Deficit Irrigation of Greenhouse Cucumber Reduces Mineral Leaching and Improves Water Use Efficiency While Maintaining Fruit Yield
Abstract
1. Introduction
2. Materials and Methods
2.1. Plant Material and Soil Conditions in the Solar Greenhouse
2.2. Treatments and Experimental Design
2.3. Analysis of Soil NO3−–N and Available P and K Contents
2.4. Analysis of Amount of Leached Mineral Elements
2.5. Cucumber Economic Yield Measurements and Water Use Efficiency Analysis
2.6. Workflow Chart
2.7. Statistical Analysis
3. Results
3.1. Distribution of Mineral Elements in Soil with an Irrigation (Fertilization) Cycle
3.2. Residual Mineral Elements in the Soil at the End of the Growing Season
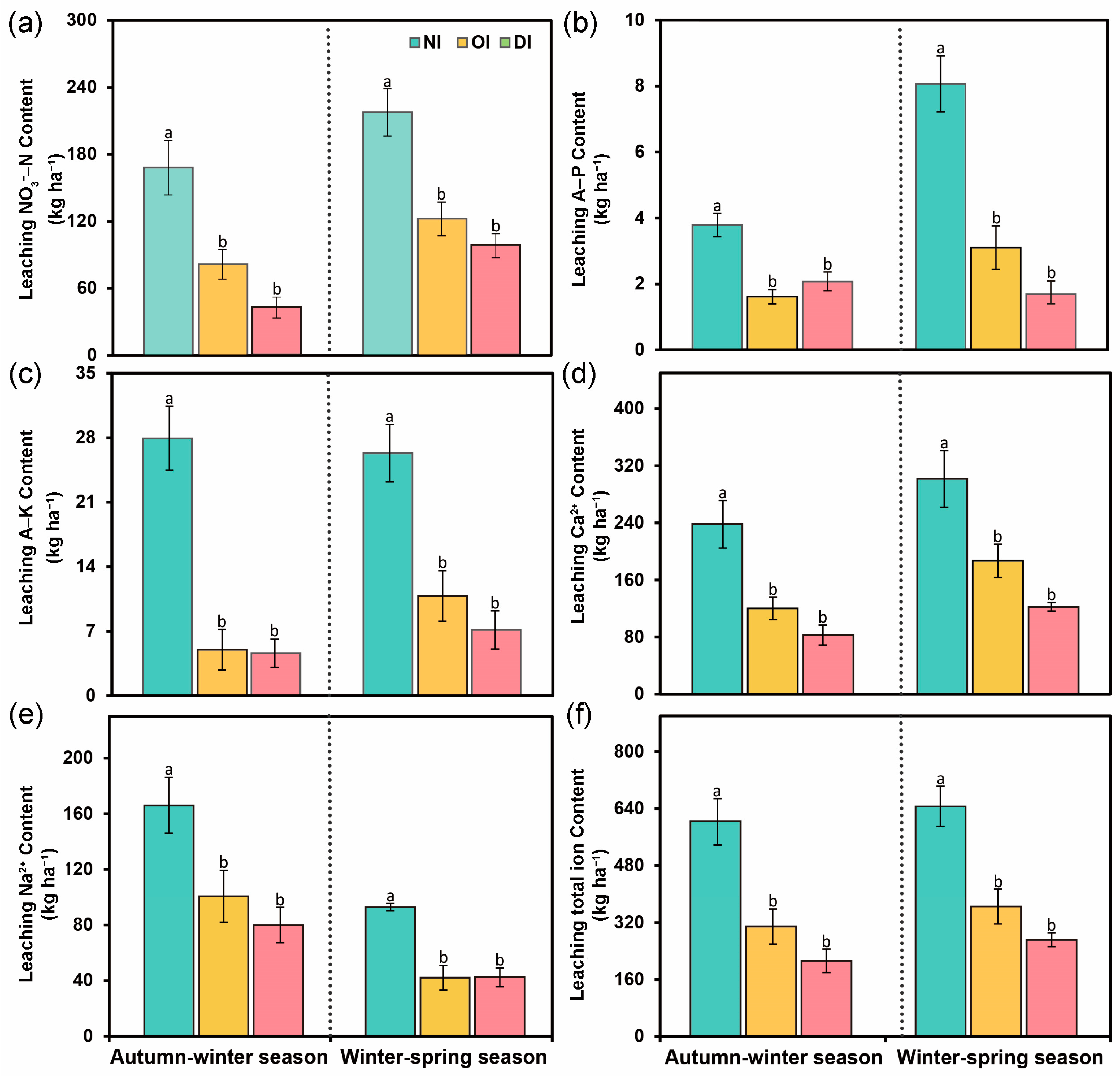
3.3. Leaching of Mineral Elements in the Soil at the End of the Growing Season
3.4. Cucumber Economic Yield and Water Use Efficiency
4. Discussion
5. Conclusions
Author Contributions
Funding
Data Availability Statement
Acknowledgments
Conflicts of Interest
References
- Lv, H.F.; Lin, S.; Wang, Y.F.; Lian, X.J.; Zhao, Y.M.; Li, Y.J.; Du, J.Y.; Wang, Z.X.; Wang, J.G.; Butterbach-Bahl, K. Drip fertigation significantly reduces nitrogen leaching in solar greenhouse vegetable production system. Environ. Pollut. 2019, 245, 694–701. [Google Scholar] [CrossRef] [PubMed]
- Gao, L.H.; Qu, M.; Ren, H.Z.; Sui, X.L.; Chen, Q.Y.; Zhang, Z.X. Structure, function, application, and ecological benefit of a single-slope, energy-efficient solar greenhouse in China. Hort. Technol. 2010, 20, 626–631. [Google Scholar] [CrossRef]
- Liang, X.; Gao, Y.; Zhang, X.; Tian, Y.; Zhang, Z.; Gao, L. Effect of optimal daily fertigation on migration of water and salt in soil, root growth and fruit yield of cucumber (Cucumis sativus L.) in solar-greenhouse. PLoS ONE 2014, 9, e86975. [Google Scholar] [CrossRef] [PubMed]
- Hu, W.Y.; Zhang, Y.X.; Huang, B.; Teng, Y. Soil environmental quality in greenhouse vegetable production systems in eastern China: Current status and management strategies. Chemosphere 2017, 170, 183–195. [Google Scholar] [CrossRef]
- Chai, Q.; Gan, Y.T.; Zhao, C.; Xu, H.L.; Waskom, R.M.; Niu, Y.N.; Siddique, K.H.M. Regulated deficit irrigation for crop production under drought stress. A Review. Agron. Sustain. Dev. 2016, 36, 3. [Google Scholar] [CrossRef]
- Yan, W.H.; Li, F.W.; Zhao, Y. Determination of irrigation water quantity and its impact on crop yield and groundwater. Agric. Water Manag. 2022, 273, 107900. [Google Scholar] [CrossRef]
- Manmeet, S.; Suhaib, A. IoT based smart water management systems: A systematic review. Mater. Today 2021, 46, 5211–5218. [Google Scholar] [CrossRef]
