Evaluating the Effects of Reduced N Application, a Nitrification Inhibitor, and Straw Incorporation on Fertilizer-N Fates in the Maize Growing Season: A Field 15N Tracer Study
Abstract
1. Introduction
2. Materials and Methods
2.1. Study Site
2.2. Experimental Design
2.3. Sampling
2.4. Chemical and Isotope Analysis
2.5. Calculation
2.6. Statistical Analysis
3. Results
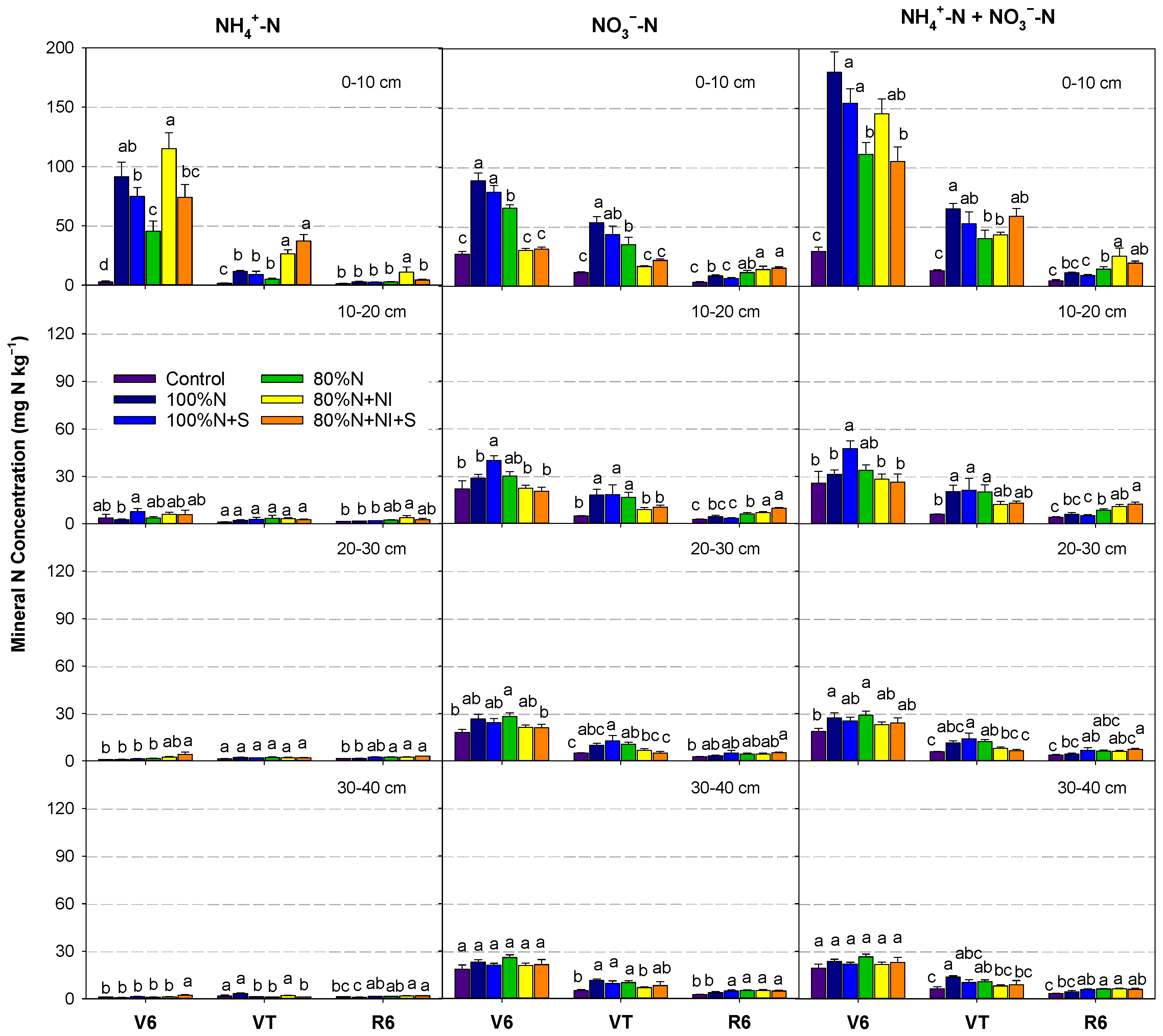
3.1. Soil Mineral N Dynamics
3.2. Soil Total and Fertilizer-Derived N Concentrations
3.3. Maize Biomass, Yield, and Fertilizer-Derived N Uptake
3.4. 15N Recoveries in the Soil–Maize System
4. Discussion
4.1. Effects of Reduced N Application on Fertilizer-N Fates
4.2. Effects of Nitrification Inhibitor Co-Application on Fertilizer-N Fates
4.3. Effects of Straw Incorporation on Fertilizer-N Fates
5. Conclusions
Supplementary Materials
Author Contributions
Funding
Data Availability Statement
Acknowledgments
Conflicts of Interest
References
- Reis, S.; Bekunda, M.; Howard, C.M.; Karanja, N.; Winiwarter, W.; Yan, X.; Bleeker, A.; Sutton, M.A. Synthesis and review: Tackling the nitrogen management challenge: From global to local scales. Environ. Res. Lett. 2016, 11, 120205. [Google Scholar] [CrossRef]
- Battye, W.; Aneja, V.P.; Schlesinger, W.H. Is nitrogen the next carbon? Earth’s Future 2017, 5, 894–904. [Google Scholar] [CrossRef]
- Erisman, J.W.; Galloway, J.N.; Dice, N.B.; Sutton, M.A.; Bleeker, A.; Grizzetti, B.; Leach, A.M.; de Vries, W. Nitrogen Too Much of a Vital Resource; Science Brief WWF Netherlands: Zeist, The Netherlands, 2015. [Google Scholar]
- Yu, C.; Huang, X.; Chen, H.; Godfray, H.C.J.; Wright, J.S.; Hall, J.W.; Gong, P.; Ni, S.; Qiao, S.; Huang, G.; et al. Managing nitrogen to restore water quality in China. Nature 2019, 567, 516–520. [Google Scholar] [CrossRef] [PubMed]
- Zamparas, M.; Kyriakopoulos, G.L.; Drosos, M.; Kapsalis, V.C. Phosphate and ammonium removal from wastewaters using natural-based innovative bentonites impacting on resource recovery and circular economy. Molecules 2021, 26, 6684. [Google Scholar] [CrossRef] [PubMed]
- Xia, L.; Lam, S.K.; Chen, D.; Wang, J.; Tang, Q.; Yan, X. Can knowledge-based N management produce more staple grain with lower greenhouse gas emission and reactive nitrogen pollution? A meta-analysis. Glob. Chang. Biol. 2017, 23, 1917–1925. [Google Scholar] [CrossRef] [PubMed]
- Hu, C.; Sadras, V.O.; Lu, G.; Zhang, P.; Han, Y.; Liu, L.; Xie, J.; Yang, X.; Zhang, S. A global meta-analysis of split nitrogen application for improved wheat yield and grain protein content. Soil Tillage Res. 2021, 213, 105111. [Google Scholar] [CrossRef]
- Shen, J.; Li, Y.; Wang, Y.; Zhu, X.; Jiang, W.; Li, Y.; Wu, J. Soil nitrogen cycling and environmental impacts in the subtropical hilly region of China: Evidence from measurements and modeling. Front. Agric. Sci. Eng. 2022, 9, 407–424. [Google Scholar]
