Nitrogen Rate Optimization Improves Nitrogen Partitioning, Chlorophyll Status, and Vegetative Growth in Vanilla × tahitensis
Abstract
1. Introduction
2. Materials and Methods
2.1. Plant Material and Experimental Design
2.2. Growth Parameters
2.3. Leaf Chlorophyll Index (LCI)
2.4. Plant Tissue Nutrient Analyses
2.5. Statistical Analyses
3. Results
3.1. Tissue N Concentration in Response to N Application Rate
3.2. LCI Response to N Rate

| Variable | Equation | R2 | Optimal N Rate (g N Plant−1 yr−1) (95% CI) | Predicted Leaf N at Optimal N Rate (95% CI) (%) |
|---|---|---|---|---|
| LCI | y = −0.0557x2 + 2.3568x + 35.695 | 0.54 | 21 (15.5–26.8) | (1.67–2.22) |
| Vine length (cm) | y = −0.323x2 + 9.4901x + 170.41 | 0.14 | 15 (8.4–21.0) | (1.47–1.91) |
| Leaf Number | y = −0.0625x2 + 1.6421x + 21.281 | 0.38 | 13 (9.1–17.0) | (1.49–1.73) |
| Fresh weight (g) | y = −0.232x2 + 6.7788x + 47.15 | 0.31 | 15 (10.8–18.4) | (1.53–1.79) |
| Dry weight (g) | y = −0.0281x2 + 0.9241x + 8.4918 | 0.27 | 16 (12.1–20.7) | (1.56–1.88) |
| Range (g) | 13–21 | |||
| Average (g) | 16 | |||
| Leaf N (%) | y = 0.0011x2 + 0.002x + 1.3783 | 0.83 | ||
| Range (%) | 1.5–2.2 | |||
| Average (%) | 1.7 |
3.3. Relationship Between LCI and Leaf N Concentration
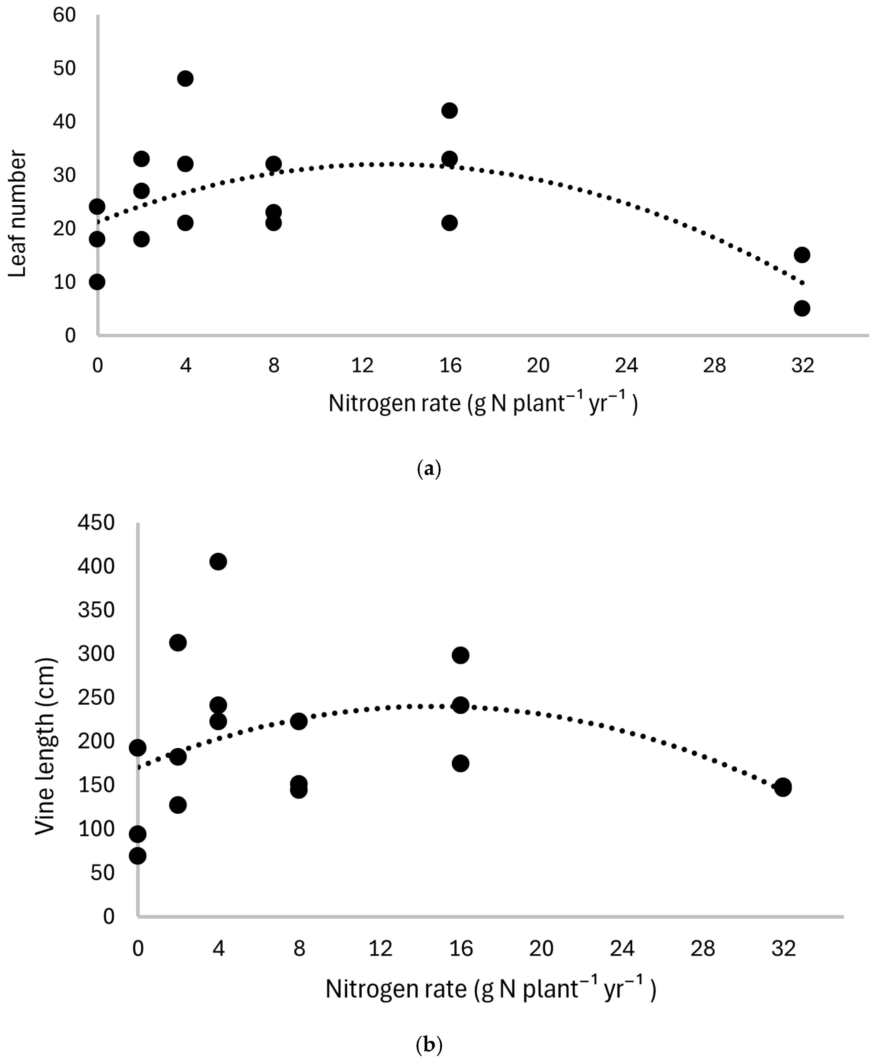
3.4. Vegetative Growth Responses to N Rate
3.5. Biomass Responses to N Rate
3.6. Correlations Among Growth, LCI, and Tissue N Concentrations
3.7. Estimation of Optimal N Rate and Predicted Leaf N Concentration
3.8. Nitrogen Classification Based on Leaf N Concentration
4. Discussion
4.1. Tissue N Accumulation and Partitioning
4.2. LCI as an Indicator of Leaf N Status
4.3. Vegetative Growth Responses and N Optimization
4.4. Integration of Growth, LCI, and Tissue N
4.5. Implications for N Management
5. Conclusions
Author Contributions
Funding
Data Availability Statement
Acknowledgments
Conflicts of Interest
Abbreviations
| N | Nitrogen |
| LCI | Leaf chlorophyll index |
| UF/IFAS | University of Florida Institute of Food and Agricultural Sciences |
| TREC | Tropical Research and Education Center |
| ANSERV | Analytical Services Laboratories |
References
- Karremans, A.P.; Chinchilla, I.F.; Rojas-Alvarado, G.; Cedeño-Fonseca, M.; Damián, A.; Léotard, G. A Reappraisal of Neotropical Vanilla. With a Note on Taxonomic Inflation and the Importance of Alpha Taxonomy in Biological Studies. Lankesteriana 2020, 20, 395–497. [Google Scholar] [CrossRef]
- De Oliveira, R.T.; Da Silva Oliveira, J.P.; Macedo, A.F. Vanilla beyond Vanilla planifolia and Vanilla × tahitensis: Taxonomy and Historical Notes, Reproductive Biology, and Metabolites. Plants 2022, 11, 3311. [Google Scholar] [CrossRef]
