Crop Rotation and Nitrogen Fertilizer on Nitrate Leaching: Insights from a Low Rainfall Study
Abstract
1. Introduction
2. Materials and Methods
2.1. Experimental Area
2.2. Experimental Design and Management
2.3. Soil Solution Collection
2.4. Meteorological Data
2.5. Drainage
2.6. Calculation
2.6.1. NO3− Concentration and Load
2.6.2. Statistical Analysis
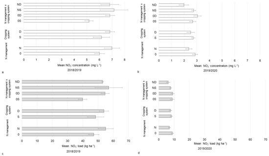
3. Results
4. Discussion
5. Conclusions
Author Contributions
Funding
Data Availability Statement
Acknowledgments
Conflicts of Interest
References
- Singh, B.; Craswell, E. Fertilizers and nitrate pollution of surface and ground water: An increasingly pervasive global problem. SN Appl. Sci. 2021, 3, 518. [Google Scholar] [CrossRef]
- Cameron, K.C.; Di, H.J.; Moir, J.L. Nitrogen losses from the soil/plant system: A review. Ann. Appl. Biol. 2013, 162, 145–173. [Google Scholar] [CrossRef]
- Good, A.G.; Beatty, P.H. Fertilizing nature: A tragedy of excess in the commons. PLoS Biol. 2011, 9, e1001124. [Google Scholar] [CrossRef] [PubMed]
- Paerl, H.W.; Xu, H.; McCarthy, M.J.; Zhu, G.; Qin, B.; Li, Y. Gardner WS. Controlling harmful cyanobacterial blooms in a hyper-eutrophic lake (Lake Taihu, China): The need for a dual nutrient (N & P) management strategy. Water Res. 2011, 45, 1973–1983. [Google Scholar] [CrossRef] [PubMed]
- Food and Agriculture Organization of the United Nations. FAOSTAT: Data—Fertilizers by Nutrients. Available online: https://www.fao.org/faostat/en/#data/RFN/ (accessed on 8 March 2024).
- Soumare, A.; Diedhiou, A.G.; Thuita, M.; Hafidi, M.; Ouhdouch, Y.; Gopalakrishnan, S.; Kouisni, L. Exploiting biological nitrogen fixation: A route towards sustainable agriculture. Plants 2020, 9, 1011. [Google Scholar] [CrossRef] [PubMed]
- Food and Agriculture Organization of the United Nations. FAOSTAT: Cropland Nutrient Budget. Available online: https://www.fao.org/faostat/en/#data/ESB (accessed on 7 March 2024).
- Battye, W.; Aneja, V.P.; Schlesinger, W.H. Is nitrogen the next carbon? Earth’s Future 2017, 5, 894–904. [Google Scholar] [CrossRef]
- Rütting, T.; Aronsson, H.; Delin, S. Efficient use of nitrogen in agriculture. Nutr. Cycl. Agroecosyst. 2018, 110, 1–5. [Google Scholar] [CrossRef]
- Hussain, M.Z.; Robertson, G.P.; Basso, B.; Hamilton, S.K. Leaching losses of dissolved organic carbon and nitrogen from agricultural soils in the upper US Midwest. Sci. Total Environ. 2020, 734, 139379. [Google Scholar] [CrossRef]
- Wang, Z.H.; Li, S.X. Nitrate N loss by leaching and surface runoff in agricultural land: A global issue (a review). Adv. Agron. 2019, 56, 159–217. [Google Scholar] [CrossRef]
- Sanchez, P.A. Properties and Management of Soils in the Tropics, 2nd ed.; Cambridge University Press: Cambridge, UK, 2019. [Google Scholar]
- Daryanto, S.; Wang, L.; Jacinthe, P.A. Impacts of no-tillage management on nitrate loss from corn, soybean and wheat cultivation: A meta-analysis. Sci. Rep. 2017, 7, 12117. [Google Scholar] [CrossRef]
- Federação Brasileira do Sistema Plantio Direto. Área Sob Plantio Direto. Available online: https://plantiodireto.org.br/area-de-pd (accessed on 13 December 2023).
- Fuentes-Llanillo, R.; Telles, T.S.; Soares, D., Jr.; Melo, T.R.; Friedrich, T.; Kassam, A. Expansion of no-tillage practices in conservation agriculture in Brazil. Soil Tillage Res. 2021, 208, 104877. [Google Scholar] [CrossRef]
- Food and Agriculture Organization of the United Nations. Save and Grow in Practice: Maize, Rice and Wheat, 1st ed.; FAO: Rome, Italy, 2016; Available online: https://www.fao.org/publications/card/en/c/b22331a7-442b-4454-a951-46cda21055e3 (accessed on 3 March 2024).