- Liu, C.; Lu, M.; Cui, J.; Li, B.; Fang, C. Effects of straw carbon input on carbon dynamics in agricultural soils: A meta-analysis. Glob. Chang. Biol. 2014, 20, 1366–1381. [Google Scholar] [CrossRef] [PubMed]
- Yuan, L.; Chen, X.; Jia, J.; Chen, H.; Shi, Y.; Ma, J.; Liang, C.; Liu, Y.; Xie, H.; He, H.; et al. Stover mulching and inhibitor application maintain crop yield and decrease fertilizer N input and losses in no-till cropping systems in Northeast China. Agric. Ecosyst. Environ. 2021, 312, 107360. [Google Scholar] [CrossRef]
- Liu, J.; Jiang, B.; Shen, J.; Zhu, X.; Yi, W.; Li, Y.; Wu, J. Contrasting effects of straw and straw-derived biochar applications on soil carbon accumulation and nitrogen use efficiency in double-rice cropping systems. Agric. Ecosyst. Environ. 2021, 311, 107286. [Google Scholar] [CrossRef]
- Ju, X.; Xing, G.; Chen, X.; Zhang, S.; Zhang, L.; Liu, X.; Cui, Z.; Yin, B.; Christie, P.; Zhu, Z.; et al. Reducing environmental risk by improving N management in intensive Chinese agricultural systems. Proc. Natl. Acad. Sci. USA 2009, 106, 3041–3046. [Google Scholar] [CrossRef] [PubMed]
- Abalos, D.; Jeffery, S.; Sanz-Cobena, A.; Guardia, G.; Vallejo, A. Meta-analysis of the effect of urease and nitrification inhibitors on crop productivity and nitrogen use efficiency. Agric. Ecosyst. Environ. 2014, 189, 136–144. [Google Scholar] [CrossRef]
- Li, T.; Zhang, W.; Yin, J.; Chadwick, D.; Norse, D.; Lu, Y.; Liu, X.; Chen, X.; Zhang, F.; Powlson, D.; et al. Enhanced-efficiency fertilizers are not a panacea for resolving the nitrogen problem. Glob. Chang. Biol. 2018, 24, e511–e521. [Google Scholar] [CrossRef] [PubMed]
- Sha, Z.; Ma, X.; Wang, J.; Lv, T.; Li, Q.; Misselbrook, T.; Liu, X. Effect of N stabilizers on fertilizer-N fate in the soil-crop system: A meta-analysis. Agric. Ecosyst. Environ. 2020, 290, 106763. [Google Scholar] [CrossRef]
- Qiao, C.; Liu, L.; Hu, S.; Compton, J.E.; Greaver, T.L.; Li, Q. How inhibiting nitrification affects nitrogen cycle and reduces environmental impacts of anthropogenic nitrogen input. Glob. Chang. Biol. 2015, 21, 1249–1257. [Google Scholar] [CrossRef] [PubMed]
- Yang, M.; Fang, Y.; Sun, D.; Shi, Y. Efficiency of two nitrification inhibitors (dicyandiamide and 3, 4-dimethypyrazole phosphate) on soil nitrogen transformations and plant productivity: A meta-analysis. Sci. Rep. 2016, 6, 22075. [Google Scholar] [CrossRef] [PubMed]
- Gao, J.; Luo, J.; Lindsey, S.; Shi, Y.; Sun, Z.; Wei, Z.; Wang, L. Benefits and risks for the environment and crop production with application of nitrification inhibitors in China. J. Soil Sci. Plant Nutr. 2020, 21, 497–512. [Google Scholar] [CrossRef]
