Improving Nitrogen Availability and Crop Productivity Using Bioameliorants in Maize–Soybean Intercropping on Suboptimal Land
Abstract
1. Introduction
2. Materials and Methods
2.1. Study Site and Experiment Design
2.2. Plant Sampling and Analysis
2.3. Analysis of Soil Physicochemical Characteristics
2.4. Bioameliorant Manufacturing
2.5. Land Preparation and Planting Materials
2.6. Mycorrhizal Applications, Bioameliorants, and Plant Maintenance
2.7. Observation of Parameters
2.8. Data Analysis
3. Results
3.1. Initial Soil Properties Limiting Nitrogen Availability in Sandy Soi
3.2. Soil Nitrogen Concentration and Its Effect on Plant Nutrient Uptake
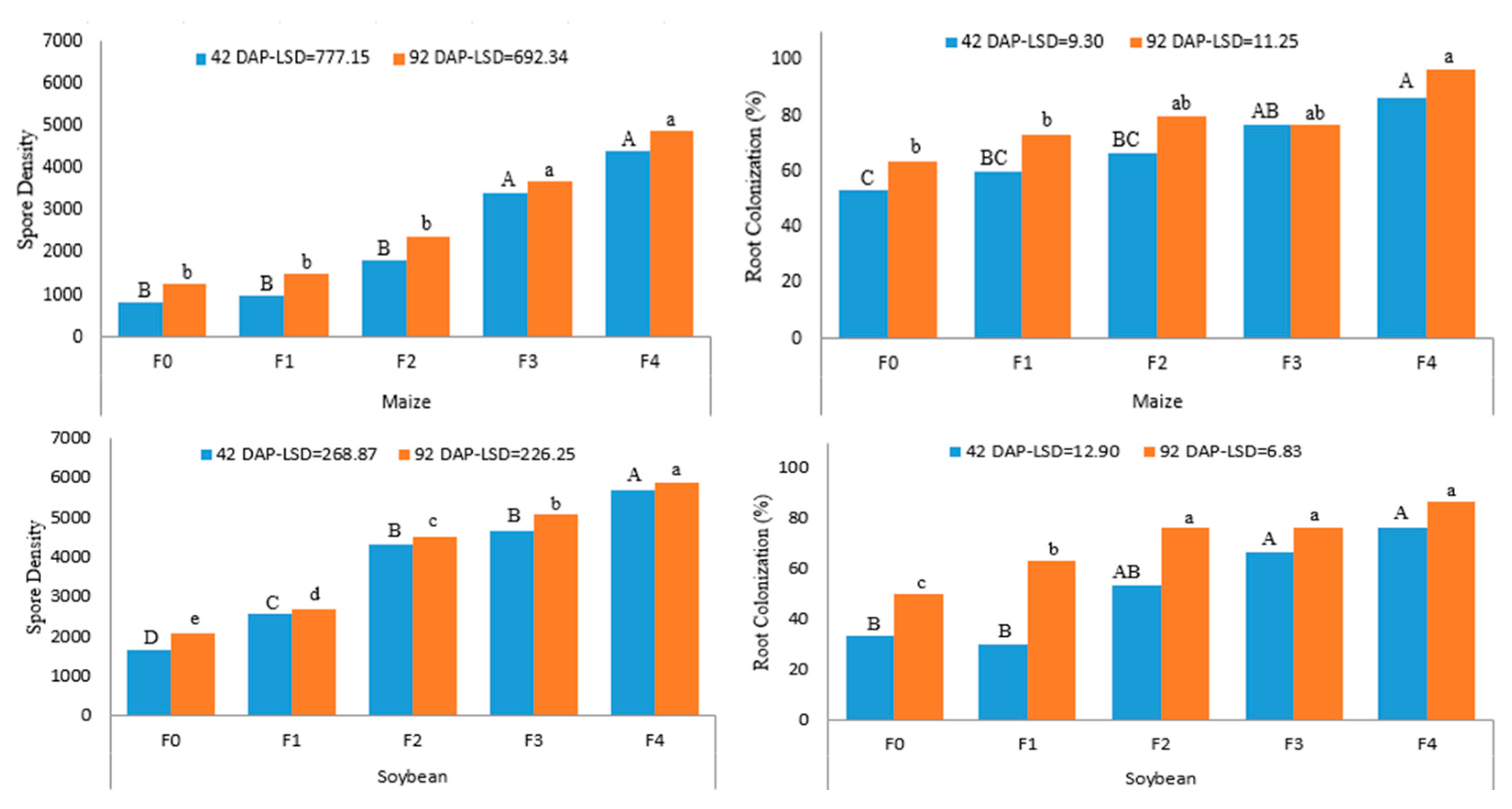
3.3. Spore Number and Root Colonization by Mycorrhizae
3.4. Maize and Soybean Yield
3.5. Micromorphological Characteristics of Bioameliorants
3.6. Differentiation Analysis of Bioameliorant Composition Based on SEM-EDX Results
4. Discussion
4.1. Physicochemical Properties of Sandy Soils Constraining Nitrogen Availability
4.2. Enhanced Soil Nitrogen Availability and Plant Uptake Through Bioameliorant Applications
4.3. Effects of Bioameliorant Composition on AMF Spore Density and Root Colonization
4.4. Impact of Bioameliorant Composition on Crop Yield
4.5. Role of Bioameliorant Microstructure in Nitrogen Cycling and Crop Performance
4.6. Elemental Composition and Soil Fertility Implications
5. Conclusions
- The application of bioameliorants significantly improved soil fertility, nutrient availability, and crop productivity in maize–soybean intercropping systems on sandy soils. Among all treatments, the balanced F4 formulation (25% compost, 25% rice husk biochar, 25% cattle manure, and 25% mycorrhizal biofertilizer) was the most effective, enhancing nitrogen and phosphorus availability, increasing soil organic matter, and stimulating microbial activity.
