Effect of Integrated Nutrient Management Through Targeted Yield Precision Model on Soil Microbes, Root Morphology, Productivity of Hybrid Castor on a Non-Calcareous Alfisol
Abstract
1. Introduction
2. Materials and Methods
2.1. Experimental Design
2.2. Sampling and Processing of Experimental Field Soil
2.3. Isolation and Counting of Microorganisms
2.4. Soil Enzyme Properties
2.5. Plant Harvest
2.6. Statistical Analysis
3. Results and Discussion
3.1. Castor Seed Yield and Response Ratio (RR) Under Inorganic Fertilisation Alone and Inorganic Fertilisation Cum Organic Manuring
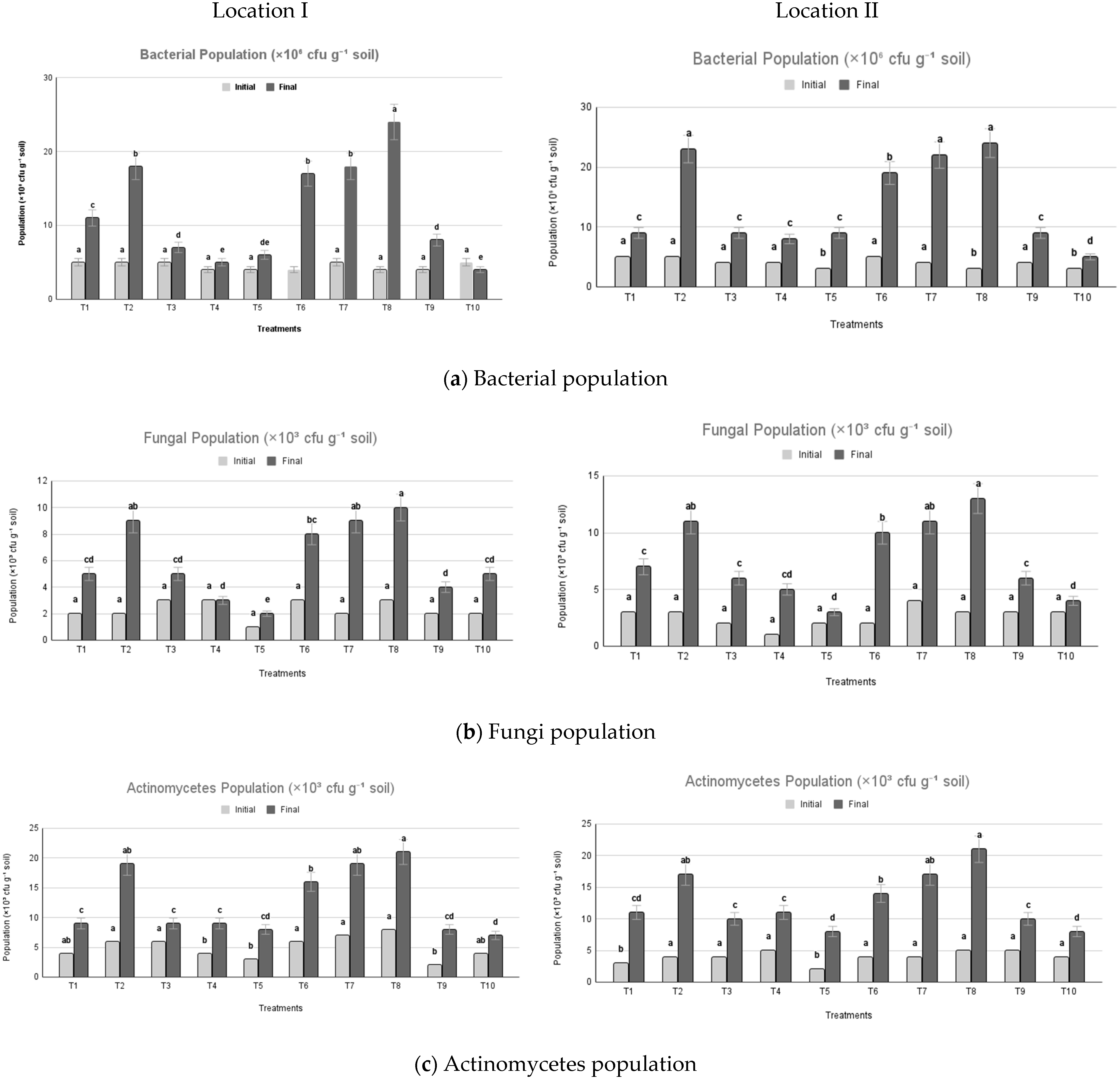
3.2. Impact of Different Fertilisation Approaches on Soil Microbial Population
3.3. Impact of Different Fertilisation Approaches on Soil Biological Properties
3.4. Effect of Different Fertilisation Approaches on Growth Parameters of Castor
3.5. Effect of Different Fertilisation Approaches on Root Length and Root Dry Matter
4. Conclusions
- ✓
- The equations should be used for similar and allied soils occurring in a particular agro-eco region.
