential of +1.0 V/SCE till a continuous film cover all the substrate, allowing for further conductivity measurements between the two FTO combs. This device is a resistor (Figure 2). We also prepared PPy/phthalocyanine resistors starting from chemically synthesized PPy with chloride counteranion, by a layer-by-layer deposition, with the tetrasulfonated copper phthalocyanine (CuTsPc) leading to PPy/TsPc resistors [4].

3. Results and Discussion

3.1. Electrosynthesis

First, a UV-visible monitoring of the growth of polymer films by chronoamperometry was performed on a gold grid. Then an electrochemical study of the monomer (Figure 1) and the polymer was carried out on glassy carbon (GC). PTFA was also deposited on ITO substrate and characterized by SEM (Figure 3) and XPS, and compared to PANI. PTFA was also characterized by IR, NMR, ATG and DSC analyses. Finally, this polymer was incorporated into a patented device called MSDI [5] to determine the nature of the free charge carriers in the polymer, as well as its potential use in ammonia sensors. We also electrosynthesized a PPy material with an ionic phthalocyanine as counteranion with a particular morphology (Figure 3) [3]. Contrarily to PPy electrodeposited with perchlorate as couteranion, electropolymerized PPy/s-CoPc films show a more homogeneous structure with the presence of small peaks regularly distributed on the whole substrate, as depicted from optical microscopy [3]. Consequently, the roughness of this material is much smaller than the one of PPy/ClO4 films.

3.2. Ammonia Sensing

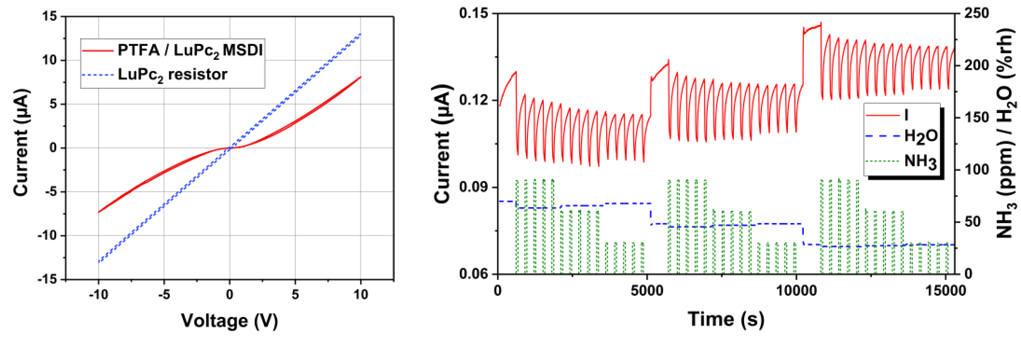
Before the chemosensing studies, the current-voltage (I–V) characteristics of the devices were recorded. I–V curves are linear for resistors but non linear for heterojunctions (Figure 4). For the PTFA/LuPc2 lateral heterojunction, energy barriers can occur not only at the interface between the poor conducting PTFA and LuPc2 that is an intrinsic semiconductor with a p-type behavior in air, but also between the electrodes and the PTFA layers. Then all the devices are exposed to ammonia diluted in synthetic air with recovery periods under synthetic air four times longer than the exposure periods. For the PTFA/LuPc2 lateral heterojunction the current decreases under NH3. It shows that the transport through this device is govern by p-type charge carriers. The baseline is stable but shifted up as the relative humidity decreases.
The PPy/s-CoPc hybrid material exhibits a very low sensitivity to relative humidity (RH) variations, mainly from 10 to 0% RH. The response to NH3 is highly reproducible, cycle after cycle, and proportional to the NH3 concentration. Thus, the relative response Δσ/σ0 at a RH of 20% is 2% at 25 ppm, 3.6% at 45 ppm and 5.3% at 90 ppm (Figure 5(left)). The PPy/CuTsPc resistors exhibit also a negative response to NH3, but with a huge sensitivity of ca. −40% at 10 ppm NH3 and 50% rh (Figure 5(right)), with only a very small effect of the relative humidity. Clearly, they could be used to detect NH3 at smaller concentrations. For these both resistors, the great size of the counteranions stabilized by the PPy polycation lead to conductometric devices quasi unsensitive to rh variations, which is not the case for usual ionic materials.

4. Conclusions

In this study, we demonstrated that PTFA films can be obtained by electrosynthesis. Contrarily to the unsubstituted polyaniline, PTFA is an insulating material, due to the electrowithdrawing effect of fluorine atoms that prevent the formation of the conducting polycationic form of the polymer. However, associated with a highly conductive molecular material, LuPc2, it led to a double lateral heterojunction whose response to NH3 is much more stable than that of a LuPc2 resistor. Elsewhere, we demonstrated the interest of sulfonated metallophthalocyanines as counteranions in doped conducting polypyrrole to get resistors highly sensitive to NH3, whatever the relative humidity, in the range 20–80% rh.

Acknowledgments

The authors acknowledge the Agence Nationale de la Recherche for funding through the projects CAP-BTX ANR-BLAN-2010-917-02 and OUTSMART ANR-2015-CE39-0004-03, the MENESR for a PhD grant (M. M.), the Conseil Régional de Bourgogne (projects FABER, PARI SMT08 and CDEA) and the European Union (FEDER and Cost action TD1105 EuNetAir).

Conflicts of Interest

The authors declare no conflict of interest.

