Abstract
Seedling is a crucial stage in the growth and development of plants, and the expansion and persistence of plant populations can be achieved through seed regeneration. Sheep grazing, fertilization, light, soil moisture, vegetation diversity and biomass, and litter all have potential impacts on species regeneration. We measured vegetation diversity, annual net primary productivity (ANPP), litter, ground photosynthetically active radiation (PAR), and soil moisture of alpine meadows under sheep grazing and nitrogen addition treatments, and studied their effects on the dicotyledonous seedling abundance and diversity using linear regression models (LMs) and structural equation models (SEMs). We found that sheep grazing reduced ANPP, increased vegetation diversity and PAR, and decreased soil moisture. Fertilization increased ANPP and litter, decreased vegetation diversity and PAR, but had no effect on soil moisture. Sheep grazing and fertilization both reduced the abundance of dicotyledonous seedlings, and simultaneously fertilization can reduce the diversity of dicotyledonous seedlings, while sheep grazing had no effect on the diversity of dicotyledonous seedlings. LMs showed that vegetation diversity, ANPP, and litter, rather than light and soil moisture, affected dicotyledonous seedling abundance and diversity. SEMs revealed that sheep grazing and fertilization indirectly influenced seedling regeneration through vegetation diversity rather than ANPP and litter. Our research will increase our understanding of the dicotyledonous plant regeneration process in alpine grasslands and facilitate the development of strategies for management and protection of alpine grassland.
1. Introduction
Seedlings are an important stage in the life history of plants [1,2], and seedling regeneration can affect population size, persistence, and genetic variability by altering plant survival and establishment, ultimately affecting the structure, dynamics, and succession direction of plant communities [1,3,4,5]. Abiotic and biotic environmental factors (e.g., light, soil moisture, litter, aboveground biomass) can affect species regeneration [1].
Light is one of the main environmental factors in the growth process of plants, and it is the energy source that plants rely on for survival [6,7,8]. Plants regulate their growth, development, and morphological changes by sensing light signals to adapt to changes in the external environment. Due to differences in plant physiological characteristics, the demand for light also varies. Different light conditions affect the processes of plant germination and seedling establishment and influence subsequent stages of plant life history [8,9]. Therefore, light plays an important role in the entire plant life cycle of plants. Soil moisture is another important environmental factor for plant growth and survival. In addition, appropriate soil moisture can regulate plant carbon distribution and stress resistance and provide necessary growth conditions for plant regeneration [1]. As the initial stage of plant growth, the seedling stage of plants is extremely sensitive to water, and excessive or insufficient water can affect the normal growth and physiological processes of seedlings [1,10]. Soil moisture also indirectly affects the germination of seeds and the growth of seedlings by influencing factors such as soil aeration and nutrient availability [11].
Grassland aboveground biomass is an important indicator of grassland vegetation status and reflects the annual net primary productivity level of grasslands, playing an important role in the carbon cycle of terrestrial ecosystems [12]. The aboveground biomass of grasslands can affect the photosynthetically active radiation (PAR) on the ground, as well as soil moisture, which in turn affects seedling regeneration [1]. Litter is a collective term for organic matter produced by biological components in terrestrial ecosystems and returned to the ground [13,14,15]. As the first physical environment that plant seeds come into contact with after being released, it can have a significant impact on plant seed germination and seedling survival through environmental effects such as blocking light, changing soil temperature, and increasing water content [16,17]. In addition, vegetation diversity may have a more direct impact on seedling regeneration by affecting the species diversity and abundance of seed output.
Soil fertility reflects the potential ability of soil to supply nutrients to plant roots and affects the species regeneration and survival in plant communities. Nitrogen is a key nutrient element that restricts plant growth in many ecosystems [18,19]. Nitrogen addition can cause an increase in the available nitrogen content in the soil, thereby reducing or breaking the nutrient limitations of nitrogen in the region [20], allowing plant seedlings to absorb and utilize more nutrients for growth. Nitrogen addition in grassland ecosystems typically increases aboveground biomass and litter [19,21], thereby affecting the physical environment required for seedling regeneration.
In grasslands, grazing by domestic herbivores is a very important land use and a major driver of biodiversity and function [22,23,24]. The recent changes in grassland utilization patterns, such as fertilization and overgrazing, have had a significant impact on local grassland productivity and plant diversity [18,19,23,25]. Grazing directly affects plant growth through trampling [26,27] and can also affect the dynamics of the grass population through selective feeding, leading to a decrease in seeds and changes in community structure [18,28], indirectly reducing the abundance and diversity of seedlings.
