Next Article in Journal
Fabrication of Sharp Tip-Separable Microneedle Device for Trans-Dermal Drug Delivery Systems
Previous Article in Journal
Development of Calorie Tracking Algorithm for Children and Comparison with Commercialized Product
 
 
Font Type:
Arial Georgia Verdana
Font Size:
Aa Aa Aa
Line Spacing:
Column Width:
Background:
Proceeding Paper

Ionogel—Based Composite Material for CO2 Sensing Deposited on a Chemiresistive Transducer †

by
Bora Ersoez
1,
Marie-Luise Bauersfeld
2 and
Jürgen Wöllenstein
1,2,*
1
Institut für Mikrosystemtechnik—IMTEK, Freiburg, Germany
2
Fraunhofer IPM, Freiburg, Germany
*
Author to whom correspondence should be addressed.
Presented at the Eurosensors 2017 Conference, Paris, France, 3–6 September 2017.
Proceedings 2017, 1(4), 314; https://doi.org/10.3390/proceedings1040314
Published: 17 August 2017
(This article belongs to the Proceedings of Proceedings of Eurosensors 2017, Paris, France, 3–6 September 2017)

Abstract

:
A novel miniaturized carbon dioxide (CO2) sensor based on an IDE transducer is described and characterized. The CO2 sensor based on different semiconducting metal oxide and ionogel composites films deposited by ink-jet printing. The sensor is operated as a simple chemiresistor. The sensors were investigated under trace gas exposure (CO2, NO2, CO and humidity). The CO2 sensitivity is found to be exceptionally high and the sensing mechanism is supposed to be entirely different compared to those of the components of the composite.

1. Introduction

Ionic liquids (ILs) are interesting for consumer-electronic products due to their advantageous properties, such as low toxicity and negligible volatility at room temperature. However for the use in consumer products, they have to be immobilized on a transducer. This can be achieved by jellifying the ionic liquid by means of a gelator. Organic/inorganic polymers or metal oxide (MOX) nanoparticles can be used as gelators, resulting in a so-called ionogel [1]. It was shown that a variety of gaseous analytes can be detected by ionogel-based sensors, e.g., H2S, ethylene, NO2 and CO2 [2]. A composite material of Poly Ionic Liquid (PIL) with La2O3 was shown by Willa et al. [3] to be sensitive to CO2. They ascribed the detection mechanism to a pre-concentration of CO2 by PIL and subsequent detection of CO2 by the La2O2CO3 particles.
The composite material in the present work is based on a novel ionogel. However, instead of a PIL, a supported ionic liquid was used as main component of the composite material. Furthermore the capability for mass production was studied by depositing the material by ink-jet printing on a chemiresistive transducer. The sensor is operated at elevated room-temperature, which reduces the power consumption to a very low level.

2. Materials and Methods

2.1. Materials

The semiconducting metal oxides were obtained as optimized inks for the inkjet printing process. These inks consist of a dispersion of nanoparticles with stabilizing agent in aqueous solvent system. The polymer and the ionic liquid were obtained from a commercial supplier. All material were used as-received, without purification prior to application. Interdigitated electrodes are prepared via sputtering of Ti (20 nm) and Pt (200 nm) onto Si substrates with native oxide.

2.2. Film Fabrication

First, the metal oxide film was inkjet printed by using the material cartridge DMC-11610 with a Dimatix DMP-3000 inkjet printer. After drying, the sintering process was conducted at optimized temperatures for each metal oxide phase. The final film thickness is about 100 nm.
The ionogel was prepared by dissolving the polymer and the ionic liquid in a common solvent. Subsequently the Ionogel was inkjet printed on top of the as-prepared MOX film and annealed overnight at 80 °C. The thickness of the ionogel film is about 1000 nm.

2.3. Measurements

Measurements were performed with a Keitheley 2636B SMU unit. The devices were probed in a setup which is open to the environment in a clean room facility. In order to prevent interference from the atmosphere, gas was purged with 2 L/min onto the devices with a constant separation of 1cm between the gas outlet and the device.