- Soto Arenas, M.A.; Dressler, R.L. A Revision of the Mexican and Central American Species of Vanilla Plumier Ex Miller with a Characterization of Their Its Region of the Nuclear Ribosomal DNA. Lankesteriana Int. J. Orchid. 2013, 9, 285–354. [Google Scholar] [CrossRef]
- Brunschwig, C.; Collard, F.-X.; Lepers-Andrzejewski, S.; Raharivelomanana, P. Tahitian vanilla (Vanilla × tahitensis): A Vanilla Species with Unique Features. In Active Ingredients from Aromatic and Medicinal Plants; El-Shemy, H.A., Ed.; InTechOpen: London, UK, 2017. [Google Scholar] [CrossRef]
- Diez, M.C.; Osorio, N.W.; Moreno, F. Effect of Dose and Type of Fertilizer on Flowering and Fruiting of Vanilla Plants. J. Plant Nutr. 2016, 39, 1297–1310. [Google Scholar] [CrossRef]
- Sujatha, S.; Bhat, R. Response of Vanilla (Vanilla planifolia A.) Intercropped in Arecanut to Irrigation and Nutrition in Humid Tropics of India. Agric. Water Manag. 2010, 97, 988–994. [Google Scholar] [CrossRef]
- Uscola, M.; Villar-Salvador, P.; Oliet, J.; Warren, C.R. Foliar Absorption and Root Translocation of Nitrogen from Different Chemical Forms in Seedlings of Two Mediterranean Trees. Environ. Exp. Bot. 2014, 104, 34–43. [Google Scholar] [CrossRef]
- Hernández, J.; Lubinsky, P. Cultivation Systems. In Vanilla. Medicinal and Aromatic Plants—Industrial Profiles; CRC Press: Boca Raton, FL, USA, 2011; pp. 75–95. [Google Scholar]
- Bremner, J.M. Determination of Nitrogen in Soil by the Kjeldahl Method. J. Agric. Sci. 1960, 55, 11–33. [Google Scholar] [CrossRef]
- Souza, L.A.; Tavares, R. Nitrogen and Stem Development: A Puzzle Still to Be Solved. Front. Plant Sci. 2021, 12, 630587. [Google Scholar] [CrossRef]
- Osorio, A.I.; Osorio Vega, N.W.; Diez, M.C.; Moreno, F.H. Nutrient Status and Vegetative Growth of Vanilla planifolia Jacks Plants as Affected by Fertilization and Organic Substrate Composition. Acta Agronómica 2014, 63, 326–334. [Google Scholar] [CrossRef]
- Mantovani, C.; Prado, R.M.; Pivetta, K.F.L. Impact of Nitrate and Ammonium Ratio on Nutrition and Growth of Two Epiphytic Orchids. An. Acad. Bras. Ciênc. 2018, 90, 3423–3431. [Google Scholar] [CrossRef] [PubMed]
- Zhang, W.; Zhang, S.-B.; Fan, Z.-X. Quantifying the Nitrogen Allocation and Resorption for an Orchid Pseudobulb in Relation to Nitrogen Supply. Sci. Hortic. 2022, 291, 110580. [Google Scholar] [CrossRef]
- Qiang, B.; Zhou, W.; Zhong, X.; Fu, C.; Cao, L.; Zhang, Y.; Jin, X. Effect of Nitrogen Application Levels on Photosynthetic Nitrogen Distribution and Use Efficiency in Soybean Seedling Leaves. J. Plant Physiol. 2023, 287, 154051. [Google Scholar] [CrossRef]
- Qu, F.; Peng, T.; Jia, Y.; Yang, M.; Meng, X.; Mao, S.; Zhou, D.; Hu, X. Adjusting Leaf Nitrogen Allocation Could Promote Photosynthetic Capacity, and Nitrogen Accumulation in Cucumis sativus L. Environ. Exp. Bot. 2022, 198, 104855. [Google Scholar] [CrossRef]