- Yield improvements in both maize and soybean were strongly linked to greater nutrient use efficiency, higher AMF colonization, and improved soil health. These results demonstrate that bioameliorants provide dual benefits: immediate yield gains and long-term enhancement of soil resilience and fertility.
- Optimized bioameliorant formulations therefore represent a practical and sustainable strategy to reduce dependence on chemical fertilizers and to strengthen ecological resilience in nutrient-deficient sandy agroecosystems, contributing to the development of nitrogen-efficient and climate-resilient intercropping systems.
Author Contributions
Funding
Data Availability Statement
Acknowledgments
Conflicts of Interest
References
- Suriadi, A.; Mulyani, A.; Hadiawati, L. Biophysical characteristics of dry-climate upland and agriculture development challenges in West Nusa Tenggara and East Nusa Tenggara Provinces. IOP Conf. Ser. Earth Environ. Sci. 2021, 648, 012014. [Google Scholar] [CrossRef]
- Lehman, R.M.; Cambardella, C.A.; Stott, D.E.; Acosta-Martinez, V.; Manter, D.K.; Buyer, J.S.; Karlen, D.L. Understanding and enhancing soil biological health: The solution for reversing soil degradation. Sustainability 2015, 7, 988–1027. [Google Scholar] [CrossRef]
- Simarmata, T.; Turmuktini, T.; Fitriatin, B.N.; Setiawati, M.R. Application of bio-ameliorant and biofertilizers to increase the soil health and rice productivity. Hayati J. Biosci. 2016, 23, 181–184. [Google Scholar] [CrossRef]
- Allohverdi, T.; Mohanty, A.K.; Roy, P.; Misra, M. A review on current status of biochar uses in agriculture. Molecules 2021, 26, 5584. [Google Scholar] [CrossRef]
- Ampong, K.; Thilakaranthna, M.S.; Gorim, L.Y. Understanding the role of humic acids on crop performance and soil health. Front. Agron. 2022, 4, 848621. [Google Scholar] [CrossRef]
- Smith, S.E.; Read, D.J. Mycorrhizal Symbiosis, 3rd ed.; Academic Press: Cambridge, MA, USA, 2010. [Google Scholar]
- Berruti, A.; Lumini, E.; Balestrini, R.; Bianciotto, V. Arbuscular mycorrhizal fungi as natural biofertilizers: Let’s benefit from past successes. Front. Microbiol. 2016, 6, 1559. [Google Scholar] [CrossRef]
- Astiko, W.; Sastrahidayat, I.R.; Djauhari, S.; Muhibuddin, A. The role of indigenous mycorrhiza in combination with cattle manure in improving maize yield (Zea mays L.) on sandy loam of northern Lombok, eastern of Indonesia. J. Trop. Soils 2013, 18, 53–58. [Google Scholar] [CrossRef]
- Astiko, W.; Wangiyana, W.; Susilowati, L.E. Indigenous mycorrhizal seed-coating inoculation on plant growth and yield, and NP-uptake and availability on maize–sorghum cropping sequence in Lombok’s drylands. Pertanika J. Trop. Agric. Sci. 2019, 42, 939–950. [Google Scholar]
- Astiko, W.; Fauzi, M.T. Nutrient status and mycorrhizal population on various food crops grown following corn inoculated with indigenous mycorrhiza on sandy soil of North Lombok, Indonesia. J. Trop. Soils 2015, 20, 119–125. [Google Scholar] [CrossRef]
- Mazzafera, P.; Favarin, J.L.; Andrade, S.A.L.D. Intercropping systems in sustainable agriculture. Front. Sustain. Food Syst. 2021, 5, 634361. [Google Scholar] [CrossRef]
- Zhang, L.; Feng, Y.; Zhao, Z.; Cui, Z.; Baoyin, B.; Wang, H.; Cui, J. Maize/soybean intercropping with nitrogen supply levels increases maize yield and nitrogen uptake by influencing the rhizosphere bacterial diversity of soil. Front. Plant Sci. 2024, 15, 1437631. [Google Scholar] [CrossRef]
- Zhang, H.; Zeng, F.; Zou, Z.; Zhang, Z.; Li, Y. Nitrogen uptake and transfer in a soybean/maize intercropping system in the karst region of southwest China. Ecol. Evol. 2017, 7, 8419–8426. [Google Scholar] [CrossRef]