References

  1. MacDiarmid, A.G. “Synthetic Metals”: A novel role for organic polymers (Nobel Lecture). Angew. Chem. Int. Ed. 2001, 40, 2581–2590. [Google Scholar] [CrossRef]
  2. Astratine, L.; Magner, E.; Cassidy, J.; Betts, A. Characterization and electrochromic properties of poly(2,3,5,6-tetrafluoroaniline). Electrochim. Acta 2012, 74, 117–122. [Google Scholar] [CrossRef][Green Version]
  3. Sizun, T.; Patois, T.; Bouvet, M.; Lakard, B. Microstructured electrodeposited polypyrrole-phthalocyanine hybrid material, from morphology to ammonia sensing. J. Mater. Chem. 2012, 22, 25246–25253. [Google Scholar] [CrossRef]
  4. Gaudillat, P.; Jurin, F.; Lakard, B.; Buron, C.; Suisse, J.-M.; Bouvet, M. From the solution processing of hydrophilic molecules to polymer-phthalocyanine hybrid materials for ammonia sensing in high humidity atmosphere. Sensors 2014, 14, 13476–13495. [Google Scholar] [CrossRef] [PubMed]
  5. Bouvet, M.; Gaudillat, P.; Kumar, A.; Sauerwald, T.; Schüler, M.; Schütze, A.; Suisse, J.-M. Revisiting the electronic properties of Molecular Semiconductor—Doped Insulator (MSDI) heterojunctions through impedance and chemosensing studies. Org. Electron. 2015, 26, 345–354. [Google Scholar] [CrossRef]
Figure 1. Cyclic voltammetry on glassy Carbon of TFA 30 mM in HClO4 0.66 M, v = 0.1 V·s−1 (left) and of aqueous solutions of 0.1 mol·L−1 pyrrole and 0.1 mol·L−1 LiClO4 or 0.01 mol·L−1·s-CoPc (right).
Figure 1. Cyclic voltammetry on glassy Carbon of TFA 30 mM in HClO4 0.66 M, v = 0.1 V·s−1 (left) and of aqueous solutions of 0.1 mol·L−1 pyrrole and 0.1 mol·L−1 LiClO4 or 0.01 mol·L−1·s-CoPc (right).
Proceedings 01 00480 g001
Figure 2. Schematic view of a PPy/s-CoPc resistor (left) compared to a PTFA/LuPc2/PTFA double lateral heterojunction (right); the arrows indicate the main channel for charge carriers.
Figure 2. Schematic view of a PPy/s-CoPc resistor (left) compared to a PTFA/LuPc2/PTFA double lateral heterojunction (right); the arrows indicate the main channel for charge carriers.
Proceedings 01 00480 g002
Figure 3. Schematic view of the ionic interactions between polypyrrole and cobalt sulfonated phthalocyanine and a topomicroscopic view of the hybrid material (left); SEM images of PTFA (middle) and PANI (right) electrodeposited on ITO.
Figure 3. Schematic view of the ionic interactions between polypyrrole and cobalt sulfonated phthalocyanine and a topomicroscopic view of the hybrid material (left); SEM images of PTFA (middle) and PANI (right) electrodeposited on ITO.
Proceedings 01 00480 g003
Figure 4. Current-voltage characteristics of a LuPc2 resistor (dotted line) and a PTFA/LuPc2 lateral heterojunction (left); response to NH3 (90, 60 and 30 ppm) in synthetic air, at different relative humidity levels, of a PTFA/LuPc2 lateral heterojunction (right).
Figure 4. Current-voltage characteristics of a LuPc2 resistor (dotted line) and a PTFA/LuPc2 lateral heterojunction (left); response to NH3 (90, 60 and 30 ppm) in synthetic air, at different relative humidity levels, of a PTFA/LuPc2 lateral heterojunction (right).
Proceedings 01 00480 g004
Figure 5. Conductivity variation of a PPy/s-CoPc resistor as a function of time during 1 min/4 min exposure/recovery cycles to 90, 25 and 45 ppm NH3 in synthetic air, at different relative humidity values (left) and the relative response (ΔI/I0) of a (PPy/CuTsPc) device as a function of the NH3 concentration at various RH values, as calculated from four 0.25 min/1 min exposure/recovery cycles (right).
Figure 5. Conductivity variation of a PPy/s-CoPc resistor as a function of time during 1 min/4 min exposure/recovery cycles to 90, 25 and 45 ppm NH3 in synthetic air, at different relative humidity values (left) and the relative response (ΔI/I0) of a (PPy/CuTsPc) device as a function of the NH3 concentration at various RH values, as calculated from four 0.25 min/1 min exposure/recovery cycles (right).
Proceedings 01 00480 g005
Publisher’s Note: MDPI stays neutral with regard to jurisdictional claims in published maps and institutional affiliations.

Share and Cite

MDPI and ACS Style

Bouvet, M.; Mateos, M.; Meunier-Prest, R.; Suisse, J.-M. Conducting Polymers for Ammonia Sensing: Electrodeposition, Hybrid Materials and Heterojunctions. Proceedings 2017, 1, 480. https://doi.org/10.3390/proceedings1040480

AMA Style

Bouvet M, Mateos M, Meunier-Prest R, Suisse J-M. Conducting Polymers for Ammonia Sensing: Electrodeposition, Hybrid Materials and Heterojunctions. Proceedings. 2017; 1(4):480. https://doi.org/10.3390/proceedings1040480

Chicago/Turabian Style

Bouvet, M., M. Mateos, R. Meunier-Prest, and J.-M. Suisse. 2017. "Conducting Polymers for Ammonia Sensing: Electrodeposition, Hybrid Materials and Heterojunctions" Proceedings 1, no. 4: 480. https://doi.org/10.3390/proceedings1040480

APA Style

Bouvet, M., Mateos, M., Meunier-Prest, R., & Suisse, J.-M. (2017). Conducting Polymers for Ammonia Sensing: Electrodeposition, Hybrid Materials and Heterojunctions. Proceedings, 1(4), 480. https://doi.org/10.3390/proceedings1040480

Article Metrics

Back to TopTop