The Qinghai–Tibet Plateau is one of the highest, largest, and most unique alpine ecosystems in the world. Researchers have found that nitrogen deposition is becoming increasingly evident in this region [29]. In alpine meadows, harsh habitats constrain seed germination and seedling establishment [30,31,32]. Studies have found that grazing and nitrogen input can lead to differences in light, water, vegetation diversity and biomass, and litter in alpine meadow communities [33,34,35,36], which can potentially affect seed germination in communities [37,38]. However, the combined effects of light, soil moisture, aboveground biomass, and litter on seedling abundance and diversity in natural communities have been less studied. Here, in an alpine meadow of the Qinghai–Tibet Plateau, we investigated the effects of sheep grazing and fertilization on the establishment of dicotyledonous seedlings in plant communities, as well as the effects of vegetation diversity and biomass, litter accumulation, light, and soil moisture on the establishment of dicotyledonous seedlings. Specifically, the objectives of our study were to test the following hypothesis: sheep grazing and fertilization will influence the dicotyledonous seedling abundance and diversity directly and indirectly through PAR, soil moisture, vegetation diversity, ANPP, and litter.
2. Materials and Methods
2.1. Study Site
The experimental site is located at the Qinghai Haibei National Field Research Station of Alpine Grassland Ecosystem in China. The station is situated in the northeast of the Qinghai Tibet Plateau. The region has a typical plateau continental climate, with long and cold winters and short and cool summers [39]. The average annual precipitation is 488 mm, mainly distributed in short and cool summers. The annual average temperature is −1.1 °C, ranging from the lowest in January (−15.2 °C) to the highest in July (9.9 °C).
2.2. Experimental Design
The experiment was designed in June 2018 using a split-plot design (sixteen 10 m × 15 m plots), with sheep (Ovis aries L.) grazing (non-grazing and grazing) and fertilization (non-fertilization and fertilization) as the main treatment factors (Figure S1). There were four treatments [non-grazing + non-fertilization (G0F0); non-grazing + fertilization (G0F+); grazing + non-fertilization (G+F0); grazing + fertilization (G+F+)] with each treatment repeated four times. The grazing intensity was 4 sheep units per hectare (SU/hm2). The source of the fertilization was urea (CO(NH2)2) and the amounts applied corresponded to 10 g m−2 of elemental nitrogen.
2.3. Measurement of Abundance and Diversity of Dicotyledonous Seedling and Adult Plants
In late August 2022, for each plot, three sample circles (40 cm diameter) were randomly selected to count species diversity (i.e., number of species) and abundance (i.e., number of individuals) of all dicotyledonous seedlings within each sample circle. This study only focused on dicotyledonous seedlings, firstly because dicotyledonous plants are easy to determine whether they were unearthed in the same year, and secondly because they are easy to identify as species.
We also counted species diversity (i.e., number of species) and abundance (i.e., number of individuals) of adult plants in the three sample circles.
2.4. Measurement of Aboveground Biomass, Litter, and Environmental Factors
We harvested all plants from 4 quadrants (25 cm × 25 cm) in each plot, separated the litter, dried them at 60 °C for 48 h to a constant weight, and weighed them. Aboveground biomass was taken as a proxy for ANPP. At the same time, we used a soil drill to take 4 cylindrical soil cores (3.4 cm diameter, 15 cm deep), weighed the fresh weight, dried it at 105 °C for 24 h, weighed it, and then calculated soil moisture content. In August, the LightScout Quantum PAR Full Spectrum Meter (Spectrum Technologies, Chicago, IL, USA) was used to measure the PAR (PAR0) at the ground level and the PAR (PAR5) at 5 cm aboveground level three times.
2.5. Statistical Analyses
Two-way ANOVAs were used to analyze the effects of sheep grazing and fertilization on the abundance and diversity of dicotyledonous seedlings, PAR0, PAR5, soil moisture, vegetation diversity, ANPP, and litter in alpine meadows. Linear regression models were used to analyze the relationships of dicotyledonous seedling abundance and diversity with PAR0, PAR5, soil moisture, vegetation diversity, ANPP, and litter under sheep grazing and fertilization treatments. Linear regression models were also used to test the relationships of PAR0, PAR5, soil moisture, vegetation diversity with ANPP and litter, and the relationship between ANPP and litter.
We used SEMs to explore indirect and direct effects of sheep grazing and fertilization on the dicotyledonous seedling abundance and diversity. We made hypothesized path diagrams (Figure S2) including factors significantly affecting seedling abundance or diversity in linear regression models. The outputs of the SEMs were produced based on the p-values of conditional independence tests combined into a single Fisher’s C statistic. To release the degrees of freedom, we removed non-significant pathways except for the pathways from sheep grazing/fertilization to seedling abundance/diversity. Two-way ANOVAs, standard linear regression models, and SEMs were conducted using the packages base and piecewiseSEM [40] in R environment (https://www.r-project.org/, accessed on 6 April 2023) [41], respectively.