- Winarti, C.; Widayanti, S.M.; Setyawan, N.; Suryana, E.A.; Widowati, S. Nutrient composition of Indonesian specialty cereals: Rice, corn, and sorghum as alternatives to combat malnutrition. Prev. Nutr. Food Sci. 2023, 28, 471–481. [Google Scholar] [CrossRef]
- Prasetyo, O.R.; Kadir, K. Does government assistance increase the yield of food crops in Indonesia? J. Ekon. Indones. 2024, 13, 25–41. [Google Scholar] [CrossRef]
- Rinaldi, J.; Arya, N.N.; Mahaputra, I.K.; Elisabeth, D.A.A.; Resiani, N.M.D.; Arsana, I.G.K.D.; Silitonga, T.F. Production factors, technical, and economic efficiency of soybean (Glycine max L. Merr.) farming in Indonesia. Open Agric. 2023, 8, 20220194. [Google Scholar] [CrossRef]
- Astiko, W.; Ernawati, N.M.L.; Silawibawa, I.P. The application of several bioameliorant formulations to increase soil nutrient concentration and yields maize–soybeans intercropping flexible to climate change in suboptimal land North Lombok, Indonesia. IOP Conf. Ser. Earth Environ. Sci. 2023, 1253, 012036. [Google Scholar] [CrossRef]
- Astiko, W.; Fauzi, M.T.; Muthahanas, I.; Ernawati, N.M.L. Nitrogen and phosphorus status, mycorrhizal development and crop yields in maize–soybean intercropping for sustainable agriculture in drylands. J. Lifestyle SDGs Rev. 2025, 5, e04667. [Google Scholar] [CrossRef]
- Astiko, W.; Ernawati, N.M.L.; Silawibawa, I.P. The yield of maize–soybean intercropping on mycorrhizal inoculation treatment and plant nutrition provision in suboptimal land North Lombok, Indonesia. IOP Conf. Ser. Earth Environ. Sci. 2022, 1107, 012006. [Google Scholar] [CrossRef]
- Astiko, W.; Ernawati, N.M.L.; Silawibawa, I.P. Impact of different soil tillage added bio-ameliorant on nutrient concentration and growth maize–soybean intercropping adaptive to climate change in dry land. E3S Web Conf. 2023, 467, 01001. [Google Scholar] [CrossRef]
- Casler, M.D. Fundamentals of experimental design: Guidelines for designing successful experiments. Agron. J. 2015, 107, 692–705. [Google Scholar] [CrossRef]
- Barillot, C.D.; Sarde, C.; Lebeau, T.; Rodier, C.; Ducombs, G.; Loisel, F.; Bertrand, C.; Planty-Tabacchi, A. A standardized method for the sampling of rhizosphere and rhizoplan soil bacteria associated to a herbaceous root system. Ann. Microbiol. 2013, 63, 597–606. [Google Scholar] [CrossRef]
- Rayment, G.E.; Lyons, D.J. Soil Chemical Methods—Australasia; CSIRO Publishing: Collingwood, VIC, Australia, 2011; ISBN 978-0-643-06768-4. [Google Scholar]
- Harsono, A.; Harnowo, D.; Ginting, E.; Elisabeth, D.A.A. Soybean in Indonesia: Current status, challenges and opportunities to achieve self-sufficiency. In Soybean for Human Consumption and Animal Feed; IntechOpen: London, UK, 2021; Available online: https://www.intechopen.com/chapters/79556 (accessed on 8 August 2025).
- Astiko, W.; Ernawati, N.M.L.; Silawibawa, I.P. The effect of plant density at the maize–soybean intercropping pattern inoculated with mycorrhizae and organic fertilizer to the growth and yield in dry land North Lombok, Indonesia. Int. J. Innov. Sci. Res. Technol. 2020, 5, 260–266. [Google Scholar] [CrossRef]
- Rose, A.H. Chemical Microbiology: An Introduction to Microbial Physiology; Elsevier: Amsterdam, The Netherlands, 2014. [Google Scholar]
- Jones, J.B. Laboratory Guide for Conducting Soil Tests and Plant Analysis; CRC Press: Boca Raton, FL, USA, 2001. [Google Scholar]
- Bray, R.H.; Kurtz, L.T. Determination of total, organic, and available forms of phosphorus in soils. Soil Sci. 1945, 59, 39–46. [Google Scholar] [CrossRef]