3. Results

3.1. Sensitivity to Carbon Dioxide (CO2)

A comparison of CO2 sensitivity between pure MOX films, Ionogel film and our composite MOX@Ionogel is presented in Figure 1. The pure MOX films do not show any CO2 response at all, even at 4000 ppm. The ionogel reacts with decreasing resistance on the presence of CO2 in the surrounding. This decrease is proportional to the concentration of CO2. The response and recovery times (t90) are below 5 s, each. The response of MOX@Ionogel (with MOX = SnO2 or In2O3) is in both cases slightly larger than for the pure Ionogel. However, it is more intriguing that the response to CO2 leads to an increasing resistance, which is in contrast to the behavior of pure Ionogel. Furthermore it can be observed that upon coating the MOX with the Ionogel, the resistance of SnO2@Ionogel decreases by about 3 orders of magnitude while the resistance of In2O3@Ionogel decreases by about 1.5 orders of magnitude.

3.2. Cross-Sensitivity to Relative Humidity (RH)

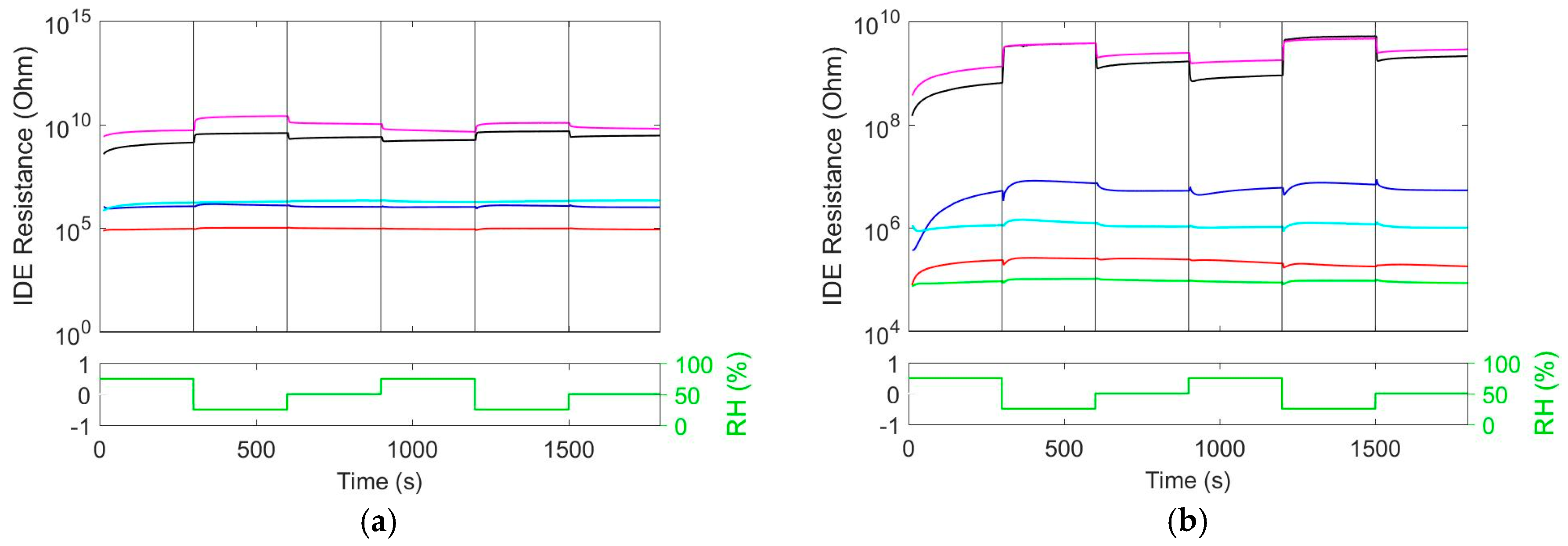
Since the ionic liquid employed in our composite is hygroscopic, an interference of humidity on the CO2 sensitivity was expected. From Figure 2a it can be seen that the pure Ionogel reacts almost instantaneously to changes in relative humidity. While In2O3 doesn’t show significant humidity response, the SnO2 film reacts relatively strong to changes in humidity. After coating of MOX with Ionogel, the influence of humidity on the baseline resistance becomes smaller.
By increasing the temperature, less interference from humidity should be expected due to less favorable adsorption of water. The result of increasing the temperature from 30 to 50 °C is shown in Figure 2b. In case of all three depicted materials, the sensitivity to humidity changes decreases upon heating to higher temperature.