- ✓
- Targets chosen should not be unduly high or low and should be within the range of experimental yields obtained and also based on the yield potential of castor in an agro-eco region.
- ✓
- Prescription equations must be used within the experimental range of soil test values and cannot be extrapolated.
- ✓
- Based on soil test values, secondary and micronutrient deficiencies should be corrected.
- ✓
- Recommended agronomic practices must be followed for raising castor.
Author Contributions
Funding
Institutional Review Board Statement
Data Availability Statement
Acknowledgments
Conflicts of Interest
References
- Dharajiya, D.T.; Shah, A.; Galvadiya, B.P.; Patel, M.; Srivastava, R.; Pagi, N.K.; Solanki, S.; Parida, S.K.; Tiwari, K.K. Genome-wide microsatellite markers in castor (Ricinus communis L.): Identification, development, characterization, and transferability in Euphorbiaceae. Ind. Crops Prod. 2020, 151, 112461. [Google Scholar] [CrossRef]
- Chakrabarty, S.; Islam, A.; Yaakob, Z.; Islam, A. Castor (Ricinus communis): An underutilized oil crop in the South East Asia. In Agroecosystems—Very Complex Environmental Systems; IntechOpen: London, UK, 2021; p. 61. [Google Scholar]
- Food and Agriculture Organization of the United Nations. Data. QC. 2020. Available online: http://www.fao.org/faostat/en/#data (accessed on 26 March 2021).
- Severino, L.S.; Auld, D.L. A framework for the study of the growth and development of castor plant. Ind. Crops Prod. 2013, 46, 25–38. [Google Scholar] [CrossRef]
- Rajamani, K.; Madhavi, A.; Srijaya, T.; Babu, P.S.; Dey, P. Validation of Target Yield based Fertilizer Prescription for Rabi Castor in Alfisol. Int. Res. J. Pure Appl. Chem. 2020, 21, 166–173. [Google Scholar] [CrossRef]
- Xue, X.; Mai, W.; Zhao, Z.; Zhang, K.; Tian, C. Optimized nitrogen fertilizer application enhances absorption of soil nitrogen and yield of castor with drip irrigation under mulch film. Ind. Crops Prod. 2017, 95, 156–162. [Google Scholar] [CrossRef]
- Dobermann, A.; Witt, C.; Abdulrachman, S.; Gines, H.; Nagarajan, R.; Son, T.; Tan, P.; Wang, G.; Chien, N.; Thoa, V. Estimating indigenous nutrient supplies for site-specific nutrient management in irrigated rice. Agron. J. 2003, 95, 924–935. [Google Scholar] [CrossRef]
- Troug, E. Fifty years of soil testing. In Proceedings of the 7th International Congress of Soil Science; Commission IV, Paper No. 7; Springer: Berlin/Heidelberg, Germany, 1960; Volume 3, pp. 46–53. [Google Scholar]
- Ramamoorthy, B.; Narasimham, R.; Dinesh, R. Fertilizer application for specific yield targets on Sonora 64 (wheat). Indian. Farming 1967, 17, 43–45. [Google Scholar]
- Santhi, R.; Bhaskaran, A.; Natesan, R. Integrated fertilizer prescriptions for beetroot through inductive cum targeted yield model on an alfisol. Commun. Soil Sci. Plant Anal. 2011, 42, 1905–1912. [Google Scholar] [CrossRef]