- Luo, G.; Li, L.; Friman, V.P.; Guo, J.; Guo, S.; Shen, Q.; Ling, N. Organic amendments increase crop yields by improving microbe-mediated soil functioning of agroecosystems: A meta-analysis. Soil Biol. Biochem. 2018, 124, 105–115. [Google Scholar] [CrossRef]
- Lu, C.; Chen, H.; Teng, Z.; Yuan, L.; Ma, J.; He, H.; Chen, X.; Zhang, X.; Shi, Y. Effects of N fertilization and maize straw on the dynamics of soil organic N and amino acid N derived from fertilizer N as indicated by 15N labeling. Geoderma 2018, 321, 118–126. [Google Scholar] [CrossRef]
- Lu, C.; Wang, H.; Chen, H.; Yuan, L.; Ma, J.; Shi, Y.; Zhang, X.; He, H.; Chen, X. Effects of N fertilization and maize straw on the transformation and fate of labeled (15NH4)2SO4 among three continuous crop cultivations. Agric. Water Manag. 2018, 208, 275–283. [Google Scholar] [CrossRef]
- Elrys, A.S.; Uwiragiye, Y.; Zhang, Y.; Abdel-Fattah, M.K.; Chen, Z.; Zhang, L.; Meng, L.; Wang, J.; Zhu, T.; Cheng, Y.; et al. Expanding agroforestry can increase nitrate retention and mitigate the global impact of a leaky nitrogen cycle in croplands. Nat. Food 2023, 4, 109–121. [Google Scholar] [CrossRef] [PubMed]
- Wang, S.; Huang, X.; Zhang, Y.; Yin, C.; Richel, A. The effect of corn straw return on corn production in Northeast China: An integrated regional evaluation with meta-analysis and system dynamics. Resour. Conserv. Recycl. 2021, 167, 105402. [Google Scholar] [CrossRef]
- Niu, X.; Xie, R.; Liu, X.; Zhang, F.; Li, S.; Gao, S. Maize yield gains in Northeast China in the last six decades. J. Integr. Agric. 2013, 12, 630–637. [Google Scholar] [CrossRef]
- Liu, N.; He, H.; Xie, H.; Bai, Z.; Zhang, X.; Peng, C.; Zhu, P.; Ren, J.; Wang, L. Impacts of long-term inorganic and organic fertilization on lignin in a Mollisol. J. Soils Sediments 2010, 10, 1466–1474. [Google Scholar] [CrossRef]
- Quan, Z.; Li, S.; Zhu, F.; Zhang, L.; He, J.; Wei, W.; Fang, Y. Fates of 15N-labeled fertilizer in a black soil-maize system and the response to straw incorporation in Northeast China. J. Soils Sediments 2018, 18, 1441–1452. [Google Scholar] [CrossRef]
- Quan, Z.; Zhang, X.; Davidson, E.A.; Zhu, F.; Li, S.; Zhao, X.; Chen, X.; Zhang, L.M.; He, J.Z.; Wei, W.; et al. Fates and use efficiency of nitrogen fertilizer in maize cropping systems and their responses to technologies and management practices: A global analysis on field 15N tracer studies. Earth’s Future 2021, 9, e2020EF001514. [Google Scholar] [CrossRef]
- Ju, X.; Liu, X.; Zhang, F.; Roelcke, M. Nitrogen fertilization, soil nitrate accumulation, and policy recommendations in several agricultural regions of China. AMBIO J. Hum. Environ. 2004, 33, 300–305. [Google Scholar] [CrossRef]