3. Results
We found that sheep grazing and fertilization significantly affected PAR0 and PAR5, with their interaction not significantly affecting PAR0 and PAR5 (Table 1). Sheep grazing significantly increased PAR0 and PAR5, regardless of fertilization or not (Figure 1A,B). Fertilization significantly reduced PAR5, regardless of sheep grazing or not (Figure 1A,B). Compared to G+F0 treatment, G+F+ treatment significantly reduced PAR0 (Figure 1A). Sheep grazing significantly affected soil moisture (Table 1), and both G+F0 and G+F+ treatments significantly reduced soil moisture compared to G0F+ treatment (Figure 1C).
Table 1.
Effects of sheep grazing and fertilization on ground photosynthetically active radiation (PAR0) at the ground level and the PAR (PAR5) at 5 cm above ground, soil moisture, vegetation diversity, annual net primary productivity (ANPP), litter, and dicotyledonous seedling abundance and diversity based on results from two-way ANOVAs (F values).
Figure 1.
Ground photosynthetically active radiation (PAR0, (A)) at the ground level and the PAR (PAR5, (B)) at 5 cm above ground, soil moisture (C), vegetation diversity (D), annual net primary productivity (ANPP) (E), litter (F), and dicotyledonous seedlings abundance (G) and diversity (H) under treatments (G0F0, non-grazing + non-fertilization; G0F+, non-grazing + fertilization; G+F0, grazing + non-fertilization; G+F+, grazing + fertilization). The error bars indicate ± SE (n = 12). The different lowercase letters indicate significant differences between treatments based on LSD (least significant difference) tests.
Sheep grazing and fertilization both significantly affected vegetation diversity (Table 1). Sheep grazing significantly reduced vegetation diversity, regardless of fertilization or not (Figure 1D). Compared to G0F0, G+F0 treatment significantly increased vegetation diversity (Figure 1D). Fertilization significantly reduced vegetation diversity, regardless of sheep grazing or not (Figure 1D).
Sheep grazing and fertilization both significantly affected ANPP (Table 1). Sheep grazing significantly reduced ANPP, regardless of fertilization or not (Figure 1E). Fertilization significantly increased ANPP, regardless of sheep grazing or not (Figure 1E). Fertilization significantly increased litter (Table 1), regardless of sheep grazing or not (Figure 1F).
We found that sheep grazing and fertilization, as well as their interaction, significantly affected dicotyledonous seedling abundance (Table 1). G+F0, G0F+, and G+F+ treatments all significantly reduced dicotyledonous seedling abundance (Figure 1G). Compared to G+F0, G0F+, and G+F+ treatments both significantly reduced dicotyledonous seedling abundance (Figure 1G). Compared to G0F0, G0F+, and G+F+ treatments both significantly reduced dicotyledonous seedling diversity (Table 1 and Figure 1H). Compared to G+F0, G0F+ significantly reduced dicotyledonous seedling diversity.
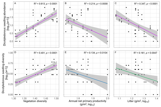
We found that PAR0, PAR5, and soil moisture did not significantly affect dicotyledonous seedling abundance and diversity (Table S1), while vegetation diversity was positively correlated with dicotyledonous seedling abundance (R2 = 0.613) and diversity (R2 = 0.401), and litter and ANPP were negatively correlated with dicotyledonous seedling abundance (R2 = 0.347; R2 = 0.214) and diversity (R2 = 0.161; R2 = 0.134) (Figure 2 and Table S1). In addition, ANPP and litter both significantly reduced PAR0 (R2 = 0.355; R2 = 0.149), PAR5 (R2 = 0.422; R2 = 0.159), and vegetation diversity (R2 = 0.336; R2 = 0.436), but had no significant effect on soil moisture (Table S2). ANPP significantly increased litter (Table S2).
Figure 2.
Relationships of vegetation diversity, annual net primary productivity (ANPP), and litter with dicotyledonous seedling abundance (A–C) and diversity (D–F). The R2 and p values are shown in the figure. Significant relationships are denoted with blue (p < 0.05), green (p < 0.01), and pink (p < 0.001) solid lines, respectively, and gray areas indicate the 95% confidence interval of the fit.
According to the parameter values, our SEMs adequately fitted the data (a: Fisher’s C = 9.25, p = 0.6810, df = 12; b: Fisher’s C = 7.79, p = 0.8020, df = 12). The main results of SEMs (see Figure 3 for details) include: (1) sheep grazing indirectly increased dicotyledonous seedling abundance and diversity by directly promoting vegetation diversity; (2) fertilization indirectly reduced dicotyledonous seedling abundance and diversity by directly decreasing vegetation diversity; (3) sheep grazing and fertilization both directly reduced dicotyledonous seedling abundance; (4) sheep grazing directly decreased ANPP, and fertilization directly increased ANPP and litter; (5) SEMs explained 80% and 42% variance in dicotyledonous seedling abundance and diversity, respectively; (6) SEMs explained 73%, 56%, and 50% variance in vegetation diversity, ANPP, and litter, respectively.