- Abishek, R.; Santhi, R.; Maragatham, S.; Venkatachalam, S.; Uma, D.; Lakshmanan, A. Response of hybrid castor under different fertility gradient: Correlation between castor yield and normalized difference vegetation index (NDVI) under inductive cum targeted yield model on an alfisol. Commun. Soil Sci. Plant Anal. 2023, 54, 1816–1831. [Google Scholar] [CrossRef]
- Wollum, A. Cultural methods for soil microorganisms. In Methods of Soil Analysis: Part 2 Chemical and Microbiological Properties; John Wiley & Sons: Hoboken, NJ, USA, 1983; Volume 9, pp. 781–802. [Google Scholar]
- Casida Jr, L.; Klein, D.A.; Santoro, T. Soil dehydrogenase activity. Soil Sci. 1964, 98, 371–376. [Google Scholar] [CrossRef]
- Tabatabai, M.A. Soil enzymes. In Methods of Soil Analysis: Part 2 Chemical and Microbiological Properties; John Wiley & Sons: Hoboken, NJ, USA, 1983; Volume 9, pp. 903–947. [Google Scholar]
- Tabatabai, M.; Bremner, J. Assay of urease activity in soils. Soil Biol. Biochem. 1972, 4, 479–487. [Google Scholar] [CrossRef]
- Humphries, E. Mineral components and ash analysis. In Moderne Methoden der Pflanzenanalyse/Modern Methods of Plant Analysis; Springer: Berlin/Heidelberg, Germany, 1956. [Google Scholar]
- Jackson, M. Soil Chemical Analysis, (2nd Indian Print) Prentice-Hall of India Pvt. Ltd. New Delhi 1973, 38, 336. [Google Scholar]
- Padmavathi, P.; Murthy, I.; Alivelu, K. Castor [Ricinus communis (L.)]-Sorghum [Sorghum bicolor (L.)] Cropping system productivity, soil chemical and biological fertility in response to conservation agriculture and nutrient management practices in Alfisols. Indian J. Dryland Agric. Res. Dev. 2015, 30, 62–67. [Google Scholar] [CrossRef]
- Dincă, L.C.; Grenni, P.; Onet, C.; Onet, A. Fertilization and soil microbial community: A review. Appl. Sci. 2022, 12, 1198. [Google Scholar] [CrossRef]
- Mandic, L.; Djukić, D.; Beatovic, I.; Jovovic, Z.; Pesakovic, M.; Stevovic, V. Effect of different fertilizers on the microbial activity and productivity of soil under potato cultivation. Afr. J. Biotechnol. 2011, 10, 6954–6960. [Google Scholar]
- Tao, R.; Liang, Y.; Wakelin, S.A.; Chu, G. Supplementing chemical fertilizer with an organic component increases soil biological function and quality. Appl. Soil Ecol. 2015, 96, 42–51. [Google Scholar] [CrossRef]
- Juan, L.; Zhao, B.-q.; Li, X.-y.; Jiang, R.-b.; Bing, S.H. Effects of long-term combined application of organic and mineral fertilizers on microbial biomass, soil enzyme activities and soil fertility. Agric. Sci. China 2008, 7, 336–343. [Google Scholar]
- Francioli, D.; Schulz, E.; Lentendu, G.; Wubet, T.; Buscot, F.; Reitz, T. Mineral vs. organic amendments: Microbial community structure, activity and abundance of agriculturally relevant microbes are driven by long-term fertilization strategies. Front. Microbiol. 2016, 7, 1446. [Google Scholar] [CrossRef]
- Guo, Z.; Han, J.; Li, J.; Xu, Y.; Wang, X. Effects of long-term fertilization on soil organic carbon mineralization and microbial community structure. PLoS ONE 2019, 14, e0211163. [Google Scholar]