- Possamai, E.J.; Conceição, P.C.; Amadori, C.; Bartz, M.L.C.; Ralisch, R.; Vicensi, M.; Marx, E.F. Adoption of the no-tillage system in Paraná State: A (re)view. Rev. Bras. Ciência Solo 2022, 46, e0210104. [Google Scholar] [CrossRef]
- Komainda, M.; Taube, F.; Kluß, C.; Herrmann, A. Effects of catch crops on silage maize (Zea mays L.): Yield, nitrogen uptake efficiency and losses. Nutr. Cycl. Agroecosyst. 2018, 110, 51–69. [Google Scholar] [CrossRef]
- Koropeckyj-Cox, L.; Christianson, R.D.; Yuan, Y. Effectiveness of conservation crop rotation for water pollutant reduction from agricultural areas. ASABE 2021, 64, 691–704. [Google Scholar] [CrossRef] [PubMed]
- Li, J.; Hu, W.; Chau, H.W.; Beare, M.; Cichota, R.; Teixeira, E.; Moore, T.; Di, H.; Cameron, K.; Guo, J.; et al. Response of nitrate leaching to no-tillage is dependent on soil, climate, and management factors: A global meta-analysis. Glob. Chang. Biol. 2023, 29, 2172–2187. [Google Scholar] [CrossRef] [PubMed]
- Spiess, E.; Humphrys, C.; Richner, W.; Schneider, M.K.; Piepho, H.; Chervet, A.; Prasuhn, V. Does no-tillage decrease nitrate leaching compared to ploughing under a long-term crop rotation in Switzerland? Soil Tillage Res. 2020, 199, 104590. [Google Scholar] [CrossRef]
- Food and Agriculture Organization of the United Nations. FAOSTAT: Crops and Livestock Products. Available online: https://www.fao.org/faostat/en/#data/QCL (accessed on 13 December 2023).
- Padilla, F.M.; Gallardo, M.; Manzano-Agugliaro, F. Global trends in nitrate leaching research in the 1960–2017 period. Sci. Total Environ. 2018, 643, 400–413. [Google Scholar] [CrossRef] [PubMed]
- Nitsche, P.R.; Caramori, P.H.; Ricce, W.S.; Pinto, L.F.D. Atlas Climático do Estado do Paraná, 1st ed.; IAPAR: Londrina, Brazil, 2019. [Google Scholar]
- Bognola, I.A.; Curcio, G.R.; Gomes, J.B.V.; Caviglione, J.H.; Uhlmann, A.; Cardoso, A.; Carvalho, A.P. Levantamento Semidetalhado de Solos do Município de Londrina—PR, 1st ed.; IAPAR: Londrina, Brazil, 2011. [Google Scholar]
- Santos, H.G.; Jacomine, P.K.T.; Anjos, L.H.C.; Oliveira, V.A.; Lumbreras, J.F.; Coelho, M.R.; de Almeida, J.A.; de Araújo Filho, J.C.; de Oliveira, J.B.; Cunha, T.J.F. Sistema Brasileiro de Classificação de Solos, 5th ed.; Embrapa: Brasília, Brazil, 2018. [Google Scholar]
- Soil Survey Staff. Soil Taxonomy: A Basic System of Soil Classification for Making and Interpreting Soil Surveys, 2nd ed.; USDA: Washington, DC, USA; NRCS: Washington, DC, USA, 1999. [Google Scholar]
- Teixeira, P.C.; Donagemma, G.K.; Fontana, A.; Teixeira, W.G. Manual de Métodos de Análise de Solo, 3rd ed.; Embrapa: Brasília, Brazil, 2017. [Google Scholar]
- Pauletti, V.; Motta, A.C.V. Manual de Adubação e Calagem para o Estado do Paraná, 2nd ed.; SBCS: Curitiba, Brazil, 2019. [Google Scholar]
- Bajracharya, R.M.; Homagain, A. Fabrication and testing of a low-cost ceramic-cup soil solution sampler. Agric. Water Manag. 2006, 84, 207–211. [Google Scholar] [CrossRef]
- Instituto de Desenvolvimento Rural do Paraná. Dados Meteorológicos Históricos e Atuais: Médias Históricas em Estações do IDR-Paraná: Londrina. Available online: https://www.idrparana.pr.gov.br/Pagina/Dados-Meteorologicos-Historicos-e-Atuais/ (accessed on 13 December 2023).
- Soil Water Atmosphere Plant. Soil, Water, Atmosphere and Plant. Available online: https://www.swap.alterra.nl/ (accessed on 10 December 2023).