Figure 3.
The structural equation models considered all plausible pathways of direct and indirect effect of sheep grazing and fertilization on dicotyledonous seedling abundance (A) and diversity (B). Solid yellow and green arrows indicate significant negative and positive effects (p < 0.05), respectively. The dashed arrow indicates a non-significant effect (p > 0.05). Numbers above arrows indicate path coefficients. Width of arrows indicates the strength of the causal influence. R2 represents the proportion of variance explained for each dependent variable in the model (A): Fisher’s C = 9.25, p = 0.681, df = 12; (B): Fisher’s C = 7.79, p = 0.802, df = 12). ANPP, annual net primary productivity.
4. Discussion
Grazing and nitrogen input are important disturbances in alpine meadows [25,42,43,44]. We investigated the effects of sheep grazing and nitrogen input, as well as changes in PAR, soil moisture, vegetation diversity, ANPP, and litter, on dicotyledonous seedling abundance and diversity. Our research found that sheep grazing, fertilization, vegetation diversity, ANPP, and litter affected dicotyledonous seedling regeneration. More importantly, sheep grazing and fertilization indirectly influenced seedling regeneration through vegetation diversity rather than PAR, soil moisture, ANPP, and litter, in natural communities, which will increase our understanding of the plant regeneration process in alpine grasslands.
4.1. Influences of Sheep Grazing on the Dicotyledonous Seedling Based on ANOVAs and Linear Regression Models
Previous studies have found that sheep grazing can alter the size of soil seed banks through livestock grazing and trampling [45,46], thereby affecting seedling emergence [47,48]. In this study, sheep grazing increased vegetation diversity and PAR and decreased soil moisture, ANPP, and dicotyledonous seedling abundance, but had no effect on the dicotyledonous seedling diversity. Grazing may reduce the output of seeds into the soil [18], thereby reducing dicotyledonous seedling abundance, which actually has the potential to reduce dicotyledonous seedling diversity. But we did not observe a decrease in the dicotyledonous seedling diversity due to sheep grazing (Figure 1G). Sheep grazing reduced vegetation biomass on the ground (Figure 1E), resulting in large environmental fluctuations in light, water, and temperature on the ground [49]. The appropriate environment fluctuations may have the potential to create more niche differentiation in time and space [50], thereby promoting high seedling diversity. The two processes may counteract each other, resulting in little effect of sheep grazing on the dicotyledonous seedling diversity.
4.2. Influences of Fertilization on the Dicotyledonous Seedling Based on ANOVAs and Linear Regression Models
Soil nutrition can affect the regeneration and survival of seedlings in plant communities [1]. In this study, fertilization reduced dicotyledonous seedling abundance and diversity. Meanwhile, fertilization increased aboveground biomass and litter, while reducing PAR and vegetation diversity. Previous studies generally suggested that low PAR caused by high aboveground biomass limited seedling regeneration [51]. However, this study found that the accumulation of litter, rather than low PAR, limits the abundance and diversity of dicotyledonous seedlings. Litter can reduce seedling establishment by increasing mechanical barriers, producing allelopathic substances, and increasing the risk of fungal infection [4,52]. In addition, fertilization leads to the loss of grassland biodiversity (Figure 1D) [19,44,51], resulting in a decrease in species diversity of seeds input into the soil, which is a reason for the decrease in species diversity of dicotyledonous seedlings.
4.3. Indirect and Direct Effects of Sheep Grazing and Fertilization on the Dicotyledonous Seedling
Based on results of SEMs (Figure 3), we found that sheep grazing indirectly increased dicotyledonous seedling abundance and diversity by directly promoting vegetation diversity. Although sheep grazing reduced ANPP, decreased ANPP did not increase vegetation diversity and dicotyledonous seedling abundance and diversity. It is different from the results of linear regression models (Figure 2) and our expectations (Figure S1). The diverse seed output of vegetation with high species diversity may largely determine the diversity of seedlings, independent of changes in aboveground biomass. The probability of vegetation with high species diversity potentially containing species with high seed yields for seedling establishment also increases. In addition, sheep grazing directly reduced dicotyledonous seedling abundance probably because of the trampling and gnawing of livestock.
In contrast, we found that fertilization indirectly reduced dicotyledonous seedling abundance and diversity through directly decreasing vegetation diversity based on results of SEMs (Figure 3). Fertilization increased ANPP and litter, neither of which reduced dicotyledonous seedling abundance and diversity in SEMs. It is also different from the results of linear regression models (Figure 2) and our expectations (Figure S2). Additionally, fertilization directly reduced dicotyledonous seedling abundance probably because of changes in soil physical and chemical properties (e.g., soil pH) caused by fertilization [19].