- Wallace, A.J.; Armstrong, R.D.; Grace, P.R.; Scheer, C.; Partington, D.L. Nitrogen use efficiency of 15N urea applied to wheat based on fertiliser timing and use of inhibitors. Nutr. Cycl. Agroecosystems 2020, 116, 41–56. [Google Scholar] [CrossRef]
- Quan, Z.; Zhang, X.; Fang, Y.; Davidson, E.A. Different quantification approaches for nitrogen use efficiency lead to divergent estimates with varying advantages. Nat. Food 2021, 2, 241–245. [Google Scholar] [CrossRef] [PubMed]
- Gao, L.; Ma, L.; Zhang, W.; Wang, F.; Ma, W.; Zhang, F. Estimation of nutrient resource quantity of crop straw and its utilization situation in China. Trans. CSAE 2009, 25, 173–179, (In Chinese with English Abstract). [Google Scholar]
- Powlson, D.S.; Jenkinson, D.S.; Johnston, A.E.; Poulton, P.R.; Glendining, M.J.; Goulding, K.W.T. Comments on “Synthetic nitrogen fertilizers deplete soil nitrogen: A global dilemma for sustainable cereal production”, by R. L. Mulvaney, S.A. Khan, and T. R. Ellsworth in the Journal of Environmental Quality 2009 38:2295–2314. J. Environ. Qual. 2010, 39, 749–752. [Google Scholar] [CrossRef]
- Dawar, K.; Khan, A.; Sardar, K.; Fahad, S.; Saud, S.; Datta, R.; Danish, S. Effects of the nitrification inhibitor nitrapyrin and mulch on N2O emission and fertilizer use efficiency using 15N tracing techniques. Sci. Total Environ. 2021, 757, 143739. [Google Scholar] [CrossRef] [PubMed]
- Ma, Q.; Wu, Z.; Shen, S.; Zhou, H.; Jiang, C.; Xu, Y.; Liu, R.; Yu, W. Responses of biotic and abiotic effects on conservation and supply of fertilizer N to inhibitors and glucose inputs. Soil Biol. Biochem. 2015, 89, 72–81. [Google Scholar] [CrossRef]
- Alonso-Ayuso, M.; Gabriel, J.L.; Quemada, M. Nitrogen use efficiency and residual effect of fertilizers with nitrification inhibitors. Eur. J. Agron. 2016, 80, 1–8. [Google Scholar] [CrossRef]
- Ma, Q.; Jiang, C.; Li, S.; Yu, W. Maize yield and nitrogen-use characteristics were promoted as consistently improved soil fertility: 6-year straw incorporation in Northeast China. Plant Soil Environ. 2021, 67, 383–389. [Google Scholar] [CrossRef]
- Wang, Z.; Wang, Z.; Luo, Y.; Zhan, Y.; Meng, Y.; Zhou, Z. Biochar increases 15N fertilizer retention and indigenous soil N uptake in a cotton-barley rotation system. Geoderma 2020, 357, 113944. [Google Scholar] [CrossRef]
- Shi, W.; Bian, R.; Li, L.; Lian, W.; Liu, X.; Zheng, J.; Cheng, K.; Zhang, X.; Drosos, M.; Joseph, S.; et al. Assessing the impacts of biochar-blended urea on nitrogen use efficiency and soil retention in wheat production. GCB-Bioenergy 2021, 14, 65–83. [Google Scholar] [CrossRef]
- Linquist, B.A.; Liu, L.; van Kessel, C.; van Groenigen, K.J. Enhanced efficiency nitrogen fertilizers for rice systems: Meta-analysis of yield and nitrogen uptake. Field Crops Res. 2013, 154, 246–254. [Google Scholar] [CrossRef]