- Seyar, M.H.; Ahamed, T. Development of an IoT-Based Precision Irrigation System for Tomato Production from Indoor Seedling Germination to Outdoor Field Production. Appl. Sci. 2023, 13, 5556. [Google Scholar] [CrossRef]
- Bouali, E.; Mohamed, R.A.; El-Mahjoub, B.; Abdennabi, M.; Safae, B.; Tareq, A.H.; Driss, B. Enhancing water management in smart agriculture: A cloud and IoT-Based smart irrigation system. Results Eng. 2024, 22, 102283. [Google Scholar] [CrossRef]
- Zotarelli, L.; Dukes, M.D.; Scholberg, J.M.S.; Muñoz-Carpena, R.; Icerman, J. Tomato nitrogen accumulation and fertilizer use efficiency on a sandy soil, as affected by nitrogen rate and irrigation scheduling. Agric. Water Manag. 2009, 96, 1247–1258. [Google Scholar] [CrossRef]
- Sun, Y.; Hu, K.L.; Zhang, K.F.; Jiang, L.H.; Xu, Y. Simulation of nitrogen fate for greenhouse cucumber grown under different water and fertilizer management using the EU-Rotate_N model. Agric. Water Manag. 2012, 112, 21–32. [Google Scholar] [CrossRef]
- Malone, T.C.; Newton, A. The globalization of cultural eutrophication in the coastal ocean: Causes and consequences. Front. Mar. Sci. 2020, 7, 670. [Google Scholar] [CrossRef]
- Mendes, W.D.C.; Alves, J.; da Cunha, P.C.R.; da Silva, A.R.; Evangelista, A.W.P.; Casaroli, D. Potassium leaching in different soils as a function of irrigation depths. Rev. Bras. Eng. Agric. Ambient. 2016, 20, 972–977. [Google Scholar] [CrossRef]
- Zhu, G.Y.; Deng, L.; Shangguan, Z.P. Effects of soil aggregate stability on soil N following land use changes under erodible environment. Agric. Ecosyst. Environ. 2018, 262, 18–28. [Google Scholar] [CrossRef]
- Zhou, W.W.; Lv, H.F.; Chen, F.; Wang, Q.Y.; Li, J.L.; Chen, Q.; Liang, B. Optimizing nitrogen management reduces mineral nitrogen leaching loss mainly by decreasing water leakage in vegetable fields under plastic-shed greenhouse. Environ. Pollut. 2022, 308, 119616. [Google Scholar] [CrossRef] [PubMed]
- Sajjad, M.; Hussain, K.; Wajid, S.A.; Saqib, Z.A. The Impact of Split Nitrogen Fertilizer Applications on the Productivity and Nitrogen Use Efficiency of Rice. Nitrogen 2025, 6, 1. [Google Scholar] [CrossRef]
- Correll, D.L. The role of phosphorus in the eutrophication of receiving waters. A Review. J. Environ. Qual. 1998, 27, 261–266. [Google Scholar] [CrossRef]
- Vopenka, L.; Machacek, V.; Pirkl, J. Phosphorus, potassium and calcium leaching from the soil by percolating water. Rostl. Vyrob. 1987, 33, 813–818. [Google Scholar]
- Sun, Y.; Hu, K.L.; Fan, Z.B.; Wei, Y.P.; Lin, S.; Wang, J.G. Simulating the fate of nitrogen and optimizing water and nitrogen management of greenhouse tomato in North China using the EU-Rotate-N model. Agric. Water Manag. 2013, 128, 72–84. [Google Scholar] [CrossRef]