- Kroes, J.; Van Dam, J.; Bartholomeus, R.; Groenendijk, P.; Heinen, M.; Hendriks, R.; Mulder, H.M.; Supit, I.; van Walsum, P.E.V. SWAP Version 4: Theory Description and User Manual, 1st ed.; Wageningen Environmental Research: Wageningen, The Netherlands, 2017. [Google Scholar]
- Richter, G.L.; Zanon Júnior, A.; Streck, N.A.; Guedes, J.V.C.; Kräulich, B.; Rocha, T.S.M.; Winck, J.E.M.; Cera, J.C. Estimativa da área de folhas de cultivares antigas e modernas de soja por método não destrutivo. Bragantia 2014, 73, 416–425. [Google Scholar] [CrossRef]
- Guimarães, D.P.; Sans, L.M.A.; Moraes, A.V.C. Estimativa da área foliar de cultivares de milho. In Proceedings of the 24th Congresso Nacional de Milho e Sorgo, Florianópolis, Brazil, 5 September 2002; Available online: https://ainfo.cnptia.embrapa.br/digital/bitstream/item/34888/1/Estimativa-area.pdf (accessed on 28 February 2024).
- Pinto, V.M. Simulation of Water and Nitrogen Dynamics in a Cerrado Soil under Coffee Cultivation Using SWAP and ANIMO Models. Ph.D. Thesis, CENA/USP, Piracicaba, Brazil, 2016. Available online: https://teses.usp.br/teses/disponiveis/64/64134/tde-02022016-105753/en.php (accessed on 28 February 2024).
- Rice, E.W.; Baird, R.B.; Eaton, A.D. 4500-NO3− B. Ultraviolet spectrophotometric screening method. In Standard Methods for the Examination of Water and Wastewater, 23rd ed.; Rice, E.W., Baird, R.B., Eaton, A.D., Eds.; American Public Health Association (APHA): Washington, DC, USA, 2017; pp. 4–127. [Google Scholar]
- Rosolem, C.A.; Castoldi, G.; Pivetta, L.A.; Ochsner, T.E. Nitrate leaching in soybean rotations without nitrogen fertilizer. Plant Soil 2018, 423, 27–40. [Google Scholar] [CrossRef]
- De Wit, A. Parameter Sets for the WOFOST Crop Simulation Model. Available online: https://github.com/ajwdewit/WOFOST_crop_parameters (accessed on 13 December 2023).
- Willmott, C.J. On the validation of models. Phys. Geogr. 1981, 2, 184–194. [Google Scholar] [CrossRef]
- Nash, J.E.; Sutcliffe, J.V. River flow forecasting through conceptual models part 1—A discussion of principles. J. Hydrol. 1970, 10, 282–290. [Google Scholar] [CrossRef]
- Groenendijk, P.; Heinen, M.; Klammler, G.; Fankb, J.; Kupfersberger, H.; Pisinaras, V.; Gemitzi, A.; Peña-Haro, S.; García-Prats, A.; Pulido-Velazquez, M.; et al. Performance assessment of nitrate leaching models for highly vulnerable soils used in low-input farming based on lysimeter data. Sci. Total Environ. 2014, 499, 463–480. [Google Scholar] [CrossRef] [PubMed]
- Companhia Brasileira de Abastecimento. Série Histórica: Soja. Available online: https://www.conab.gov.br/info-agro/safras/serie-historica-das-safras/itemlist/category/911-soja/ (accessed on 13 December 2023).
- Companhia Brasileira de Abastecimento. Série Histórica: Milho. Available online: https://www.conab.gov.br/info-agro/safras/serie-historica-das-safras/itemlist/category/910-Milho/ (accessed on 13 December 2023).
- Companhia Brasileira de Abastecimento. Série Histórica: Trigo. Available online: https://www.conab.gov.br/info-agro/safras/serie-historica-das-safras/itemlist/category/913-trigo (accessed on 13 December 2023).