- Brundrett, M.; Bougher, N.; Dell, B.; Grove, T.; Malajczuk, N. Examining Mycorrhizal Associations. In Working with Mycorrhizas in Forestry and Agriculture; ACIAR Monograph: Canberra, Australia, 1996; Volume 32, pp. 173–212. [Google Scholar]
- Kormanik, P.P.; McGraw, A.C. Quantification of vesicular-arbuscular mycorrhiza in plant roots. In Methods and Principles of Mycorrhizal Research; Schenk, N.C., Ed.; The American Phytopathological Society: St. Paul, MN, USA, 1982; p. 244. [Google Scholar]
- Giovannetti, M.; Mosse, B. An evaluation of techniques for measuring vesicular arbuscular mycorrhizal infection in roots. New Phytol. 1980, 84, 489–500. [Google Scholar] [CrossRef]
- Kaech, A. An Introduction to Electron Microscopy Instrumentation, Imaging and Preparation; Center for Microscopy and Image Analysis, University of Zurich: Zurich, Switzerland, 2013; pp. 1–28. [Google Scholar]
- Gomez, K.A.; Gomez, A.A. Statistical Procedures for Agricultural Research, 2nd ed.; John Wiley & Sons: New York, NY, USA, 1984. [Google Scholar]
- Brady, N.C.; Weil, R.R. The Nature and Properties of Soils, 15th ed.; Pearson Education: London, UK, 1996. [Google Scholar]
- Ross, S.M. Organic matter in tropical soils: Current conditions, concerns and prospects for conservation. Prog. Phys. Geogr. 1993, 17, 157–179. [Google Scholar] [CrossRef]
- Luo, X.; Elrys, A.S.; Zhang, L.; Ibrahim, M.M.; Liu, Y.; Fu, S.; Hou, E. The global fate of inorganic phosphorus fertilizers added to terrestrial ecosystems. One Earth 2024, 7, 1402–1413. [Google Scholar] [CrossRef]
- Ghodszad, L.; Reyhanitabar, A.; Maghsoodi, M.R.; Lajayer, B.A.; Chang, S.X. Biochar Affects the Fate of Phosphorus in Soil and Water: A Critical Review. Chemosphere 2021, 283, 131176. [Google Scholar] [CrossRef]
- Hazelton, P.; Murphy, B. Interpreting Soil Test Results: What Do All the Numbers Mean? CSIRO Publishing: Clayton, Australia, 2016. [Google Scholar]
- Obalum, S.E.; Chibuike, G.U.; Peth, S.; Ouyang, Y. Soil organic matter as sole indicator of soil degradation. Environ. Monit. Assess. 2017, 189, 176. [Google Scholar] [CrossRef]
- Rawls, W.J.; Pachepsky, Y.A.; Ritchie, J.C.; Sobecki, T.M.; Bloodworth, H. Effect of soil organic carbon on soil water retention. Geoderma 2003, 116, 61–76. [Google Scholar] [CrossRef]
- Six, J.; Frey, S.D.; Thiet, R.K.; Batten, K.M. Bacterial and fungal contributions to carbon sequestration in agroecosystems. Soil Sci. Soc. Am. J. 2006, 70, 555–569. [Google Scholar] [CrossRef]
- Qiu, Y.; Wang, Z.; Sun, D.; Lei, Y.; Li, Z.; Zheng, Y. Advances in Water and Nitrogen Management for Intercropping Systems: Crop Growth and Soil Environment. Agronomy 2025, 15, 2000. [Google Scholar] [CrossRef]
- Turner, B.L. Organic phosphorus transfer from terrestrial to aquatic environments. In Organic Phosphorus in the Environment; Turner, B.L., Frossard, E., Baldwin, D.S., Eds.; CABI: Wallingford, UK, 2005; pp. 269–294. [Google Scholar]
- Tejada, M.; Benítez, C. Effects of different organic wastes on soil biochemical properties and yield in an olive grove. Appl. Soil Ecol. 2020, 146, 103371. [Google Scholar] [CrossRef]
- Jones, D.L.; Oburger, E. Solubilization of phosphorus by soil microorganisms. In Phosphorus in Action: Biological Processes in Soil Phosphorus Cycling; Bünemann, E.K., Oberson, A., Frossard, E., Eds.; Springer: Berlin/Heidelberg, Germany, 2010; pp. 169–198. [Google Scholar] [CrossRef]
- Ebbisa, A. Arbuscular mycorrhizal fungi (AMF) in optimizing nutrient bioavailability and reducing agrochemicals for maintaining sustainable agroecosystems. In Arbuscular Mycorrhizal Fungi in Agriculture—New Insights; IntechOpen: London, UK, 2022; Available online: https://www.intechopen.com/chapters/83426 (accessed on 10 August 2025).