3.3. Cross-Sensitivity to Nitrogen Dioxide (NO2) and Carbon Monoxide (CO)

As it can be seen from Figure 3a, only In2O3 doesn’t react to NO2. SnO2 shows the strongest response with fast response time but slower recovery time. Compared to pure MOX, by coating both MOX with Ionogel, the NO2 sensitivity of SnO2@Ionogel and In2O3@Ionogel decreases and increases, respectively. The pure Ionogel shows low but significant NO2 response, which causes a decrease in resistance. This is in contrast to the increasing resistance in the case of MOX and MOX@Ionogel materials.
From Figure 3b it can be seen that none of the materials exhibits significant CO response.

4. Discussion

While CO2 storage capability of ionic liquids is well explored, the sensing behavior is less investigated. Extending the works on Ionogel [4] and on composites of MOX with PILs [3], our investigations revealed interesting phenomena occurring upon combining both approaches. Namely, CO2 response which is stronger than reported in literature and also is manifested by increasing resistance, has been observed. The change of resistance in opposite direction makes clearly indicates a different sensing mechanism. Since SnO2 and In2O3 do not react with CO2, a pre-concentration effect as suggested by Willa et al. is probably not responsible for the CO2 response of our composite. Since the baseline resistance of MOX@Ionogel is much lower than for Ionogel or MOX alone, the sensing mechanism is believed to occur at the interface of both phases, maybe even at the three-phase interface with the electrode.
Since the cross-sensitivity to RH is low and gets even lower at higher temperatures, the operating conditions of the sensors (temperature and DC bias) can be optimized with respect to increased CO2 sensitivity and decreased NO2 cross-sensitivity. The small interference originating from RH variations are thought to be compensated easily by knowledge of the current RH. Maybe the contribution of NO2 to the total resistance can be compensated by using a selective NO2 sensor.

5. Conclusions

The material in this work was anticipated to be used as a CO2 sensors. However cross-sensitivity to NO2 is significant and may be compensated.
It seems like our approach is not limited to a certain metal oxide phase. It can be seen as a universal approach to obtain gas sensors with tunable sensitivity towards desired analytes and elimination of cross-sensitivity to interfering agents. In order to prove this claim, further investigation on combining different MOX phases with various ionic liquids will be undertaken.
Additionally, future characterization of this class of composite material by advanced methods should reveal the mechanism of sensing. This should allow systematic approach in combining MOX with ionic liquid in order to obtain a selective sensor.
Furthermore, investigation on the reliability has to be performed since ionic liquids still have a finite vapor pressure and can be dislocated from the IDE upon mechanical impact or applied electrical field.

Acknowledgments

This work was supported by Robert Bosch GmbH.

Conflicts of Interest

We confirm that we have given due consideration to the protection of intellectual property associated with this work and that there are no impediments to publication, including the timing of publication, with respect to intellectual property. In so doing we confirm that we have followed the regulations of our institutions concerning intellectual property.