- Sah, R.O.; Chakraborty, M.; Prasad, K.; Pandit, M.; Tudu, V.K.; Chakravarty, M.K.; Narayan, S.C.; Rana, M.; Moharana, D. Impact of water deficit stress in maize: Phenology and yield components. Sci. Rep. 2020, 10, 2944. [Google Scholar] [CrossRef] [PubMed]
- Iqbal, A.; Dong, Q.; Wang, X.; Gui, H.; Zhang, H.; Zhang, X.; Song, M. High nitrogen enhance drought tolerance in cotton through antioxidant enzymatic activities, nitrogen metabolism and osmotic adjustment. Plants 2020, 9, 178. [Google Scholar] [CrossRef] [PubMed]
- Song, Y.; Li, J.; Liu, M.; Meng, Z.; Liu, K.; Sui, N. Nitrogen increases drought tolerance in maize seedlings. Funct. Plant Biol. 2019, 46, 350–359. [Google Scholar] [CrossRef] [PubMed]
- Mansouri-Far, C.; Sanavy, S.A.M.M.; Saberali, S.F. Maize yield response to deficit irrigation during low-sensitive growth stages and nitrogen rate under semi-arid climatic conditions. Agric. Water Manag. 2010, 97, 12–22. [Google Scholar] [CrossRef]
- Jin, Z.; Zhuang, Q.; Wang, J.; Archontoulis, S.V.; Zobel, Z.; Kotamarthi, V.R. The combined and separate impacts of climate extremes on the current and future US rainfed maize and soybean production under elevated CO2. Glob. Chang. Biol. 2017, 23, 2687–2704. [Google Scholar] [CrossRef]
- Grzyb, A.; Wolna-Maruwka, A.; Niewiadomska, A. Environmental factors affecting the mineralization of crop residues. Agronomy 2020, 10, 1951. [Google Scholar] [CrossRef]
- Norton, J.; Ouyang, Y. Controls and adaptive management of nitrification in agricultural soils. Front. Microbiol. 2019, 10, 1931. [Google Scholar] [CrossRef]
- Jabloun, M.; Schelde, K.; Tao, F.; Olesen, J.E. Effect of temperature and precipitation on nitrate leaching from organic cereal cropping systems in Denmark. Eur. J. Agron. 2015, 62, 55–64. [Google Scholar] [CrossRef]
- Liang, X.-Q.; Xu, L.; Li, H.; He, M.-M.; Qian, Y.-C.; Liu, J.; Nie, Z.-Y.; Ye, Y.-S.; Chen, Y. Influence of N fertilization rates, rainfall, and temperature on nitrate leaching from a rainfed winter wheat field in Taihu watershed. Phys. Chem. Earth 2011, 36, 395–400. [Google Scholar] [CrossRef]
- Bowles, T.M.; Atallah, S.S.; Campbell, E.E.; Gaudin, A.C.M.; Wieder, W.R.; Grandy, A.S. Addressing agricultural nitrogen losses in a changing climate. Nat. Sustain. 2018, 1, 399–408. [Google Scholar] [CrossRef]
- Brady, N.C.; Weil, R.R. Elementos da Natureza e Propriedades do Solo, 3rd ed.; Bookman: Porto Alegre, Brazil, 2013. [Google Scholar]
- Ghiberto, P.J.; Libardi, P.L.; Brito, A.S.; Trivelin, P.C.O. Nitrogen fertilizer leaching in an Oxisol cultivated with sugarcane. Sci. Agric. 2011, 68, 86–93. [Google Scholar] [CrossRef]
- Bortolotto, R.P.; Bruno, I.P.; Reichardt, K.; Timm, L.C.; Amado, T.J.C.; Ferreira, A.O. Nitrogen fertilizer (15N) leaching in a central pivot fertigated coffee crop. Rev. Ceres 2012, 59, 466–475. [Google Scholar] [CrossRef]
- Wang, Y.; Ying, H.; Yin, Y.; Zheng, H.; Cui, Z. Estimating soil nitrate leaching of nitrogen fertilizer from global meta-analysis. Sci. Total Environ. 2019, 657, 96–102. [Google Scholar] [CrossRef]
