Hybrid and Bio Nanocomposites for Ultrasensitive Ammonia Sensors †
Abstract
:1. Introduction
2. Materials and Measurements Methods
2.1. Materials
2.2. Experimental Set Up
3. Results and Discussion
3.1. Hybrid PANI-TiO2
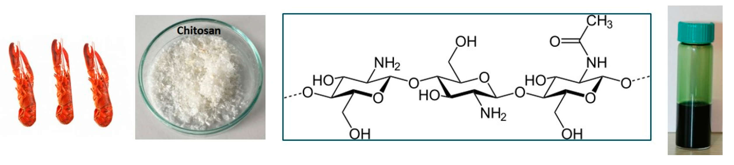
3.2. PANI-Chitosan Composites
4. Conclusions
Conflicts of Interest
References
- Krupa, S.V. Effects of atmospheric ammonia (NH3) on terrestrial vegetation: A review. Environ. Pollut. 2003, 124, 179–221. [Google Scholar] [CrossRef]
- Ruyet, J.P.-L.; Galland, R.; Le Roux, A.; Chartois, H. Chronic ammonia toxicity in juvenile turbot (Scophthalmus maximus). Aquaculture 1997, 154, 155–171. [Google Scholar] [CrossRef]
- Hibbard, T.; Crowley, K.; Killard, A.J. Direct measurement of ammonia in simulated breath using an inkjet-printed polyaniline nanoparticle sensor. Anal. Chem. Acta 2013, 779, 56–63. [Google Scholar] [CrossRef] [PubMed]
- Rizzo, G.; Arena, A.; Donato, N.; Latino, M.; Saitta, G.; Bonavita, A.; Neri, G. Flexible, all organic ammonia sensor based on dodecylbenzene sulfonic acid-doped polyaniline films. Thin Solid Films 2010, 518, 7133–7137. [Google Scholar] [CrossRef]
- Kebiche, H.; Debarnot, D.; Merzouki, A.; Poncin Epaillard, F.; Haddaoui, N. Relationship between ammonia sensing properties of polyaniline nanostructures and their deposition and synthesis methods. Anal. Chem. Acta 2012, 737, 64–71. [Google Scholar] [CrossRef] [PubMed]
- Mikhaylov, S.; Ogurtsov, N.A.; Redon, N.; Coddeville, P.; Wojkiewicz, J.L.; Pud, A.A. The PANI-DBSA content and dispersing solvent as influencing parameters in sensing performances of TiO2/PANI-DBSA hybrid nanocomposites to ammonia. RSC Adv. 2016, 6, 82625–82634. [Google Scholar] [CrossRef]
- Li, W.; Jang, D.M.; An, S.Y.; Kim, D.; Hong, S.K.; Kim, H. Polyaniline-chitosan nanocomposite: High performance hydrogen sensor from new principle. Sens. Actuators B Chem. 2011, 160, 1020–1025. [Google Scholar] [CrossRef]






Publisher’s Note: MDPI stays neutral with regard to jurisdictional claims in published maps and institutional affiliations. |
© 2017 by the authors. Licensee MDPI, Basel, Switzerland. This article is an open access article distributed under the terms and conditions of the Creative Commons Attribution (CC BY) license (https://creativecommons.org/licenses/by/4.0/).
Share and Cite
Wojkiewicz, J.-l.L.; Redon, N.; Pud, A.; Mikhaylov, S.; Ogurtsov, N.; Noskov, Y.; Collard, C.; Li, W. Hybrid and Bio Nanocomposites for Ultrasensitive Ammonia Sensors. Proceedings 2017, 1, 407. https://doi.org/10.3390/proceedings1040407
Wojkiewicz J-lL, Redon N, Pud A, Mikhaylov S, Ogurtsov N, Noskov Y, Collard C, Li W. Hybrid and Bio Nanocomposites for Ultrasensitive Ammonia Sensors. Proceedings. 2017; 1(4):407. https://doi.org/10.3390/proceedings1040407
Chicago/Turabian StyleWojkiewicz, Jean-luc L., Nathalie Redon, Alexander Pud, Sergei Mikhaylov, Nikolay Ogurtsov, Yuriy Noskov, Camille Collard, and Wei Li. 2017. "Hybrid and Bio Nanocomposites for Ultrasensitive Ammonia Sensors" Proceedings 1, no. 4: 407. https://doi.org/10.3390/proceedings1040407
APA StyleWojkiewicz, J.-l. L., Redon, N., Pud, A., Mikhaylov, S., Ogurtsov, N., Noskov, Y., Collard, C., & Li, W. (2017). Hybrid and Bio Nanocomposites for Ultrasensitive Ammonia Sensors. Proceedings, 1(4), 407. https://doi.org/10.3390/proceedings1040407