There is one limitation of our study, which is that focusing solely on dicotyledonous seedlings cannot fully reflect the seed regeneration process of alpine communities. This study found that sheep grazing decreased the abundance of monocotyledonous plants (Table S1). In general, sheep prefer to eat monocotyledonous plants. Therefore, we predict that sheep grazing will also reduce the abundance of monocotyledonous seedlings like decreasing dicotyledonous seedlings in alpine meadows. We found that fertilization increased the abundance of monocotyledonous plants, but decreased their diversity. (Table S1). Thus, it is difficult to predict the effect of fertilization on monocotyledonous seedlings. In short, we need updated methods to break through the bottleneck of difficult identification of monocotyledonous seedlings in order to have a more comprehensive understanding of seed regeneration in alpine meadows containing a large number of perennial and clonal plants.
5. Conclusions
In this study, sheep grazing and fertilization both reduced the abundance of dicotyledonous seedlings, while fertilization reduced the diversity of dicotyledonous seedlings. This indicates that sheep grazing and fertilization both can affect the regeneration of dicotyledonous seedlings. Meanwhile, although sheep grazing and fertilization affected PAR, soil moisture, vegetation diversity, ANPP, and litter, they indirectly influenced seedling regeneration only through vegetation diversity. Maintaining normal plant regeneration is one of the core measures to protect biodiversity, prevent grassland degradation, and restore degraded grasslands on the Qinghai–Tibet Plateau. Our results improve our understanding of the mechanism of the vegetation regeneration process.
Supplementary Materials
The following supporting information can be downloaded at: https://www.mdpi.com/article/10.3390/nitrogen5020032/s1, Figure S1: Experiment design; Figure S2: The hypothetical pathways for how sheep grazing and fertilization influence dicotyledonous seedling abundance and diversity through vegetation diversity, ANPP, and litter; Table S1: The slopes of relationships of PAR0, PAR5, soil moisture, vegetation diversity, ANPP, and litter with dicotyledonous seedling abundance and diversity; Table S2: The slopes of relationships of PAR0, PAR5, soil moisture, vegetation diversity, ANPP, and litter with ANPP and litter.
Author Contributions
Conceptualization, Z.M. and C.Z.; Formal analysis, Z.W. and C.Z.; Investigation, H.D., Y.M., Z.W., Y.Y. and L.Z.; Methodology, H.D., X.Y., H.L., L.L., and H.Z.; Software, X.Y. and H.L.; Supervision, C.Z.; Writing—original draft, H.D., Z.W., Z.M. and C.Z.; Writing—review & editing, Y.M., L.L. and H.Z. All authors have read and agreed to the published version of the manuscript.
Funding
This research was funded by the Project of Qinghai Science & Technology Department, China (2024-SF-102), the National Natural Science Foundation of China (31960339), and Hainan Tibetan Autonomous Prefecture Science and Technology (2023-KZ01-A).
Institutional Review Board Statement
Not applicable.
Informed Consent Statement
Not applicable.
Data Availability Statement
The data presented in this study are available on request from the corresponding author.
Acknowledgments
We thank members from Chunhui Zhang Lab for help with fieldwork and data collection.
Conflicts of Interest
The authors declare no conflicts of interest.
References
- Fenner, M. (Ed.) Seeds: The Ecology of Regeneration in Plant Communities; CABI Publishing: Wallingford, UK; New York, NY, USA, 2000. [Google Scholar]
- Ma, Z.; Willis, C.G.; Zhang, C.; Zhou, H.; Zhao, X.; Dong, S.; Yao, B.; Huang, X.; Zhao, F.-Y.; Yin, G.-J.; et al. Direct and indirect effect of seed size on seedling survival along an experimental light availability gradient. Agric. Ecosyst. Environ. 2019, 281, 64–71. [Google Scholar] [CrossRef]
- Hanley, M.E. Seedling herbivory and the influence of plant species richness in seedling neighbourhood. Plant Ecol. 2004, 170, 35–41. [Google Scholar] [CrossRef]
- Loydi, A.; Donath, T.W.; Eckstein, R.L.; Otte, A. Non-native species litter reduces germination and growth of resident forbs and grasses: Allelopathic, osmotic or mechanical effects? Biol. Invasions 2015, 17, 581–595. [Google Scholar] [CrossRef]