- Ren, J.; Liu, X.; Yang, W.; Yang, X.; Li, W.; Xia, Q.; Li, J.; Gao, Z.; Yang, Z. Rhizosphere soil properties, microbial community, and enzyme activities: Short-term responses to partial substitution of chemical fertilizer with organic manure. J. Environ. Manag. 2021, 299, 113650. [Google Scholar] [CrossRef]
- Nakhro, N.; Dkhar, M. Populations and biomass carbon in paddy field soil. Agron. J. 2010, 9, 102–110. [Google Scholar] [CrossRef]
- Tian, J.; Lou, Y.; Gao, Y.; Fang, H.; Liu, S.; Xu, M.; Blagodatskaya, E.; Kuzyakov, Y. Response of soil organic matter fractions and composition of microbial community to long-term organic and mineral fertilization. Biol. Fertil. Soils 2017, 53, 523–532. [Google Scholar] [CrossRef]
- Meena, A.; Rao, K. Assessment of soil microbial and enzyme activity in the rhizosphere zone under different land use/cover of a semiarid region, India. Ecol. Process. 2021, 10, 16. [Google Scholar] [CrossRef]
- Trasar-Cepeda, C.; Leirós, M.; Gil-Sotres, F. Hydrolytic enzyme activities in agricultural and forest soils. Some implications for their use as indicators of soil quality. Soil Biol. Biochem. 2008, 40, 2146–2155. [Google Scholar] [CrossRef]
- Chu, H.; Lin, X.; Fujii, T.; Morimoto, S.; Yagi, K.; Hu, J.; Zhang, J. Soil microbial biomass, dehydrogenase activity, bacterial community structure in response to long-term fertilizer management. Soil Biol. Biochem. 2007, 39, 2971–2976. [Google Scholar] [CrossRef]
- Gunasekaran, Y.; Kaliappan; Bama, S. Developing Soil Quality Indices for different crop rotations of Deltaic Inceptisol regions of India. Commun. Soil Sci. Plant Anal. 2021, 52, 1363–1376. [Google Scholar] [CrossRef]
- Nannipieri, P.; Trasar-Cepeda, C.; Dick, R.P. Soil enzyme activity: A brief history and biochemistry as a basis for appropriate interpretations and meta-analysis. Biol. Fertil. Soils 2018, 54, 11–19. [Google Scholar] [CrossRef]
- Cabugao, K.G.; Timm, C.M.; Carrell, A.A.; Childs, J.; Lu, T.-Y.S.; Pelletier, D.A.; Weston, D.J.; Norby, R.J. Root and rhizosphere bacterial phosphatase activity varies with tree species and soil phosphorus availability in Puerto Rico tropical forest. Front. Plant Sci. 2017, 8, 1834. [Google Scholar] [CrossRef]
- Sharma, G.; Mishra, R. Soil microbial population numbers and enzyme activities in relation to altitude and forest degradation. Soil Biol. Biochem. 1992, 24, 761–767. [Google Scholar]
- Janes-Bassett, V.; Blackwell, M.S.A.; Blair, G.; Davies, J.; Haygarth, P.M.; Mezeli, M.M.; Stewart, G. A meta-analysis of phosphatase activity in agricultural settings in response to phosphorus deficiency. Soil Biol. Biochem. 2022, 165, 108537. [Google Scholar] [CrossRef]
- Mekonnen, E.; Kebede, A.; Nigussie, A.; Kebede, G.; Tafesse, M. Isolation and Characterization of Urease-Producing Soil Bacteria. Int. J. Microbiol. 2021, 2021, 8888641. [Google Scholar] [CrossRef]