- Feng, Y.-L.; Lei, Y.-B.; Wang, R.-F.; Callaway, R.M.; Valiente-Banuet, A.; Inderjit; Li, Y.-P.; Zheng, Y.-L. Evolutionary Tradeoffs for Nitrogen Allocation to Photosynthesis versus Cell Walls in an Invasive Plant. Proc. Natl. Acad. Sci. USA 2009, 106, 1853–1856. [Google Scholar] [CrossRef]
- Makino, A.; Sakuma, H.; Sudo, E.; Mae, T. Differences between Maize and Rice in N-Use Efficiency for Photosynthesis and Protein Allocation. Plant Cell Physiol. 2003, 44, 952–956. [Google Scholar] [CrossRef] [PubMed]
- Xiong, D.; Chen, J.; Yu, T.; Gao, W.; Ling, X.; Li, Y.; Peng, S.; Huang, J. SPAD-Based Leaf Nitrogen Estimation Is Impacted by Environmental Factors and Crop Leaf Characteristics. Sci. Rep. 2015, 5, 13389. [Google Scholar] [CrossRef] [PubMed]
- Costa, M.G.; Mantovani, C.; De Mello Prado, R. Optimizing Nutrient Solution for Vegetative Growth of Dendrobium Tubtim Siam and Phalaenopsis Taisuco Swan through Plant Tissue Nutrient Balance Estimation. BMC Plant Biol. 2024, 24, 280. [Google Scholar] [CrossRef]
- Wang, Y.-T. High NO3-N to NH4-N Ratios Promote Growth and Flowering of a Hybrid Phalaenopsis Grown in Two Root Substrates. HortScience 2008, 43, 350–353. [Google Scholar] [CrossRef]
- Zhu, Y.; Qi, B.; Hao, Y.; Liu, H.; Sun, G.; Chen, R.; Song, S. Appropriate NH4+/NO3– Ratio Triggers Plant Growth and Nutrient Uptake of Flowering Chinese Cabbage by Optimizing the pH Value of Nutrient Solution. Front. Plant Sci. 2021, 12, 656144. [Google Scholar] [CrossRef]
- Borgognone, D.; Colla, G.; Rouphael, Y.; Cardarelli, M.; Rea, E.; Schwarz, D. Effect of Nitrogen Form and Nutrient Solution pH on Growth and Mineral Composition of Self-Grafted and Grafted Tomatoes. Sci. Hortic. 2013, 149, 61–69. [Google Scholar] [CrossRef]
- Cho, A.; Chung, S.W.; Kim, Y.J. Calcium Ammonium Nitrate Applications for Improved Leaf Growth and Photosynthetic Responses in the CAM Orchid Phalaenopsis under Elevated CO2 in a Greenhouse. Sci. Hortic. 2024, 324, 112601. [Google Scholar] [CrossRef]
- Habibi, N.; Sharaf, Z.; Fakoor, M.Y.; Aryan, S.; Mahmoodzada, A.B.; Fakhri, A.; Faqiri, S.M. Nitrogen Matters: Assessing the Effects of Nitrogen Fertilization on Maize Growth and Grain Productivity. Nitrogen 2025, 6, 115. [Google Scholar] [CrossRef]
- Liu, Z.; Gao, J.; Zhao, S.; Sha, Y.; Huang, Y.; Hao, Z.; Ke, L.; Chen, F.; Yuan, L.; Mi, G. Nitrogen Responsiveness of Leaf Growth, Radiation Use Efficiency and Grain Yield of Maize (Zea mays L.) in Northeast China. Field Crops Res. 2023, 291, 108806. [Google Scholar] [CrossRef]
- Jo, S.-G.; Kang, Y.-I.; Om, K.-S.; Cha, Y.-H.; Ri, S.-Y. Growth, Photosynthesis and Yield of Soybean in Ridge-Furrow Intercropping System of Soybean and Flax. Field Crops Res. 2022, 275, 108329. [Google Scholar] [CrossRef]