- Jatana, B.S.; Kitchens, C.; Ray, C.; Gerard, P.; Tharayil, N. Dual inoculation with arbuscular mycorrhizal fungi and phosphorus solubilizing fungi synergistically enhances the mobilization and plant uptake of phosphorus from meat and bone meal. Front. Soil Sci. 2021, 1, 757839. [Google Scholar] [CrossRef]
- Wahid, F.; Fahad, S.; Danish, S.; Adnan, M.; Yue, Z.; Saud, S.; Datta, R. Sustainable management with mycorrhizae and phosphate solubilizing bacteria for enhanced phosphorus uptake in calcareous soils. Agriculture 2020, 10, 334. [Google Scholar] [CrossRef]
- Gai, X.; Liu, H.; Liu, J.; Zhai, L.; Yang, B.O.; Wu, S.; Wang, H. Long-term benefits of combining chemical fertilizer and manure applications on crop yields and soil carbon and nitrogen stocks in North China Plain. Agric. Water Manag. 2018, 208, 384–392. [Google Scholar] [CrossRef]
- Akmal, M.; Maqbool, Z.; Khan, K.S.; Hussain, Q.; Ijaz, S.S.; Iqbal, M.; Rafa, H.U. Integrated use of biochar and compost to improve soil microbial activity, nutrient availability, and plant growth in arid soil. Arab. J. Geosci. 2019, 12, 232. [Google Scholar] [CrossRef]
- Singh, N.K.; Sachan, K.; Bp, M.; Panotra, N.; Katiyar, D. Building soil health and fertility through organic amendments and practices: A review. Asian J. Soil Sci. Plant Nutr. 2024, 10, 175–197. [Google Scholar] [CrossRef]
- Vance, C.P.; Uhde-Stone, C.; Allan, D.L. Phosphorus acquisition and use: Critical adaptations by plants for securing a nonrenewable resource. New Phytol. 2003, 157, 423–447. [Google Scholar] [CrossRef]
- Hinsinger, P.; Betencourt, E.; Bernard, L.; Brauman, A.; Plassard, C.; Shen, J.; Tang, X.; Zhang, F. P for two, sharing a scarce resource: Soil phosphorus acquisition in the rhizosphere of intercropped species. Plant Physiol. 2011, 156, 1078–1086. [Google Scholar] [CrossRef]
- Li, L.; Tilman, D.; Lambers, H.; Zhang, F. Plant diversity and overyielding: Insights from belowground facilitation of intercropping in agriculture. New Phytol. 2014, 203, 63–69. [Google Scholar] [CrossRef]
- Folina, A.; Kakabouki, I.; Baginetas, K.; Bilalis, D. Integration of bioresources for sustainable development in organic farming: A comprehensive review. Resources 2025, 14, 102. [Google Scholar] [CrossRef]
- Vahedi, R.; Rasouli-Sadaghiani, M.; Barin, M.; Vetukuri, R.R. Interactions between biochar and compost treatment and mycorrhizal fungi to improve the qualitative properties of a calcareous soil under rhizobox conditions. Agriculture 2021, 11, 993. [Google Scholar] [CrossRef]
- Wang, G.; Wu, F.; Gao, M.; Cheng, H.; Zhang, F. Rhizobia and arbuscular mycorrhizal fungi synergistically enhance AMF spore density and colonization in soybean rhizospheres. Agronomy 2023, 13, 738. [Google Scholar] [CrossRef]
- Liu, Y.; Rong, Q.; Chen, S.; Wei, X. Arbuscular mycorrhizal fungi promote root length, surface area, and volume in maize under sandy and saline–alkali soil conditions. Plants 2024, 13, 2056. [Google Scholar] [CrossRef]
- Redecker, D.; Kodner, R.; Graham, L.E. Glomalean fungi from the Ordovician: A 460-million-year-old fossil similar to modern mycorrhizae. Science 2000, 289, 1920–1921. [Google Scholar] [CrossRef]
- Hammer, E.C.; Nasr, H.; Wallander, H. Effects of different organic materials and mineral nutrients on arbuscular mycorrhizal fungal growth in a Mediterranean saline dryland. Soil Biol. Biochem. 2011, 43, 2332–2337. [Google Scholar] [CrossRef]
- Li, M.; Cai, L. Biochar and arbuscular mycorrhizal fungi play different roles in enabling maize to uptake phosphorus. Sustainability 2021, 13, 3244. [Google Scholar] [CrossRef]
- Teodoro, M.; Trakal, L.; Gallagher, B.N.; Šimek, P.; Soudek, P.; Pohořelý, M.; Beesley, L.; Jačka, L.; Kovář, M.; Seyedsadr, S. Application of co-composted biochar significantly improved plant-growth relevant physical/chemical properties of a metal contaminated soil. Chemosphere 2020, 242, 125255. [Google Scholar] [CrossRef]