- Dasgan, H.Y.; Kusvuran, S.; Kirda, C. Use of short duration partial root drying (PRD) in soilless grown cucumber by 35% deficit irrigation. Acta Hortic. 2012, 927, 163–170. [Google Scholar] [CrossRef]
- Yang, H.; Du, T.S.; Qiu, R.J.; Chen, J.L.; Wang, F.; Li, Y.; Wang, C.X.; Gao, L.H.; Kang, S.Z. Improved water use efficiency and fruit quality of greenhouse crops under regulated deficit irrigation in northwest China. Agric. Water Manag. 2017, 179, 193–204. [Google Scholar] [CrossRef]
- Houba, V.J.G.; Temminghoff, E.J.M.; Gaikhorst, G.A.; van Vark, W. Soil analysis procedures using 0.01 M calcium chloride as extraction reagent. Commun. Soil Sci. Plant Anal. 2000, 31, 1299–1396. [Google Scholar] [CrossRef]
- Carson, P.L. Recommended potassium test. In Recommended Chemical Soil Test Procedures for the North Central Region; Dahnke, W.C., Ed.; Bulletin 499; North Dakota Agricultural Experiment Station: Fargo, ND, USA, 1980; pp. 17–18. [Google Scholar]
- Isaac, R.A.; Kerber, J.D. Atomic absorption and flame photometry: Techniques and uses in soil, plant, and water analysis. In Instrumental Methods for Analysis of Soils and Plant Tissue; Walsh, L.M., Ed.; Soil Science Society of America: Madison, WI, USA, 1971; pp. 17–37. [Google Scholar] [CrossRef]
- Aronsson, H.; Torstensson, G.; Bergström, L. Leaching and crop uptake of N, P and K from organic and conventional cropping systems on a clay soil. Soil Use Manag. 2007, 23, 71–81. [Google Scholar] [CrossRef]
- Chu, L.L.; Kang, Y.H.; Wan, S.Q. Influence of microsprinkler irrigation amount on water, soil, and pH profiles in a coastal saline soil. Sci. World J. 2014, 2014, 279895. [Google Scholar] [CrossRef]
- Malhi, S.S.; Brandt, S.A.; Ulrich, D.; Lemke, R.; Gill, K.S. Accumulation and distribution of nitrate–nitrogen and extractable phosphorus in the soil profile under various alternative cropping systems. J. Plant Nutr. 2002, 25, 2499–2520. [Google Scholar] [CrossRef]
- Dal Molin, S.J.; Ernani, P.R.; Soldatelli, P.; Cassol, P.C. Leaching and recovering of nitrogen following N fertilizers application to the soil in a laboratory study. Commun. Soil Sci. Plant Anal. 2018, 49, 1099–1106. [Google Scholar] [CrossRef]
- Sun, H.J.; Min, J.; Zhang, H.L.; Feng, Y.F.; Lu, K.P.; Shi, W.M.; Yu, M.; Li, X.W. Biochar application mode influences nitrogen leaching and NH3 volatilization losses in a rice paddy soil irrigated with N-rich wastewater. Environ. Technol. 2018, 39, 2090–2096. [Google Scholar] [CrossRef] [PubMed]
- Qasim, W.; Xia, L.L.; Lin, S.; Wan, L.; Zhao, Y.M.; Butterbach-Bahl, K. Global greenhouse vegetable production systems are hotspots of soil N2O emissions and nitrogen leaching: A meta-analysis. Environ. Pollut. 2021, 272, 116372. [Google Scholar] [CrossRef]