References

  1. Marr, P.C.; Marr, A.C. Ionic liquid gel materials: applications in green and sustainable chemistry. Green Chem. 2016, 18, 105–128. [Google Scholar] [CrossRef]
  2. Silvester, D.S. Recent advances in the use of ionic liquids for electrochemical sensing. Analyst 2011, 136, 4871–4882. [Google Scholar] [CrossRef] [PubMed]
  3. Willa, C.; Yuan, J.; Niederberger, M.; Koziej, D. When Nanoparticles Meet Poly(Ionic Liquid)s: Chemoresistive CO2 Sensing at Room Temperature. Adv. Funct. Mater. 2015, 25, 2537–2542. [Google Scholar] [CrossRef]
  4. Ishizu, K.; Takei, Y.; Honda, M.; Noda, K.; Inaba, A.; Itoh, T.; Maeda, R.; Matsumoto, K.; Shimoyama, I. Carbon Dioxide Gas Sensor with Ionic Gel. In Proceedings of the Transducers & Eurosensors XXVII: The 17th International Conference on Solid-State Sensors, Actuators and Microsystem, Barcelona, Spain, 16–20 June 2013. [Google Scholar]
Figure 1. Response to different concentrations of carbon dioxide (2 cycles of 400, 1000, 2000 and 4000 ppm) measured in synthetic air (20% oxygen) at temperature of 50 °C and relative humidity of 50%. The applied measuring voltage is a constant DC bias of 1.5 V. Ionogel (black), SnO2@Ionogel (blue), In2O3@Ionogel (red), SnO2 (pink), In2O3 (turquoise).
Figure 1. Response to different concentrations of carbon dioxide (2 cycles of 400, 1000, 2000 and 4000 ppm) measured in synthetic air (20% oxygen) at temperature of 50 °C and relative humidity of 50%. The applied measuring voltage is a constant DC bias of 1.5 V. Ionogel (black), SnO2@Ionogel (blue), In2O3@Ionogel (red), SnO2 (pink), In2O3 (turquoise).
Proceedings 01 00314 g001
Figure 2. Response to different relative humidities (2 cycles of 75, 25 and 50%) measured in synthetic air (20% oxygen). The applied measuring voltage is a constant DC bias of 1.5 V. (a) At a temperature of 50 °C: Ionogel (black), SnO2@Ionogel (blue), In2O3@Ionogel (red), SnO2 (pink), In2O3 (turquoise). (b) At temperatures of 30 and 50 °C: Ionogel at 30 °C (black), SnO2@Ionogel at 30 °C (blue), In2O3@Ionogel at 30 °C (red), Ionogel at 50 °C (pink), SnO2@Ionogel at 50 °C (turquoise), In2O3@Ionogel at 50 °C (green).
Figure 2. Response to different relative humidities (2 cycles of 75, 25 and 50%) measured in synthetic air (20% oxygen). The applied measuring voltage is a constant DC bias of 1.5 V. (a) At a temperature of 50 °C: Ionogel (black), SnO2@Ionogel (blue), In2O3@Ionogel (red), SnO2 (pink), In2O3 (turquoise). (b) At temperatures of 30 and 50 °C: Ionogel at 30 °C (black), SnO2@Ionogel at 30 °C (blue), In2O3@Ionogel at 30 °C (red), Ionogel at 50 °C (pink), SnO2@Ionogel at 50 °C (turquoise), In2O3@Ionogel at 50 °C (green).
Proceedings 01 00314 g002
Figure 3. Response to different concentrations of (a) nitrogen dioxide (2 cycles of 50, 200 and 500 ppb) and (b) carbon monoxide (2 cycles of 1, 2 and 20 ppm) measured in synthetic air (20% oxygen) at temperature of 50 °C and relative humidity of 50%. The applied measuring voltage is a constant DC bias of 1.5 V. Ionogel (black), SnO2@Ionogel (blue), In2O3@Ionogel (red), SnO2 (pink), In2O3 (turquoise).
Figure 3. Response to different concentrations of (a) nitrogen dioxide (2 cycles of 50, 200 and 500 ppb) and (b) carbon monoxide (2 cycles of 1, 2 and 20 ppm) measured in synthetic air (20% oxygen) at temperature of 50 °C and relative humidity of 50%. The applied measuring voltage is a constant DC bias of 1.5 V. Ionogel (black), SnO2@Ionogel (blue), In2O3@Ionogel (red), SnO2 (pink), In2O3 (turquoise).
Proceedings 01 00314 g003
Publisher’s Note: MDPI stays neutral with regard to jurisdictional claims in published maps and institutional affiliations.

Share and Cite

MDPI and ACS Style

Ersoez, B.; Bauersfeld, M.-L.; Wöllenstein, J. Ionogel—Based Composite Material for CO2 Sensing Deposited on a Chemiresistive Transducer. Proceedings 2017, 1, 314. https://doi.org/10.3390/proceedings1040314

AMA Style

Ersoez B, Bauersfeld M-L, Wöllenstein J. Ionogel—Based Composite Material for CO2 Sensing Deposited on a Chemiresistive Transducer. Proceedings. 2017; 1(4):314. https://doi.org/10.3390/proceedings1040314

Chicago/Turabian Style

Ersoez, Bora, Marie-Luise Bauersfeld, and Jürgen Wöllenstein. 2017. "Ionogel—Based Composite Material for CO2 Sensing Deposited on a Chemiresistive Transducer" Proceedings 1, no. 4: 314. https://doi.org/10.3390/proceedings1040314

APA Style

Ersoez, B., Bauersfeld, M.-L., & Wöllenstein, J. (2017). Ionogel—Based Composite Material for CO2 Sensing Deposited on a Chemiresistive Transducer. Proceedings, 1(4), 314. https://doi.org/10.3390/proceedings1040314

Article Metrics

Back to TopTop