- Hess, L.J.T.; Hinckley, E.S.; Robertson, G.P.; Matson, P.A. Rainfall intensification increases nitrate leaching from tilled but not no-till cropping systems in the U.S. Midwest. Agric. Ecosyst. Environ. 2020, 290, 106747. [Google Scholar] [CrossRef]
- Pasley, H.; Nichols, V.; Castellano, M.; Baum, M.; Kladivko, E.; Helmers, M.; Archontoulis, S. Rotating maize reduces the risk and rate of nitrate leaching. Environ. Res. Lett. 2021, 16, 064063. [Google Scholar] [CrossRef]
- Meisinger, J.J.; Palmer, R.E.; Timlin, D.J. Effects of tillage practices on drainage and nitrate leaching from winter wheat in the Northern Atlantic Coastal-Plain USA. Soil Tillage Res. 2015, 151, 18–27. [Google Scholar] [CrossRef]
- Xiao, Q.; Hu, Z.; Fu, C.; Bian, H.; Lee, X.; Chen, S.; Shang, D. Surface nitrous oxide concentrations and fluxes from water bodies of the agricultural watershed in Eastern China. Environ. Pollut. 2019, 251, 185e192. [Google Scholar] [CrossRef]
- John, A.A.; Jones, C.A.; Ewing, S.A.; Sigler, W.A.; Bekkerman, A.; Miller, P.R. Fallow replacement and alternative nitrogen management for reducing nitrate leaching in a semiarid region. Nutr. Cycl. Agroecosyst. 2017, 108, 279–296. [Google Scholar] [CrossRef]
- Plaza-Bonilla, D.; Nolot, J.; Raffaillac, D.; Justes, E. Cover crops mitigate nitrate leaching in cropping systems including grain legumes: Field evidence and model simulations. Agric. Ecosyst. Environ. 2015, 212, 1–12. [Google Scholar] [CrossRef]
- Nouri, A.; Lukas, S.; Singh, S.; Singh, S.; Machado, S. When do cover crops reduce nitrate leaching? A global meta-analysis. Glob. Chang. Biol. 2022, 28, 4736–4749. [Google Scholar] [CrossRef] [PubMed]
- McCoy, J.M.; Kaur, G.; Golden, B.R.; Orlowski, J.M.; Cook, D.R.; Bond, J.A.; Cox, M.S. Nitrogen fertilization of soybean affects root growth and nodulation on two soil types in Mississippi. Commun. Soil Sci. Plant Anal. 2018, 49, 181–187. [Google Scholar] [CrossRef]
- Fustec, J.; Lesuffleur, F.; Mahieu, S.; Cliquet, J. Nitrogen rhizodeposition of legumes. A review. Agron. Sustain. Dev. 2010, 30, 57–66. [Google Scholar] [CrossRef]
- Thapa, R.; Mirsky, S.B.; Tully, K.L. Cover crops reduce nitrate leaching in agroecosystems: A global meta-analysis. J. Environ. Qual. 2018, 47, 1400–1411. [Google Scholar] [CrossRef]
- Meyer, N.; Bergez, J.E.; Constantin, J.; Justes, E. Cover crops reduce water drainage in temperate climates: A meta-analysis. Agron. Sustain. Dev. 2019, 39, 3. [Google Scholar] [CrossRef]
- Zhou, S.L.; Wu, Y.C.; Wang, Z.M.; Lu, L.Q.; Wang, R.Z. The nitrate leached below maize root zone is available for deep-rooted wheat in winter wheat-summer maize rotation in the North China Plain. Environ. Pollut. 2008, 152, 723–730. [Google Scholar] [CrossRef] [PubMed]
- Zhou, M.; Butterbach-Bahl, K. Assessment of nitrate leaching loss on a yield-scaled basis from maize and wheat cropping systems. Plant Soil 2014, 374, 977–991. [Google Scholar] [CrossRef]
- Ordóñez, R.A.; Archontoulis, S.V.; Martinez-Feria, R.; Hatfield, J.L.; Wright, E.E.; Castellano, M.J. Root to shoot and carbon to nitrogen ratios of maize and soybean crops in the US Midwest. Eur. J. Agron. 2020, 120, 126130. [Google Scholar] [CrossRef]