- Min, J.; Zhao, X.; Shi, W.M.; Xing, G.X.; Zhu, Z.L. Nitrogen balance and loss in a greenhouse vegetable system in southeastern china. Pedosphere 2011, 21, 464–472. [Google Scholar] [CrossRef]
- Tian, Y.Q.; Wang, Q.; Zhang, W.H.; Gao, L.H. Reducing environmental risk of excessively fertilized soils and improving cucumber growth by Caragana microphylla-straw compost application in long-term continuous cropping systems. Sci. Total Environ. 2016, 544, 251–261. [Google Scholar] [CrossRef]
- Bruno, I.P.; Araújo, A.G.; Merten, G.H.; Ladeira, A.S.; Pinto, V.M. Crop Rotation and Nitrogen Fertilizer on Nitrate Leaching: Insights from a Low Rainfall Study. Nitrogen 2024, 5, 329–348. [Google Scholar] [CrossRef]
- Raave, H.; Keres, I.; Kauer, K.; Nõges, M.; Rebane, J.; Tampere, M.; Loit, E. The impact of activated carbon on NO3--N, NH4+-N, P and K leaching in relation to fertilizer use. Eur. J. Soil Sci. 2014, 65, 120–127. [Google Scholar] [CrossRef]
- Qin, J.H.; Niu, A.Y.; Li, Q.W.; Liu, Y.Q.; Lin, C.X. Effect of soluble calcium on enhancing nitrate retention by biochar. J. Environ. Manag. 2020, 274, 111133. [Google Scholar] [CrossRef] [PubMed]
- Quemada, M.; Baranski, M.; Nobel-de Lange, M.N.J.; Vallejo, A.; Cooper, J.M. Meta-analysis of strategies to control nitrate leaching in irrigated agricultural systems and their effects on crop yield. Agric. Ecosyst. Environ. 2013, 174, 1–10. [Google Scholar] [CrossRef]
- Huang, T.; Ju, X.; Yang, H. Nitrate leaching in a winter wheat-summer maize rotation on a calcareous soil as affected by nitrogen and straw management. Sci. Rep. 2017, 7, 42247. [Google Scholar] [CrossRef]
- Luo, X.; Kou, C.; Wang, Q. Optimal Fertilizer Application Reduced Nitrogen Leaching and Maintained High Yield in Wheat-Maize Cropping System in North China. Plants 2022, 11, 1963. [Google Scholar] [CrossRef]
- Nartey, O.D.; Liu, D.; Luo, J.; Lindsey, S.; Chen, Z.; Yuan, J.; Zaman, M.; Hogarh, J.N.; Ding, W. Optimizing application of dairy effluent with synthetic N fertilizer reduced nitrogen leaching in clay loam soil. Heliyon 2024, 10, e33900. [Google Scholar] [CrossRef]
- Heckrath, G.; Brookes, P.C.; Poulton, P.R.; Goulding, K.W.T. Phosphorus leaching from soils containing different phosphorus concentrations in the broadbalk experiment. J. Environ. Qual. 1995, 24, 904–910. [Google Scholar] [CrossRef]
- Yan, Z.J.; Liu, P.P.; Li, Y.H.; Ma, L.; Alva, A.; Dou, Z.X.; Chen, Q.; Zhang, F.S. Phosphorus in China’s Intensive Vegetable Production Systems: Overfertilization, Soil Enrichment, and Environmental Implications. J. Environ. Qual. 2013, 42, 982–989. [Google Scholar] [CrossRef]