- Said-Pullicino, D.; Cucu, M.A.; Sodano, M.; Birk, J.J.; Glaser, B.; Celi, L. Nitrogen immobilization in paddy soils as affected by redox conditions and rice straw incorporation. Geoderma 2014, 228–229, 44–53. [Google Scholar] [CrossRef]
- Cao, Y.; Sun, H.; Zhang, J.; Chen, G.; Zhu, H.; Zhou, S.; Xiao, H. Effects of wheat straw addition on dynamics and fate of nitrogen applied to paddy soils. Soil Tillage Res. 2018, 178, 92–98. [Google Scholar] [CrossRef]
- Yu, C.; Xie, X.; Yang, H.; Yang, L.; Li, W.; Wu, K.; Zhang, W.; Feng, C.; Li, D.; Wu, Z.; et al. Effect of straw and inhibitors on the fate of nitrogen applied to paddy soil. Sci. Rep. 2020, 10, 21582. [Google Scholar] [CrossRef]
- Chen, B.; Liu, E.; Tian, Q.; Yan, C.; Zhang, Y. Soil nitrogen dynamics and crop residues. A review. Agron. Sustain. Dev. 2014, 34, 429–442. [Google Scholar] [CrossRef]
- Pan, F.; Yu, W.; Ma, Q.; Zhou, H.; Jiang, C.; Xu, Y.; Ren, J. Influence of 15N-labeled ammonium sulfate and straw on nitrogen retention and supply in different fertility soils. Biol. Fertil. Soils 2017, 53, 303–313. [Google Scholar] [CrossRef]
- Cheng, Y.; Wang, J.; Wang, J.; Chang, S.X.; Wang, S. The quality and quantity of exogenous organic carbon input control microbial NO3− immobilization: A meta-analysis. Soil Biol. Biochem. 2017, 115, 357–363. [Google Scholar] [CrossRef]
- Liu, S.; Wang, J.; Pu, S.; Blagodatskaya, E.; Kuzyakov, Y.; Razavi, B.S. Impact of manure on soil biochemical properties: A global synthesis. Sci. Total Environ. 2020, 745, 141003. [Google Scholar] [CrossRef] [PubMed]
- Ma, Q.; Zhang, X.; Wu, Z.; Li, S.; Xu, Z.; Zhou, C.; Xia, Z.; Zhu, M.; Gao, Y.; Yu, W. Occurrence of added nitrogen interaction affected by nitrogen stabilizer and glucose additions in an Alfisol. Eur. J. Soil Biol. 2021, 103, 103285. [Google Scholar] [CrossRef]
- Ding, X.; Han, X.; Zhang, X. Long-term impacts of manure, straw, and fertilizer on amino sugars in a silty clay loam soil under temperate conditions. Biol. Fertil. Soils 2013, 49, 949–954. [Google Scholar] [CrossRef]
- Hu, G.; Liu, X.; He, H.; Zhang, W.; Xie, H.; Wu, Y.; Cui, J.; Sun, C.; Zhang, X. Multi-seasonal nitrogen recoveries from crop residue in soil and crop in a temperate agro-ecosystem. PLoS ONE 2015, 10, e0133437. [Google Scholar] [CrossRef][Green Version]
- Wang, M.; Pendall, E.; Fang, C.; Li, B.; Nie, M. A global perspective on agroecosystem nitrogen cycles after returning crop residue. Agric. Ecosyst. Environ. 2018, 266, 49–54. [Google Scholar] [CrossRef]
- Ding, W.; Li, S.; He, P.; Huang, S. Contribution and fate of maize residue-15N and urea-15N as affected by N fertilization regime. PLoS ONE 2019, 14, e0210176. [Google Scholar] [CrossRef] [PubMed]