- Ehdaie, B.; Merhaut, D.J.; Ahmadian, S.; Hoops, A.C.; Khuong, T.; Layne, A.P.; Waines, J.G. Root system size influences water-nutrient uptake and nitrate leaching potential in wheat. J. Agron. Crop. Sci. 2010, 196, 455–466. [Google Scholar] [CrossRef]
- Qiu, J.; Shen, Z.; Leng, G.; Wei, G. Synergistic effect of drought and rainfall events of different patterns on watershed systems. Sci. Rep. 2021, 11, 18957. [Google Scholar] [CrossRef] [PubMed]
- Bauwe, A.; Tiemeyer, B.; Kahle, P.; Lennartz, B. Classifying hydrological events to quantify their impact on nitrate leaching across three spatial scales. J. Hydrol. 2015, 531, 589–601. [Google Scholar] [CrossRef]
- Sarkar, S.; Mukherjee, A.; Senapati, B.; Duttagupta, S. Predicting potential climate change impacts on groundwater nitrate pollution and risk in an intensely cultivated area of South Asia. ACS Environ. Au 2022, 2, 556–576. [Google Scholar] [CrossRef]
- Greaver, T.L.; Clark, C.M.; Compton, J.E.; Vallano, D.; Talhelm, A.F.; Weaver, C.P.; Band, L.E.; Baron, J.S.; Davidson, E.A.; Tague, C.L.; et al. Key ecological responses to nitrogen are altered by climate change. Nat. Clim. Chang. 2016, 6, 836–843. [Google Scholar] [CrossRef]




| pH * | C | P | K | Ca | Mg | Al | H + Al | SB | CEC | V | |
|---|---|---|---|---|---|---|---|---|---|---|---|
| g dm−3 | mg dm−3 | cmolc dm−3 | % | ||||||||
| Fall/winter 2018 | 5.1 | 15.8 | 8.6 | 0.3 | 4.4 | 2.4 | 0.0 | 5.4 | 7.0 | 12.4 | 56.7 |
| Spring/summer 2018/2019 | 4.9 | 17.3 | 12.5 | 0.4 | 4.5 | 2.3 | 0.1 | 5.9 | 7.1 | 13.0 | 54.1 |
| Fall/winter 2019 | 5.1 | 15.7 | 8.8 | 0.3 | 4.2 | 2.1 | 0.0 | 5.1 | 6.6 | 11.6 | 56.4 |
| Spring/summer 2019/2020 | 4.9 | 15.9 | 10.0 | 0.3 | 4.2 | 2.2 | 0.2 | 5.7 | 6.6 | 12.3 | 53.8 |
| Crop Season | Rotation | Cultivated Species | Sowing–Harvesting | N rates 4 | Fertilization 5 |
|---|---|---|---|---|---|
| Fall/winter 2018 | Diversified | millet | Mar 13, 2018–Apr 24, 2018 | 30 30 40 | Mar 13, 2018 Apr 3, 2018 Apr 18, 2018 |
| crop mix 1 | Apr 26, 2018–Aug 21, 2018 | 20 | Jun 28, 2018 | ||
| Simplified | corn | Mar 8, 2018–Aug 14, 2018 | 30 40 60 | Mar 8, 2018 Apr 3, 2018 Apr 18, 2018 | |
| Spring/summer 2018/2019 | Diversified | Intercropping 2 | Oct 29 3, 2018–Mar 25, 2019 | 50 75 75 | Oct 29, 2018 Nov 29, 2018 Dec 12, 2018 |
| Simplified | soybean | Oct 30, 2018–Mar 25, 2019 | 12 | Oct 30, 2018 | |
| Fall/winter 2019 | Diversified | buckwheat | Mar 26, 2019–Apr 30, 2019 | 0 | --- |
| wheat | May 9, 2019–Sep 5, 2019 | 20 41 | May 9, 2019 May 29, 2019 | ||
| Simplified | corn | Mar 26, 2019–Aug 8, 2019 | 10 61 | Mar 26, 2019 Apr 29, 2019 | |
| Spring/summer 2019/2020 | Diversified | Soybean | Oct 25, 2019–Mar 12, 2020 | 12 | Oct 25, 2019 |
| Simplified | Soybean | Oct 25, 2019–Mar 12, 2020 | 12 | Oct 25, 2019 |
| Evaluation Season | Crop Season | Species | Period | Dates |
|---|---|---|---|---|
| 2018/ 2019 | Fall/winter 2018 | D 1—millet D—crop mix 3 S 2—corn | 1 | 3/22/2018–3/28/2018 |
| 2 | 3/28/2018–4/20/2018 | |||
| 3 | 4/20/2018–8/28/2018 | |||
| Fallow | --- | 4 | 8/28/2018–9/19/2018 | |