- Cabello, M.J.; Castellanos, M.T.; Romojaro, F.; Martínez-Madrid, C.; Ribas, F. Yield and quality of melon grown under different irrigation and nitrogen rates. Agric. Water Manag. 2009, 96, 866–874. [Google Scholar] [CrossRef]
- Shao, G.C.; Liu, N.; Zhang, Z.Y.; Yu, S.; Chen, C.R. Growth, yield and water use efficiency response of greenhouse-grown hot pepper under Time-Space deficit irrigation. Sci. Hortic. 2010, 126, 172–179. [Google Scholar] [CrossRef]
- Chen, J.L.; Kang, S.Z.; Du, T.S.; Qiu, R.J.; Guo, P.; Chen, R.Q. Quantitative response of greenhouse tomato yield and quality to water deficit at different growth stages. Agric. Water Manag. 2013, 129, 152–162. [Google Scholar] [CrossRef]
- Fan, Q.F.; Zhang, Y.L. Water use and productivity of tomato under four irrigation systems in greenhouse; Northern China. In Proceedings of the 3rd International Conference on Mechanics, Dynamic Systems and Material Engineering, Guangzhou, China, 15–17 May 2015; pp. 48–52. [Google Scholar]
- Davies, W.J.; Bacon, M.A.; Thompson, D.S.; Sobeih, W.; González Rodríguez, L. Regulation of leaf and fruit growth in plants growing in drying soil: Exploitation of the plants’ chemical signalling system and hydraulic architecture to increase the efficiency of water use in agriculture. J. Exp. Bot. 2000, 51, 1617–1626. [Google Scholar] [CrossRef] [PubMed]
- Du, T.S.; Kang, S.Z.; Sun, J.S.; Zhang, X.Y.; Zhang, J.H. An improved water use efficiency of cereals under temporal and spatial deficit irrigation in north China. Agric. Water Manag. 2010, 97, 66–74. [Google Scholar] [CrossRef]






| Date (Month/Day) | Amount of Irrigation Water | Amount of Fertilizer | |||||
|---|---|---|---|---|---|---|---|
| NI | OI | DI | N | P | K | ||
| /m³ ha−1 | /kg ha−1 | ||||||
| Autumn –winter season | 8/30 (Colonization water) | 450.0 | 450.0 | 450.0 | 0.0 | 0.0 | 0.0 |
| 9/20 (Beginning of treatment) | 525.0 | 315.0 | 189.0 | 38.5 | 16.2 | 54.7 | |
| 9/30 | 525.0 | 315.0 | 189.0 | 38.5 | 16.2 | 54.7 | |
| 10/20 | 525.0 | 315.0 | 189.0 | 38.5 | 16.2 | 54.7 | |
| 11/12 | 525.0 | 315.0 | 189.0 | 38.5 | 16.2 | 54.7 | |
| 12/14 | 525.0 | 315.0 | 189.0 | 19.2 | 8.1 | 27.3 | |
| Total | 3075.0 | 2025.0 | 1395.0 | 173.2 | 72.9 | 246.1 | |
| Winter –spring season | The following year 1/25 (Colonization water) | 450.0 | 450.0 | 450.0 | 0.0 | 0.0 | 0.0 |
| 2/14 (Before treatment) | 218.7 | 218.7 | 218.7 | 0.0 | 0.0 | 0.0 | |
| 3/5 (Beginning of treatment) | 525.0 | 315.0 | 189.0 | 71.9 | 30.3 | 102.2 | |
| 3/21 | 525.0 | 315.0 | 189.0 | 20.6 | 8.6 | 29.3 | |
| 4/3 | 525.0 | 315.0 | 189.0 | 20.6 | 8.6 | 29.3 | |
| 4/13 | 525.0 | 315.0 | 189.0 | 71.9 | 30.3 | 102.2 | |
| 4/23 | 525.0 | 315.0 | 189.0 | 42.7 | 17.9 | 60.6 | |