- Mohammadi, K.; Sohrabi, Y.; Mokhtassi-Bidgoli, A.; Karimi Nezhad, M.T. Crop sequences and fertilization affect soil vital enzyme activities. Arch. Agron. Soil Sci. 2014, 60, 793–798. [Google Scholar] [CrossRef]
- Marschner, P. Marschner’s Mineral Nutrition of Higher Plants, 3rd ed.; Academic Press: London, UK, 2012. [Google Scholar]
- Wang, Y.; Mi, G.; Chen, F.; Zhang, F. Genotypic differences in nitrogen uptake by maize inbred lines its relation to root morphology. Acta Ecol. Sin. 2003, 23, 297–302. [Google Scholar]
- Mi, G.; Chen, F.; Wu, Q.; Lai, N.; Yuan, L.; Zhang, F. Ideotype root architecture for efficient nitrogen acquisition by maize in intensive cropping systems. Sci. China Life Sci. 2010, 53, 1369–1373. [Google Scholar] [CrossRef]
- Zhang, F.; Shen, J.; Zhang, J.; Zuo, Y.; Li, L.; Chen, X. Rhizosphere processes and management for improving nutrient use efficiency and crop productivity: Implications for China. Adv. Agron. 2010, 107, 1–32. [Google Scholar]







| Parameter | Location I | Location II |
|---|---|---|
| Latitude | 11°28′ N | 11°49′ N |
| Longitude | 77°54′ E | 77°99′ E |
| pH | 7.23 | 7.66 |
| EC (dS m−1) | 0.45 | 0.32 |
| Organic Carbon (%) | 0.53 | 0.62 |
| CEC c mol (p+) kg−1 | 24.8 | 28.5 |
| Soil texture | Sandy clay loam | Sandy clay loam |
| Major Nutrients (kg ha−1) | ||
| KMnO4-N | 261 | 265 |
| Olsen-P | 16 | 20 |
| NH4OAc-K | 207 | 261 |
| Micronutrients (mg kg−1) | ||
| DTPA-Zn | 3.42 | 2.01 |
| DTPA-Fe | 3.87 | 3.58 |
| DTPA-Mn | 12.41 | 8.54 |
| DTPA–Cu | 3.21 | 2.06 |
| Field operation | ||
| Date of Sowing | 22.12.21 | 29.12.21 |
| Date of Harvest | 24.05.21 | 29.05.21 |
| Sl. No. | Treatments | FYM (t ha−1) | Fertiliser Doses (kg ha−1) | Seed Yield (kg ha−1) | Per Cent Achieve-ment | RR (kg kg−1) | B.C Ratio | ||
|---|---|---|---|---|---|---|---|---|---|
| N | P2O5 | K2O | |||||||
| T1 | Blanket (100% RDF) | - | 90 | 45 | 45 | 2298 d | - | 5.78 | 2.43 |
| T2 | Blanket (100% RDF + FYM @12.5 t ha−1) | 12.5 | 90 | 45 | 45 | 2467 bc | - | 5.12 | 2.52 |
| T3 | STCR-NPK alone −2.25 t ha−1 | - | 51 | 46 | 51 | 2325 d | 103.3 | 7.21 | 2.47 |
| T4 | STCR-NPK alone −2.5 t ha−1 | - | 77 | 58 | 66 | 2512 b | 100.5 | 6.24 | 2.60 |
| T5 | STCR-NPK alone −2.75 t ha−1 | - | 103 | 67.5 ** | 67.5 ** | 2682 a | 97.5 | 5.98 | 2.77 |
| T6 | STCR-IPNS −2.25 t ha−1 | 12.5 | 45 * | 26 | 22.5 * | 2371 cd | 105.4 | 7.52 | 2.51 |
| T7 | STCR-IPNS −2.5 t ha−1 | 12.5 | 45 * | 37 | 37 | 2539 b | 101.6 | 6.37 | 2.64 |
| T8 | STCR-IPNS −2.75 t ha−1 | 12.5 | 67 | 49 | 53 | 2726 a | 99.1 | 6.17 | 2.79 |
| T9 | Farmer’s practice | - | 40 | 20 | 20 | 1615 e | - | 4.46 | 1.77 |
| T10 | Absolute control | - | 0 | 0 | 0 | 1258 f | - | - | 1.43 |
| Sl. No. | Treatments | FYM (t ha−1) | Fertiliser Doses (kg ha−1) | Seed Yield (kg ha−1) | Per Cent Achieve-ment | RR (kg kg−1) | B.C Ratio | ||
|---|---|---|---|---|---|---|---|---|---|
| N | P2O5 | K2O | |||||||
| T1 | Blanket (100% RDF) | - | 90 | 45 | 45 | 2247 d | - | 5.19 | 2.38 |