- Atangana, A.; Khasa, D.; Chang, S.; Degrande, A. Biological nitrogen fixation and mycorrhizal associations in agroforestry. In Tropical Agroforestry; Springer: Dordrecht, The Netherlands, 2013; pp. 173–202. [Google Scholar] [CrossRef]
- Zhang, M.; Li, X.; Wang, H.; Huang, Q. Comprehensive analysis of grazing intensity impacts on soil organic carbon: A case study in typical steppe of Inner Mongolia, China. Appl. Soil Ecol. 2018, 129, 1–12. [Google Scholar] [CrossRef]
- Ahmed, N.; Li, J.; Li, Y.; Deng, L.; Deng, L.; Chachar, M.; Tu, P. Symbiotic synergy: How arbuscular mycorrhizal fungi enhance nutrient uptake, stress tolerance, and soil health through molecular mechanisms and hormonal regulation. IMA Fungus 2025, 16, e144989. [Google Scholar] [CrossRef] [PubMed]
- Cong, W.-F.; Hoffland, E.; Li, L.; Six, J.; Sun, J.-H.; Bao, X.-G.; Zhang, F.-S.; Van Der Werf, W. Intercropping enhances soil carbon and nitrogen. Glob. Change Biol. 2015, 21, 1715–1726. [Google Scholar] [CrossRef]
- Zhang, S.; Li, S.; Meng, L.; Liu, X.; Zhang, Y.; Zhao, S.; Zhao, H. Root exudation under maize/soybean intercropping system mediates the arbuscular mycorrhizal fungi diversity and improves plant growth. Front. Plant Sci. 2024, 15, 1375194. [Google Scholar] [CrossRef]
- Tian, Q.; Wang, X.; Zhang, X.; Shen, J. Multifaceted ability of organic fertilizers to improve crop yield, soil fertility, and nutrient use efficiency—A review. Agronomy 2024, 14, 1141. [Google Scholar] [CrossRef]
- Chandrasekaran, M. Arbuscular Mycorrhizal Fungi Mediated Enhanced Biomass, Root Morphological Traits and Nutrient Uptake under Drought Stress: A Meta-Analysis. J. Fungi 2022, 8, 660. [Google Scholar] [CrossRef] [PubMed]
- Khan, A.; Singh, A.V.; Gautam, S.S.; Agarwal, A.; Punetha, A.; Upadhayay, V.K.; Goel, R. Microbial Bioformulation: A Microbial Assisted Biostimulating Fertilization Technique for Sustainable Agriculture. Front. Plant Sci. 2023, 14, 1270039. [Google Scholar] [CrossRef] [PubMed]
- Ndiate, N.I.; Saeed, Q.; Haider, F.U.; Liqun, C.; Nkoh, J.N.; Mustafa, A. Co-Application of Biochar and Arbuscular Mycorrhizal Fungi Improves Salinity Tolerance, Growth and Lipid Metabolism of Maize (Zea mays L.) in an Alkaline Soil. Plants 2021, 10, 2490. [Google Scholar] [CrossRef] [PubMed]
- Agegnehu, G.; Bass, A.M.; Nelson, P.N.; Bird, M.I. Benefits of Biochar, Compost and Biochar–Compost for Soil Quality, Maize Yield and Greenhouse Gas Emissions in a Tropical Agricultural Soil. Sci. Total Environ. 2016, 543, 295–306. [Google Scholar] [CrossRef]
- Thuita, M.; Pypers, P.; Herrmann, L.; Okalebo, R.J.; Othieno, C.; Muema, E.; Lesueur, D. Commercial Rhizobial Inoculants Enhanced Growth and Grain Yield of Soybean in Kenyan Soils. Field Crops Res. 2012, 127, 129–136. [Google Scholar]
- Kohler, J.; Caravaca, F.; Azcón, R.; Díaz, G.; Roldán, A. The Combination of Compost Addition and Arbuscular Mycorrhizal Inoculation Produced Positive and Synergistic Effects on the Phytomanagement of a Semiarid Mine Tailing. Sci. Total Environ. 2015, 514, 42–48. [Google Scholar] [CrossRef]
- Berthelsen, S.; Noble, A.D.; Ruaysoongnerm, S.; Webb, M.; Hengfu, H.; Jiexiang, Y. Addition of Clay-Based Soil Ameliorants to Light Textured Soils to Reduce Nutrient Loss and Increase Crop Productivity. In Management of Tropical Sandy Soils for Sustainable Agriculture; FAO: Khon Kaen, Thailand, 2005; pp. 373–388. ISBN 978-974-7946-96-3. [Google Scholar]
- Alkharabsheh, H.M.; Seleiman, M.F.; Battaglia, M.L.; Shami, A.; Jalal, R.S.; Alhammad, B.A.; Almutairi, K.F.; Al-Saif, A.M. Biochar and Its Broad Impacts in Soil Quality and Fertility, Nutrient Leaching and Crop Productivity: A Review. Agronomy 2021, 11, 993. [Google Scholar] [CrossRef]
- Tsai, C.-C.; Chang, Y.-F. Nitrogen Availability in Biochar-Amended Soils with Excessive Compost Application. Agronomy 2020, 10, 444. [Google Scholar] [CrossRef]
- Yang, Y.; Liu, X.; Li, Y.; Xiao, J.; Wang, R.; Zhang, M.; Wang, Z. Soil Pore Structure Changes Induced by Biochar Affect Microbial Diversity and Community Structure in an Ultisol Amended with Straw-Derived Biochars. Soil Tillage Res. 2022, 224, 105505. [Google Scholar] [CrossRef]