| 5/5 | 525.0 | 315.0 | 189.0 | 53.5 | 22.5 | 76.0 | |
| 5/16 | 525.0 | 315.0 | 189.0 | 42.7 | 17.9 | 60.6 | |
| 5/26 | 525.0 | 315.0 | 189.0 | 28.5 | 12.0 | 40.5 | |
| 6/5 | 525.0 | 315.0 | 189.0 | 28.5 | 12.0 | 40.5 | |
| 6/14 | 525.0 | 315.0 | 189.0 | 0.0 | 0.0 | 0.0 | |
| Total | 5918.7 | 3818.7 | 2558.7 | 380.9 | 160.1 | 541.2 | |
| Treatment | Yield (kg·ha−1) | WUE (kg·m−3) | ||
|---|---|---|---|---|
| Autumn–Winter Season | Winter–Spring Season | Autumn–Winter Season | Winter–Spring Season | |
| NI | 67,829.0 ± 4164.9 a | 89,699.3 ± 3255.8 a | 22.1 ± 1.4 c | 15.2 ± 0.6 c |
| OI | 64,513.0 ± 1205.3 a | 103,428.5 ± 6725.1 a | 31.8 ± 0.6 b | 27.7 ± 2.4 b |
| DI | 72,604.5 ± 3219.1 a | 106,367.5 ± 3982.9 a | 52.0 ± 2.3 a | 41.6 ± 1.6 a |
| Topic | Reference Numbers | Main Content |
|---|---|---|
| Irrigation and water management | [1,10,14,21,41,42] |
|
| Nitrogen management and leaching | [1,15,16,27,30,31,33] |
|
| Phosphorus management and leaching | [14,17,36,37] |
|
| Potassium management and leaching | [13,25,34] |
Disclaimer/Publisher’s Note: The statements, opinions and data contained in all publications are solely those of the individual author(s) and contributor(s) and not of MDPI and/or the editor(s). MDPI and/or the editor(s) disclaim responsibility for any injury to people or property resulting from any ideas, methods, instructions or products referred to in the content. |
© 2025 by the authors. Licensee MDPI, Basel, Switzerland. This article is an open access article distributed under the terms and conditions of the Creative Commons Attribution (CC BY) license (https://creativecommons.org/licenses/by/4.0/).
Share and Cite
Guo, Y.; Wang, S.; Li, D.; Nie, J.; Gao, L.; Sui, X. Deficit Irrigation of Greenhouse Cucumber Reduces Mineral Leaching and Improves Water Use Efficiency While Maintaining Fruit Yield. Nitrogen 2025, 6, 18. https://doi.org/10.3390/nitrogen6010018
Guo Y, Wang S, Li D, Nie J, Gao L, Sui X. Deficit Irrigation of Greenhouse Cucumber Reduces Mineral Leaching and Improves Water Use Efficiency While Maintaining Fruit Yield. Nitrogen. 2025; 6(1):18. https://doi.org/10.3390/nitrogen6010018
Chicago/Turabian StyleGuo, Yicong, Shan Wang, Dong Li, Jing Nie, Lihong Gao, and Xiaolei Sui. 2025. "Deficit Irrigation of Greenhouse Cucumber Reduces Mineral Leaching and Improves Water Use Efficiency While Maintaining Fruit Yield" Nitrogen 6, no. 1: 18. https://doi.org/10.3390/nitrogen6010018
APA StyleGuo, Y., Wang, S., Li, D., Nie, J., Gao, L., & Sui, X. (2025). Deficit Irrigation of Greenhouse Cucumber Reduces Mineral Leaching and Improves Water Use Efficiency While Maintaining Fruit Yield. Nitrogen, 6(1), 18. https://doi.org/10.3390/nitrogen6010018