- Li, W.; Wu, G.L.; Zhang, G.F.; Du, G.Z. The maintenance of offspring diversity in response to land use: Sexual and asexual recruitment in an alpine meadow on the Tibetan Plateau. Nord. J. Bot. 2011, 29, 81–86. [Google Scholar] [CrossRef]
- Monsi, M.; Saeki, T. On the factor light in plant communities and its importance for matter production. Ann. Bot. 2005, 95, 549–567. [Google Scholar] [CrossRef] [PubMed]
- Whippo, C.W.; Hangarter, R.P. Phototropism: Bending towards enlightenment. Plant Cell 2006, 18, 1110–1119. [Google Scholar] [CrossRef] [PubMed]
- Zhang, C.; Willis, C.G.; Burghardt, L.T.; Qi, W.; Liu, K.; de Moura Souza-Filho, P.R.; Ma, Z.; Du, G. The community-level effect of light on germination timing in relation to seed mass: A source of regeneration niche differentiation. New Phytol. 2014, 204, 496–506. [Google Scholar] [CrossRef] [PubMed]
- Zhang, C.; Liu, K.; Qi, W.; Ma, Z.; Du, G. Light-dependent associations of germination timing with subsequent life-history traits and maternal habitats for 476 angiosperms species of the eastern Tibetan Plateau grasslands. Seed Sci. Res. 2014, 24, 207–215. [Google Scholar] [CrossRef]
- Himanen, K.; Lilja, A.; Rytkönen, A.; Nygren, K. Soaking effects on seed germination and fungal infection in Picea abies. Scand. J. For. Res. 2013, 28, 1–7. [Google Scholar] [CrossRef]
- Javaid, M.M.; Tanveer, A. Germination ecology of Emex spinosa and Emex australis, invasive weeds of winter crops. Weed Res. 2014, 54, 565–575. [Google Scholar] [CrossRef]
- Wang, T.; Zhou, W.; Xiao, J.; Xie, L. Estimating the grassland aboveground biomass based on remote sensing data and machine learning algorithm. J. Glaciol. Geocryol. 2023, 45, 753–762. [Google Scholar]
- Cizungu, L.; Staelens, J.; Huygens, D.; Walangululu, J.; Muhindo, D.; Van Cleemput, O.; Boeckx, P. Litterfall and leaf litter decomposition in a central African tropical mountain forest and Eucalyptus plantation. For. Ecol. Manag. 2014, 326, 109–116. [Google Scholar] [CrossRef]
- Giweta, M. Role of litter production and its decomposition, and factors affecting the processes in a tropical forest ecosystem: A review. J. Ecol. Environ. 2020, 44, 11. [Google Scholar] [CrossRef]
- Liu, S.; Plaza, C.; Ochoa-Hueso, R.; Trivedi, C.; Wang, J.; Trivedi, P.; Zhou, G.; Piñeiro, J.; Martins, C.S.C.; Singh, B.K.; et al. Litter and soil biodiversity jointly drive ecosystem functions. Glob. Chang. Biol. 2023, 29, 6276–6285. [Google Scholar] [CrossRef]
- Loydi, A.; Eckstein, R.L.; Otte, A.; Donath, T.W. Effects of litter on seedling establishment in natural and semi-natural grasslands: A meta-analysis. J. Ecol. 2013, 101, 454–464. [Google Scholar] [CrossRef]
- Zhang, X.; Ni, X.; Heděnec, P.; Yue, K.; Wei, X.; Yang, J.; Wu, F. Litter facilitates plant development but restricts seedling establishment during vegetation regeneration. Funct. Ecol. 2022, 36, 3134–3147. [Google Scholar] [CrossRef]
- Li, J.; Zhang, C.; Yang, Z.; Guo, H.; Zhou, X.; Du, G. Grazing and fertilization influence plant species richness via direct and indirect pathways in an alpine meadow of the eastern Tibetan Plateau. Grass Forage Sci. 2017, 72, 343–354. [Google Scholar] [CrossRef]
- Zhang, C.; Willis, C.G.; Ma, Z.; Ma, M.; Csontos, P.; Baskin, C.C.; Baskin, J.M.; Li, J.; Zhou, H.; Zhao, X.; et al. Direct and indirect effects of long-term fertilization on the stability of the persistent seed bank. Plant Soil 2019, 438, 239–250. [Google Scholar] [CrossRef]
- Lebauer, D.S.; Treseder, K.K. Nitrogen limitation of net primary productivity in terrestrial ecosystems is globally distributed. Ecology 2008, 89, 371–379. [Google Scholar] [CrossRef] [PubMed]
- Lee, M.; Manning, P.; Rist, J.; Power, S.A.; Marsh, C. A global comparison of grassland biomass responses to CO2 and nitrogen enrichment. Philos. Trans. R. Soc. B. 2010, 365, 2047–2056. [Google Scholar] [CrossRef] [PubMed]
- Zhang, M.; Delgado-Baquerizo, M.; Li, G.; Isbell, F.; Wang, Y.; Hautier, Y.; Wang, Y.; Xiao, Y.; Cai, J.; Pan, X.; et al. Experimental impacts of grazing on grassland biodiversity and function are explained by aridity. Nat. Commun. 2023, 14, 5040. [Google Scholar] [CrossRef] [PubMed]
- Chen, S.D.; Sun, Y.X.; Wang, Y.H.; Luo, G.; Ran, J.H.; Zeng, T.; Zhang, P. Grazing weakens the linkages between plants and soil biotic communities in the alpine grassland. Sci. Total Environ. 2024, 913, 169417. [Google Scholar] [CrossRef] [PubMed]