- Li, F.; Wang, Z.; Dai, J.; Li, Q.; Wang, X.; Xue, C.; Liu, H.; He, G. Fate of nitrogen from green manure, straw, and fertilizer applied to wheat under different summer fallow management strategies in dryland. Biol. Fertil. Soils 2015, 51, 769–780. [Google Scholar] [CrossRef]
- Bird, J.A.; Horwath, W.R.; Eagle, A.J.; van Kessel, C. Immobilization of fertilizer nitrogen in rice: Effects of straw management practice. Soil Sci. Soc. Am. J. 2001, 65, 1143–1152. [Google Scholar] [CrossRef]
- Liu, X.; Zhou, F.; Hu, G.; Shao, S.; He, H.; Zhang, W.; Zhang, X.; Li, L. Dynamic contribution of microbial residues to soil organic matter accumulation influenced by maize straw mulching. Geoderma 2019, 333, 35–42. [Google Scholar] [CrossRef]







Disclaimer/Publisher’s Note: The statements, opinions and data contained in all publications are solely those of the individual author(s) and contributor(s) and not of MDPI and/or the editor(s). MDPI and/or the editor(s) disclaim responsibility for any injury to people or property resulting from any ideas, methods, instructions or products referred to in the content. |
© 2024 by the authors. Licensee MDPI, Basel, Switzerland. This article is an open access article distributed under the terms and conditions of the Creative Commons Attribution (CC BY) license (https://creativecommons.org/licenses/by/4.0/).
Share and Cite
Quan, Z.; Li, S.; Xun, Z.; Liu, C.; Liu, D.; Wang, Y.; Zhao, X.; Yang, M.; Lu, C.; Chen, X.; et al. Evaluating the Effects of Reduced N Application, a Nitrification Inhibitor, and Straw Incorporation on Fertilizer-N Fates in the Maize Growing Season: A Field 15N Tracer Study. Nitrogen 2024, 5, 584-597. https://doi.org/10.3390/nitrogen5030039
Quan Z, Li S, Xun Z, Liu C, Liu D, Wang Y, Zhao X, Yang M, Lu C, Chen X, et al. Evaluating the Effects of Reduced N Application, a Nitrification Inhibitor, and Straw Incorporation on Fertilizer-N Fates in the Maize Growing Season: A Field 15N Tracer Study. Nitrogen. 2024; 5(3):584-597. https://doi.org/10.3390/nitrogen5030039
Chicago/Turabian StyleQuan, Zhi, Shanlong Li, Zhifeng Xun, Chang Liu, Dong Liu, Yanzhi Wang, Xinghan Zhao, Ming Yang, Caiyan Lu, Xin Chen, and et al. 2024. "Evaluating the Effects of Reduced N Application, a Nitrification Inhibitor, and Straw Incorporation on Fertilizer-N Fates in the Maize Growing Season: A Field 15N Tracer Study" Nitrogen 5, no. 3: 584-597. https://doi.org/10.3390/nitrogen5030039
APA StyleQuan, Z., Li, S., Xun, Z., Liu, C., Liu, D., Wang, Y., Zhao, X., Yang, M., Lu, C., Chen, X., & Fang, Y. (2024). Evaluating the Effects of Reduced N Application, a Nitrification Inhibitor, and Straw Incorporation on Fertilizer-N Fates in the Maize Growing Season: A Field 15N Tracer Study. Nitrogen, 5(3), 584-597. https://doi.org/10.3390/nitrogen5030039