- Poole, H.A.; Seeley, J.G. Nitrogen, Potassium and Magnesium Nutrition of Three Orchid Genera. J. Am. Soc. Hortic. Sci. 1977, 103, 485–488. [Google Scholar] [CrossRef]
- Bichsel, R.G.; Starman, T.W.; Wang, Y.-T. Nitrogen, Phosphorus, and Potassium Requirements for Optimizing Growth and Flowering of the Nobile Dendrobium as a Potted Orchid. HortScience 2008, 43, 328–332. [Google Scholar] [CrossRef]
- Cibes, H.R.; Childers, N.F.; Loustalot, A.J. Influence of Mineral Deficiencies on Growth and Composition of Vanilla Vines. Plant Physiol. 1947, 22, 291–299. [Google Scholar] [CrossRef]
- Monnin, M.E.; Perret, J. Absorption of Nutrients and Growth of Vanilla (Vanilla planifolia). Tierra Trop. Sostenibilidad Ambiente Soc. 2013, 9, 29–37. [Google Scholar]





| N Rate (g N Plant−1 yr−1) | Fresh Weight (g) | Dry Weight (g) |
|---|---|---|
| 0 | 28.89 ± 9.21 | 5.57 ± 1.17 |
| 2 | 63.31 ± 8.44 | 10.70 ± 1.66 |
| 4 | 107.18 ± 40.41 | 16.33 ± 5.40 |
| 8 | 63.42 ± 9.26 | 12.81 ± 2.03 |
| 16 | 96.71 ± 8.25 | 14.91 ± 1.48 |
| 32 | 27.63 ± 7.38 | 9.70 ± 1.27 |
| Low | Medium | High | |
|---|---|---|---|
| Leaf N (%) | <1.5 | 1.7 | >2.2 |
| N rate (g N plant−1 yr−1) | 21 | 16 | 0 |
Disclaimer/Publisher’s Note: The statements, opinions and data contained in all publications are solely those of the individual author(s) and contributor(s) and not of MDPI and/or the editor(s). MDPI and/or the editor(s) disclaim responsibility for any injury to people or property resulting from any ideas, methods, instructions or products referred to in the content. |
© 2026 by the authors. Licensee MDPI, Basel, Switzerland. This article is an open access article distributed under the terms and conditions of the Creative Commons Attribution (CC BY) license.
Share and Cite
Taco, A.; Potts, J.; Schaffer, B.; Moon, P.; Wu, X.; Li, Y. Nitrogen Rate Optimization Improves Nitrogen Partitioning, Chlorophyll Status, and Vegetative Growth in Vanilla × tahitensis. Nitrogen 2026, 7, 29. https://doi.org/10.3390/nitrogen7010029
Taco A, Potts J, Schaffer B, Moon P, Wu X, Li Y. Nitrogen Rate Optimization Improves Nitrogen Partitioning, Chlorophyll Status, and Vegetative Growth in Vanilla × tahitensis. Nitrogen. 2026; 7(1):29. https://doi.org/10.3390/nitrogen7010029
Chicago/Turabian StyleTaco, Alejandra, Jesse Potts, Bruce Schaffer, Pamela Moon, Xingbo Wu, and Yuncong Li. 2026. "Nitrogen Rate Optimization Improves Nitrogen Partitioning, Chlorophyll Status, and Vegetative Growth in Vanilla × tahitensis" Nitrogen 7, no. 1: 29. https://doi.org/10.3390/nitrogen7010029
APA StyleTaco, A., Potts, J., Schaffer, B., Moon, P., Wu, X., & Li, Y. (2026). Nitrogen Rate Optimization Improves Nitrogen Partitioning, Chlorophyll Status, and Vegetative Growth in Vanilla × tahitensis. Nitrogen, 7(1), 29. https://doi.org/10.3390/nitrogen7010029