| 5 | 9/19/2018–9/25/2018 | |||
| 6 | 9/25/2018–10/2/2018 | |||
| 7 | 10/2/2018–10/10/2018 | |||
| Spring/summer 2018/2019 | D—intercrop 4 S—soybean | 8 | 10/10/2018–11/21/2018 | |
| 9 | 11/21/2018–11/27/2018 | |||
| 10 | 11/27/2018–12/18/2018 | |||
| 11 | 12/18/2018–12/27/2018 | |||
| 12 | 12/27/2018–1/10/2019 | |||
| 2019/ 2020 | Fall/winter 2019 | D—buckwheat D—wheat S—corn | 13 | 5/9/2019–5/14/2019 |
| 14 | 5/14/2019–5/28/2019 | |||
| 15 | 5/28/2019–5/30/2019 | |||
| 16 | 5/30/2019–6/4/2019 | |||
| 17 | 6/4/2019–6/12/2019 | |||
| 18 | 6/12/2019–7/10/2019 | |||
| 19 | 7/10/2019–11/12/2019 | |||
| Spring/summer 2019/2020 | D—soybean S—soybean | 20 | 11/12/2019–11/19/2019 | |
| 21 | 11/19/2019–11/29/2019 | |||
| 22 | 11/29/2019–12/19/2019 | |||
| 23 | 12/19/2019–12/27/2019 | |||
| 24 | 12/27/2019–1/15/2020 |
| Crop Season | Rotation | Species | N Fertilization Management 1 | Yield (kg ha−1) |
|---|---|---|---|---|
| Fall/winter 2018 | Diversified | millet | 0 | 5411 |
| N | 6024 | |||
| crop mix 2 | 0 | 7144 | ||
| N | 8290 | |||
| Simplified | corn | 0 | 4763 | |
| N | 5182 | |||
| Spring/summer 2018/2019 | Diversified | Intercropping 3 | 0 | 7301 |
| N | 7930 | |||
| Simplified | soybean | 0 | 3545 | |
| N | 3147 | |||
| Fall/winter 2019 | Diversified | buckwheat | --- | 1894 |
| wheat | 0 | 2622 | ||
| N | 2858 | |||
| Simplified | corn | 0 | 2614 a | |
| N | 2039 b | |||
| Spring/summer 2019/2020 | Diversified | soybean | 0 | 3351 |
| N | 3519 | |||
| Simplified | soybean | 0 | 3849 | |
| N | 3662 |
| Mean Leachate NO3− Concentration (mg L−1) | ||||||||||||||||||||||||
|---|---|---|---|---|---|---|---|---|---|---|---|---|---|---|---|---|---|---|---|---|---|---|---|---|
| 2018/2019 | 2019/2020 | |||||||||||||||||||||||
| 1 | 2 | 3 | 4 | 5 | 6 | 7 | 8 | 9 | 10 | 11 | 12 | 13 | 14 | 15 | 16 | 17 | 18 | 19 | 20 | 21 | 22 | 23 | 24 | |
| 0 | 15.6 (1.36) | 21.6 (2.13) | 13.3 (1.61) | 1.7 b (0.19) | 1.7 b (0.24) | 1.7 b (0.23) | 2.1 (0.24) | 2.8 (0.15) | 2.8 (0.27) | 2.9 a (0.24) | 3.2 a (0.27) | 2.8 ns (0.32) | 2.7 (0.29) | 2.6 (0.27) | 2.8 (0.20) | 2.7 (0.20) | 2.6 ns (0.29) | 3.3 (0.40) | 3.6 ns (0.27) | 3.0 a (0.22) | 2.6 a (0.22) | 2.7 (0.13) | 3.1 (0.43) | 2.7 (0.41) |
| N | 17.6 (1.83) | 27.4 (3.52) | 17.2 (2.47) | 2.4 a (0.28) | 2.7 a (0.30) | 2.5 a (0.31) | 2.7 (0.26) | 2.6 (0.24) | 2.5 (0.31) | 2.0 b (0.20) | 2.0 b (0.17) | 2.5 ns (0.23) | 2.4 (0.36) | 2.5 (0.37) | 2.8 (0.51) | 2.5 (0.44) | 2.4 ns (0.35) | 3.1 (0.43) | 2.6 ns (0.45) | 1.7 b (0.16) | 1.7 b (0.12) | 2.2 (0.18) | 2.4 (0.38) | 2.0 (0.20) |
| S | 15.3 (1.70) | 22.4 (3.71) | 14.3 (2.65) | 2.0 ns (0.34) | 2.0 ns (0.37) | 1.9 ns (0.31) | 2.1 (0.30) | 2.7 (0.19) | 2.9 (0.24) | 2.6 ns (0.34) | 2.9 ns (0.28) | 3.0 a (0.28) | 2.4 (0.23) | 2.5 (0.19) | 3.0 (0.23) | 2.8 (0.26) | 2.8 ns (0.28) | 3.5 (0.41) | 3.1 ns (0.30) | 2.3 ns (0.17) | 2.2 ns (0.18) | 2.4 (0.13) | 2.9 (0.40) | 2.6 (0.32) |
| D | 17.8 (1.47) | 26.5 (2.08) | 16.3 (1.57) | 2.1 ns (0.20) | 2.4 ns (0.26) | 2.4 ns (0.30) | 2.6 (0.21) | 2.6 (0.21) | 2.4 (0.31) | 2.2 ns (0.18) | 2.3 ns (0.32) | 2.2 b (0.19) | 2.7 (0.40) | 2.6 (0.41) | 2.6 (0.48) | 2.4 (0.40) | 2.2 ns (0.32) | 2.9 (0.40) | 3.1 ns (0.49) | 2.3 ns (0.40) | 2.1 ns (0.29) | 2.5 (0.22) | 2.6 (0.44) | 2.2 (0.36) |