| T2 | Blanket (100% RDF + FYM @12.5 t ha−1) | 12.5 | 90 | 45 | 45 | 2380 bc | - | 4.49 | 2.43 |
| T3 | STCR- NPK alone −2.25 t ha−1 | - | 48 | 32 | 27 | 2282 cd | 101.4 | 9.07 | 2.47 |
| T4 | STCR-NPK alone −2.5 t ha−1 | - | 74 | 44 | 43 | 2439 b | 97.6 | 7.00 | 2.59 |
| T5 | STCR-NPK alone −2.75 t ha−1 | - | 100 | 55 | 58 | 2628 a | 95.6 | 6.18 | 2.74 |
| T6 | STCR-IPNS −2.25 t ha−1 | 12.5 | 45 * | 22.5 * | 22.5 * | 2385 bc | 106.0 | 10.03 | 2.52 |
| T7 | STCR-IPNS −2.5 t ha−1 | 12.5 | 45 * | 24 | 22.5 * | 2461 b | 98.4 | 7.14 | 2.60 |
| T8 | STCR-IPNS −2.75 t ha−1 | 12.5 | 63 | 36 | 28 | 2695 a | 98.0 | 6.49 | 2.80 |
| T9 | Farmer’s practice | - | 40 | 20 | 20 | 1612 e | - | 3.75 | 1.77 |
| T10 | Absolute control | - | 0 | 0 | 0 | 1312 f | - | - | 1.49 |
Disclaimer/Publisher’s Note: The statements, opinions and data contained in all publications are solely those of the individual author(s) and contributor(s) and not of MDPI and/or the editor(s). MDPI and/or the editor(s) disclaim responsibility for any injury to people or property resulting from any ideas, methods, instructions or products referred to in the content. |
© 2025 by the authors. Licensee MDPI, Basel, Switzerland. This article is an open access article distributed under the terms and conditions of the Creative Commons Attribution (CC BY) license (https://creativecommons.org/licenses/by/4.0/).
Share and Cite
Ravichandran, A.; Rangasamy, S.; Subramaniam, M.; Myleswami, G.; Vadivel, D.; Thangavel, P.; Arumugam, N.; Nedunchezhiyan, V.; Chandrasekar, D. Effect of Integrated Nutrient Management Through Targeted Yield Precision Model on Soil Microbes, Root Morphology, Productivity of Hybrid Castor on a Non-Calcareous Alfisol. Nitrogen 2025, 6, 95. https://doi.org/10.3390/nitrogen6040095
Ravichandran A, Rangasamy S, Subramaniam M, Myleswami G, Vadivel D, Thangavel P, Arumugam N, Nedunchezhiyan V, Chandrasekar D. Effect of Integrated Nutrient Management Through Targeted Yield Precision Model on Soil Microbes, Root Morphology, Productivity of Hybrid Castor on a Non-Calcareous Alfisol. Nitrogen. 2025; 6(4):95. https://doi.org/10.3390/nitrogen6040095
Chicago/Turabian StyleRavichandran, Abishek, Santhi Rangasamy, Maragatham Subramaniam, Gopalakrishnan Myleswami, Dhinesh Vadivel, Poovarasan Thangavel, Naveenkumar Arumugam, Vinothini Nedunchezhiyan, and Dineshkumar Chandrasekar. 2025. "Effect of Integrated Nutrient Management Through Targeted Yield Precision Model on Soil Microbes, Root Morphology, Productivity of Hybrid Castor on a Non-Calcareous Alfisol" Nitrogen 6, no. 4: 95. https://doi.org/10.3390/nitrogen6040095
APA StyleRavichandran, A., Rangasamy, S., Subramaniam, M., Myleswami, G., Vadivel, D., Thangavel, P., Arumugam, N., Nedunchezhiyan, V., & Chandrasekar, D. (2025). Effect of Integrated Nutrient Management Through Targeted Yield Precision Model on Soil Microbes, Root Morphology, Productivity of Hybrid Castor on a Non-Calcareous Alfisol. Nitrogen, 6(4), 95. https://doi.org/10.3390/nitrogen6040095