- Tan, Y.C.; Chen, Z.; Liu, W.W.; Yang, M.Y.; Du, Z.L.; Wang, Y.F.; Bol, R.; Wu, D. Grazing exclusion alters denitrification N2O/(N2O + N2) ratio in alpine meadow of Qinghai-Tibet Plateau. Sci. Total Environ. 2024, 912, 169358. [Google Scholar] [CrossRef] [PubMed]
- Zhang, C.; Willis, C.G.; Klein, J.A.; Ma, Z.; Li, J.; Zhou, H.; Zhao, X. Recovery of plant species diversity during long-term experimental warming of a species-rich alpine meadow community on the Qinghai-Tibet plateau. Biol. Conserv. 2017, 213, 218–224. [Google Scholar] [CrossRef]
- Eichberg, C.; Donath, T.W. Sheep trampling on surface-lying seeds improves seedling recruitment in open sand ecosystems. Restor. Ecol. 2018, 26, S211–S219. [Google Scholar] [CrossRef]
- Gallacher, D.J.; Hill, J.P. Effects of camel grazing on density and species diversity of seedling emergence in the Dubai (UAE) inland desert. J. Arid. Environ. 2008, 72, 853–860. [Google Scholar] [CrossRef]
- Niu, K.; He, J.S.; Lechowicz, M.J. Grazing-induced shifts in community functional composition and soil nutrient availability in Tibetan alpine meadows. J. Appl. Ecol. 2016, 53, 1554–1564. [Google Scholar] [CrossRef]
- Yu, G.; Jia, Y.; He, N.; Zhu, J.; Chen, Z.; Wang, Q.; Piao, S.; Liu, X.; He, H.; Guo, X.; et al. Stabilization of atmospheric nitrogen deposition in China over the past decade. Nat. Geosci. 2019, 12, 424–429. [Google Scholar] [CrossRef]
- Hawkes, C.V. Effects of biological soil crusts on seed germination of four endangered herbs in a xeric Florida shrubland during drought. Plant Ecol. 2004, 170, 121–134. [Google Scholar] [CrossRef]
- Deutsch, E.S.; Bork, E.W.; Willms, W.D. Soil moisture and plant growth responses to litter and defoliation impacts in Parkland grasslands. Agric. Ecosyst. Environ. 2010, 135, 1–9. [Google Scholar] [CrossRef]
- Gunaratne, A.M.T.A.; Gunatilleke, C.V.S.; Gunatilleke, I.A.U.N.; Madawala, H.M.S.P.; Burslem, D.F.R.P. Overcoming ecological barriers to tropical lower montane forest succession on anthropogenic grasslands: Synthesis and future prospects. For. Ecol. Manag. 2014, 329, 340–350. [Google Scholar] [CrossRef]
- Aarssen, L.W.; Schamp, B.S.; Pither, J. Why are there so many small plants? Implications for species coexistence. J. Ecol. 2006, 94, 569–580. [Google Scholar] [CrossRef]
- Hillebrand, H.; Gruner, D.S.; Borer, E.T.; Bracken, M.E.S.; Cleland, E.E.; Elser, J.J.; Harpole, W.S.; Ngai, J.T.; Seabloom, E.W.; Shurin, J.B.; et al. Consumer versus resource control of producer diversity depends on ecosystem type and producer community structure. Proc. Natl. Acad. Sci. USA 2007, 104, 10904–10909. [Google Scholar] [CrossRef]
- Semmartin, M.; Garibaldi, L.A.; Chaneton, E.J. Grazing history effects on above-and below-ground litter decomposition and nutrient cycling in two co-occurring grasses. Plant Soil 2008, 303, 177–189. [Google Scholar] [CrossRef]
- Gusmeroli, F.; Della Marianna, G.; Fava, F.; Monteiro, A.; Bocchi, S.; Parolo, G. Effects of ecological, landscape and management factors on plant species composition, biodiversity and forage value in Alpine meadows. Grass Forage Sci. 2013, 68, 437–447. [Google Scholar] [CrossRef]
- Westoby, M.; Wright, I.J. Land-plant ecology on the basis of functional traits. Trends Ecol. Evol. 2006, 21, 261–268. [Google Scholar] [CrossRef] [PubMed]
- Long, R.L.; Gorecki, M.J.; Renton, M.; Scott, J.K.; Colville, L.; Goggin, D.E.; Commander, L.E.; Westcott, D.A.; Cherry, H.; Finch-Savage, W.E. The ecophysiology of seed persistence: A mechanistic view of the journey to germination or demise. Biol. Rev. 2015, 90, 31–59. [Google Scholar] [CrossRef] [PubMed]
- Zhang, C.; Ma, Z.; Zhou, H.; Zhao, X. Long-term warming results in species-specific shifts in seed mass in alpine communities. PeerJ 2019, 7, e7416. [Google Scholar] [CrossRef] [PubMed]
- Lefcheck, J.S. piecewiseSEM: Piecewise structural equation modelling in r for ecology, evolution, and systematics. Methods Ecol. Evol. 2016, 7, 573–579. [Google Scholar] [CrossRef]
- R Core Team. R: A Language and Environment for Statistical Computing; R Foundation for Statistical Computing: Vienna, Austria, 2023; Available online: https://www.R-project.org/ (accessed on 6 April 2023).