- Kallenbach, C.M.; Frey, S.D.; Grandy, A.S. Direct Evidence for Microbial-Derived Soil Organic Matter Formation and Its Ecophysiological Controls. Nat. Commun. 2016, 7, 13630. [Google Scholar] [CrossRef]
- Kravchenko, A.N.; Guber, A.K.; Razavi, B.S.; Koestel, J.; Quigley, M.Y.; Robertson, G.P.; Kuzyakov, Y. Microbial Spatial Footprint as a Driver of Soil Carbon Stabilization. Nat. Commun. 2019, 10, 3121. [Google Scholar] [CrossRef] [PubMed]
- Luo, P.; Zhang, W.; Xiao, D.; Hu, J.; Li, N.; Yang, J. Biochar-Based Fertilizers: Advancements, Applications, and Future Directions in Sustainable Agriculture—A Review. Agronomy 2025, 15, 1104. [Google Scholar] [CrossRef]
- Agegnehu, G.; Srivastava, A.K.; Bird, M.I. The Role of Biochar and Compost in Improving Soil Fertility and Crop Performance: A Review. Appl. Soil Ecol. 2017, 119, 156–170. [Google Scholar] [CrossRef]
- Klabi, R.; Hamel, C.; Schellenberg, M.P.; Iwaasa, A.; Raies, A.; St-Arnaud, M. Interaction between Legume and Arbuscular Mycorrhizal Fungi Identity Alters the Competitive Ability of Warm-Season Grass Species in a Grassland Community. Soil Biol. Biochem. 2014, 70, 176–182. [Google Scholar] [CrossRef]
- Van der Heijden, M.G.A.; Martin, F.M.; Selosse, M.-A.; Sanders, I.R. Mycorrhizal Ecology and Evolution: The Past, the Present, and the Future. New Phytol. 2015, 205, 1406–1423. [Google Scholar] [CrossRef]
- Chandrasekaran, M.; Boughattas, S.; Hu, S.; Oh, S.-H.; Sa, T. A Meta-Analysis of Arbuscular Mycorrhizal Effects on Plants Grown under Salt Stress. Mycorrhiza 2014, 24, 611–625. [Google Scholar] [CrossRef]
- Laird, D.A.; Fleming, P.; Wang, B.; Horton, R.; Karlen, D.L. Biochar Impact on Nutrient Leaching from a Midwestern Agricultural Soil. Geoderma 2010, 158, 436–442. [Google Scholar] [CrossRef]
- Blanco-Canqui, H. Biochar and Soil Physical Properties. Soil Sci. Soc. Am. J. 2017, 81, 687–711. [Google Scholar] [CrossRef]
- Xu, G.; Sun, J.; Shao, H.; Chang, S.X. Biochar Had Effects on Phosphorus Sorption and Desorption in Three Soils with Differing Acidity. Ecol. Eng. 2014, 62, 54–60. [Google Scholar] [CrossRef]
- Biederman, L.A.; Harpole, W.S. Biochar and Its Effects on Plant Productivity and Nutrient Cycling: A Meta-Analysis. GCB Bioenergy 2013, 5, 202–214. [Google Scholar] [CrossRef]
- Jeffery, S.; Abalos, D.; Spokas, K.A.; Verheijen, F.G.A. Biochar Effects on Crop Yield. In Biochar for Environmental Management: Science, Technology and Implementation; Lehmann, J., Joseph, S., Eds.; Routledge: London, UK, 2015; pp. 301–325. [Google Scholar]
- Choudhary, M.; Datta, A.; Jat, H.S.; Yadav, A.K.; Gathala, M.K.; Sapkota, T.B.; Das, A.K.; Sharma, P.C.; Jat, M.L. Changes in Soil Biology under Conservation Agriculture Based Sustainable Intensification of Cereal Systems in Indo-Gangetic Plains. Soil Tillage Res. 2018, 186, 110–121. [Google Scholar] [CrossRef]
- Raza, M.A.; Yasin, H.S.; Gul, H.; Qin, R.; Mohi Ud Din, A.; Khalid, M.H.B.; Yang, W. Maize/Soybean Strip Intercropping Produces Higher Crop Yields and Saves Water under Semi-Arid Conditions. Plants 2022, 13, 1006720. [Google Scholar] [CrossRef]
- Joseph, S.D.; Camps-Arbestain, M.; Lin, Y.; Munroe, P.; Chia, C.H.; Hook, J.; van Zwieten, L.; Kimber, S.; Cowie, A.; Singh, B.P.; et al. An Investigation into the Reactions of Biochar in Soil. Aust. J. Soil Res. 2010, 48, 501–515. [Google Scholar] [CrossRef]
- Kloss, S.; Zehetner, F.; Wimmer, B.; Buecker, J.; Rempt, F.; Soja, G. Biochar Application to Temperate Soils: Effects on Soil Fertility and Crop Growth under Greenhouse Conditions. J. Environ. Qual. 2014, 43, 1956–1966. [Google Scholar] [CrossRef]
- Sánchez-Monedero, M.A.; Cayuela, M.L.; Sánchez-García, M.; Vandecasteele, B.; D’Hose, T.; López, G.; Martínez-Gaitán, C.; Kuikman, P.J.; Sinicco, T.; Mondini, C. Agronomic Evaluation of Biochar, Compost and Biochar-Blended Compost across Different Cropping Systems: Perspective from the European Project FERTIPLUS. Agronomy 2019, 9, 225. [Google Scholar] [CrossRef]