- Onipchenko, V.G.; Makarov, M.I.; Akhmetzhanova, A.A.; Soudzilovskaia, N.A.; Aibazova, F.U.; Elkanova, M.K.; Stogova, A.V.; Cornelissen, J.H.C. Alpine plant functional group responses to fertiliser addition depend on abiotic regime and community composition. Plant Soil 2012, 357, 103–115. [Google Scholar] [CrossRef]
- Feng, B.; Liu, Y.-Z.; Liu, W.-T.; Lv, W.-D.; Sun, C.-C.; Yang, Z.-Z.; Li, C.-D.; Zhou, Q.-Y.; Wang, F.-C.; Yang, X.-X.; et al. Soil physicochemical properties and plant functional traits regulate ecosystem multifunctionality of alpine grassland under different livestock grazing assemblies. Agric. Ecosyst. Environ. 2024, 366, 108947. [Google Scholar] [CrossRef]
- He, S.; Du, J.; Wang, Y.; Cui, L.; Liu, W.; Xiao, Y.; Ran, Q.; Li, L.; Zhang, Z.; Tang, L.; et al. Differences in background environment and fertilization method mediate plant response to nitrogen fertilization in alpine grasslands on the Qinghai-Tibetan Plateau. Sci. Total Environ. 2024, 906, 167272. [Google Scholar] [CrossRef] [PubMed]
- An, H.; Baskin, C.C.; Ma, M. Nonlinear response of the soil seed bank and its role in plant community regeneration with increased grazing disturbance. J. Appl. Ecol. 2022, 59, 2593–2603. [Google Scholar] [CrossRef]
- Shi, Y.; Shi, S.; Huang, X.; Jiang, Y.; Liu, J.; Zhao, Y.; Zhang, Z. A global meta-analysis of grazing effects on soil seed banks. Land Degrad. Dev. 2022, 33, 1892–1900. [Google Scholar] [CrossRef]
- Osem, Y.; Konsens, I.; Perevolotsky, A.; Kigel, J. Soil seed bank and seedling emergence of Sarcopoterium spinosum as affected by grazing in a patchy semiarid shrubland. Israel J. Plant Sci. 2007, 55, 35–43. [Google Scholar] [CrossRef]
- Kiss, R.; Deak, B.; Tothmeresz, B.; Miglecz, T.; Toth, K.; Torok, P.; Lukacs, K.; Godo, L.; Kormoczi, Z.; Radocz, S.; et al. Establishment gaps in species-poor grasslands: Artificial biodiversity hotspots to support the colonization of target species. Restor. Ecol. 2021, 29, e13135. [Google Scholar] [CrossRef]
- Wang, X.; Zi, H.; Wang, J.; Guo, X.; Zhang, Z.; Yan, T.; Wang, Q.; He, J.-S. Grazing-induced changes in soil microclimate and aboveground biomass modulate freeze–thaw processes in a Tibetan alpine meadow. Agric. Ecosyst. Environ. 2023, 357, 108659. [Google Scholar] [CrossRef]
- Levin, S.A.; Paine, R.T. Disturbance, patch formation, and community structure. Proc. Natl. Acad. Sci. USA 1974, 71, 2744–2747. [Google Scholar] [CrossRef] [PubMed]
- Hautier, Y.; Niklaus, P.A.; Hector, A. Competition for light causes plant biodiversity loss after eutrophication. Science 2009, 324, 636–638. [Google Scholar] [CrossRef] [PubMed]
- Rotundo, J.L.; Aguiar, M.R. Litter effects on plant regeneration in arid lands: A complex balance between seed retention, seed longevity and soil-seed contact. J. Ecol. 2005, 93, 829–838. [Google Scholar] [CrossRef]
Disclaimer/Publisher’s Note: The statements, opinions and data contained in all publications are solely those of the individual author(s) and contributor(s) and not of MDPI and/or the editor(s). MDPI and/or the editor(s) disclaim responsibility for any injury to people or property resulting from any ideas, methods, instructions or products referred to in the content. |
© 2024 by the authors. Licensee MDPI, Basel, Switzerland. This article is an open access article distributed under the terms and conditions of the Creative Commons Attribution (CC BY) license (https://creativecommons.org/licenses/by/4.0/).