- Rehman, S.U.; De Castro, F.; Aprile, A.; Benedetti, M.; Fanizzi, F.P. Vermicompost: Enhancing Plant Growth and Combating Abiotic and Biotic Stress. Agronomy 2023, 13, 1134. [Google Scholar] [CrossRef]









| Treatment | Bioameliorant Composition (% Weight) | |||
|---|---|---|---|---|
| Compost | Manure | Husk Charcoal | Mycorrhiza | |
| F0 | - | - | - | - |
| F1 | 10 | 10 | 10 | 70 |
| F2 | 15 | 15 | 15 | 55 |
| F3 | 20 | 20 | 20 | 40 |
| F4 | 25 | 25 | 25 | 25 |
| Soil Properties | Value | Category * |
|---|---|---|
| pH (H2O) | 6.25 | Near-neutral |
| N Total % (Kjedahl) | 0.01 | Very Low |
| Available P (mg kg−1) (Olsen) | 13.82 | High |
| Available K (cmol kg−1) (Morgan-Wolf, AAS) | 0.57 | Moderate |
| Available Ca (cmol kg−1) (NH4OAc Extraction Method) | 7.38 | Moderate |
| Organic C (%) (Walkley–Black) | 1.21 | Very Low |
| Cation Exchange Capacity (cmol kg−1) (Ammonium Acetate) | 8.25 | Very low |
| - Sand (%) | 69.23 | - |
| - Silt (%) | 29.34 | - |
| - Clay (%) | 2.40 | - |
| Soil Texture | - | Loamy Sand |
| Element | Mass % | Atom % | ||||||
|---|---|---|---|---|---|---|---|---|
| F1 | F2 | F3 | F4 | F1 | F2 | F3 | F4 | |
| C | 3.79 ± 0.13 | 4.91 ± 0.14 | 5.13 ± 0.16 | 7.37 ± 0.18 | 5.26 ± 0.18 | 6.76 ± 0.20 | 7.06 ± 0.22 | 9.98 ± 0.24 |
| N | 10.05 ± 0.47 | 10.20 ± 0.47 | 9.80 ± 0.49 | 9.48 ± 0.47 | 11.05 ± 0.56 | 12.04 ± 0.55 | 11.57 ± 0.58 | 11.01 ± 0.55 |
| O | 74.41 ± 0.93 | 73.77 ± 0.92 | 74.02 ± 0.97 | 73.48 ± 0.93 | 77.53 ± 0.97 | 76.28 ± 0.95 | 76.46 ± 1.00 | 74.75 ± 0.94 |
| Mg | 1.46 ± 0.11 | 1.41 ± 0.10 | 1.47 ± 0.11 | 1.22 ± 0.10 | 1.00 ± 0.07 | 0.96 ± 0.07 | 1.00 ± 0.08 | 0.82 ± 0.07 |
| P | 0.87 ± 0.07 | 0.73 ± 0.07 | 0.84 ± 0.08 | 0.83 ± 0.07 | 0.47 ± 0.04 | 0.39 ± 0.04 | 0.45 ± 0.04 | 0.44 ± 0.04 |
| K | 4.79 ± 0.19 | 4.50 ± 0.18 | 4.68 ± 0.20 | 4.03 ± 0.18 | 2.04 ± 0.08 | 1.90 ± 0.08 | 1.98 ± 0.08 | 1.68 ± 0.07 |
| Ca | 3.51 ± 0.18 | 3.35 ± 0.17 | 2.92 ± 0.17 | 2.71 ± 0.16 | 1.46 ± 0.07 | 1.38 ± 0.07 | 1.21 ± 0.07 | 1.10 ± 0.06 |
| Zn | 1.13 ± 0.17 | 1.14 ± 0.17 | 1.13 ± 0.18 | 0.88 ± 0.16 | 0.29 ± 0.04 | 0.29 ± 0.04 | 0.29 ± 0.05 | 0.22 ± 0.04 |
| Total | 100.00 | 100.00 | 100.00 | 100.00 | 100.00 | 100.00 | 100.00 | 100.00 |
Disclaimer/Publisher’s Note: The statements, opinions and data contained in all publications are solely those of the individual author(s) and contributor(s) and not of MDPI and/or the editor(s). MDPI and/or the editor(s) disclaim responsibility for any injury to people or property resulting from any ideas, methods, instructions or products referred to in the content. |
© 2025 by the authors. Licensee MDPI, Basel, Switzerland. This article is an open access article distributed under the terms and conditions of the Creative Commons Attribution (CC BY) license (https://creativecommons.org/licenses/by/4.0/).
Share and Cite
Astiko, W.; Fauzi, M.T.; Susilowati, L.E.; Zulkifli, L.; Fahrurozi. Improving Nitrogen Availability and Crop Productivity Using Bioameliorants in Maize–Soybean Intercropping on Suboptimal Land. Nitrogen 2025, 6, 89. https://doi.org/10.3390/nitrogen6040089
Astiko W, Fauzi MT, Susilowati LE, Zulkifli L, Fahrurozi. Improving Nitrogen Availability and Crop Productivity Using Bioameliorants in Maize–Soybean Intercropping on Suboptimal Land. Nitrogen. 2025; 6(4):89. https://doi.org/10.3390/nitrogen6040089
Chicago/Turabian StyleAstiko, Wahyu, Mohamad Taufik Fauzi, Lolita Endang Susilowati, Lalu Zulkifli, and Fahrurozi. 2025. "Improving Nitrogen Availability and Crop Productivity Using Bioameliorants in Maize–Soybean Intercropping on Suboptimal Land" Nitrogen 6, no. 4: 89. https://doi.org/10.3390/nitrogen6040089
APA StyleAstiko, W., Fauzi, M. T., Susilowati, L. E., Zulkifli, L., & Fahrurozi. (2025). Improving Nitrogen Availability and Crop Productivity Using Bioameliorants in Maize–Soybean Intercropping on Suboptimal Land. Nitrogen, 6(4), 89. https://doi.org/10.3390/nitrogen6040089