| S0 | 14.1 (0.94) | 17.2 (1.85) | 9.6 (1.22) | 1.2 B (0.12) | 1.1 ns (0.15) | 1.2 ns (0.12) | 1.6 (0.24) | 2.6 (0.06) | 3.3 (0.17) | 3.5 A (0.20) | 3.5 ns (0.23) | 3.2 ns (0.49) | 2.3 (0.36) | 2.3 (0.27) | 2.5 (0.15) | 2.4 (0.15) | 2.4 AB (0.42) | 3.1 (0.79) | 3.0 AB (0.26) | 2.7 ns (0.11) | 2.6 ns (0.22) | 2.5 (0.18) | 3.3 (0.69) | 2.9 (0.62) |
| D0 | 17.0 (2.53) | 25.9 (2.25) | 17.1 (1.06) | 2.1 AB (0.10) | 2.3 ns (0.16) | 2.2 ns (0.31) | 2.6 (0.27) | 3.0 (0.27) | 2.3 (0.34) | 2.3 B (0.13) | 2.9 ns (0.47) | 2.4 ns (0.33) | 3.0 (0.44) | 2.9 (0.44) | 3.2 (0.27) | 3.0 (0.36) | 2.7 AB (0.45) | 3.6 (0.29) | 4.2 A (0.19) | 3.2 ns (0.43) | 2.6 ns (0.41) | 2.9 (0.16) | 2.9 (0.60) | 2.5 (0.61) |
| SN | 16.4 (3.42) | 27.5 (6.55) | 18.9 (4.07) | 2.9 A (0.28) | 2.8 ns (0.36) | 2.5 ns (0.39) | 2.6 (0.44) | 2.8 (0.40) | 2.4 (0.33) | 1.8 B (0.21) | 2.2 ns (0.26) | 2.8 ns (0.32) | 2.5 (0.33) | 2.8 (0.23) | 3.6 (0.16) | 3.2 (0.42) | 3.2 A (0.31) | 3.9 (0.27) | 3.1 AB (0.60) | 1.9 ns (0.13) | 1.8 ns (0.12) | 2.3 (0.20) | 2.5 (0.40) | 2.3 (0.15) |
| DN | 18.7 (1.78) | 27.2 (3.87) | 15.5 (3.17) | 2.0 AB (0.42) | 2.5 ns (0.53) | 2.5 ns (0.56) | 2.7 (0.36) | 2.3 (0.25) | 2.5 (0.58) | 2.1 B (0.35) | 1.7 ns (0.15) | 2.1 ns (0.21) | 2.3 (0.72) | 2.3 (0.74) | 2.0 (0.88) | 1.9 (0.66) | 1.6 B (0.22) | 2.2 (0.61) | 2.1 B (0.64) | 1.4 ns (0.24) | 1.6 ns (0.22) | 2.1 (0.34) | 2.3 (0.72) | 1.8 (0.38) |
| Mean Leachate NO3− Load (kg ha −1) | ||||||||||||||||||||||||
|---|---|---|---|---|---|---|---|---|---|---|---|---|---|---|---|---|---|---|---|---|---|---|---|---|
| 2018/2019 | 2019/2020 | |||||||||||||||||||||||
| 1 | 2 | 3 | 4 | 5 | 6 | 7 | 8 | 9 | 10 | 11 | 12 | 13 | 14 | 15 | 16 | 17 | 18 | 19 | 20 | 21 | 22 | 23 | 24 | |
| 0 | 8.0 (0.70) | 14.2 (1.40) | 11.6 (1.40) | 0.6 b (0.06) | 0.7 b (0.10) | 0.3 b (0.04) | 1.4 (0.16) | 5.4 (0.29) | 0.4 (0.04) | 1.1 a (0.09) | 1.7 a (0.14) | 1.8 ns (0.20) | 0.0 (0.0) | 0.1 (0.01) | 0.0 (0.0) | 0.0 (0.0) | 0.5 ns (0.05) | 0.8 (0.09) | 0.7 ns (0.05) | 0.7 a (0.05) | 0.4 a (0.03) | 1.8 (0.09) | 2.8 (0.40) | 1.0 (0.14) |
| N | 9.1 (0.94) | 18.0 (2.32) | 15.0 (2.14) | 0.8 a (0.09) | 1.1 a (0.12) | 0.5 a (0.06) | 1.8 (0.18) | 5.0 (0.47) | 0.4 (0.04) | 0.8 b (0.07) | 1.1 b (0.09) | 1.5 ns (0.14) | 0.0 (0.0) | 0.1 (0.01) | 0.0 (0.0) | 0.0 (0.0) | 0.5 ns (0.06) | 0.7 (0.10) | 0.5 ns (0.08) | 0.4 b (0.03) | 0.3 b (0.01) | 1.5 (0.12) | 2.2 (0.35) | 0.7 (0.07) |
| S | 7.9 (0.87) | 14.7 (2.44) | 12.4 (2.30) | 0.7 ns (0.11) | 0.8 ns (0.15) | 0.4 ns (0.06) | 1.4 (0.20) | 5.2 (0.38) | 0.4 (0.03) | 1.0 ns (0.13) | 1.5 ns (0.15) | 1.9 a (0.17) | 0.0 (0.0) | 0.1 (0.0) | 0.0 (0.0) | 0.0 (0.0) | 0.5 ns (0.05) | 0.8 (0.09) | 0.6 ns (0.06) | 0.6 ns (0.04) | 0.3 ns (0.03) | 1.6 (0.08) | 2.7 (0.37) | 0.9 (0.11) |
| D | 9.2 (0.75) | 17.5 (1.37) | 14.2 (1.36) | 0.7 ns (0.06) | 1.0 ns (0.11) | 0.5 ns (0.06) | 1.8 (0.14) | 5.2 (1,16) | 0.4 (0.04) | 0.9 ns (0.07) | 1.2 ns (0.17) | 1.4 b (0.12) | 0.0 (0.0) | 0.1 (0.01) | 0.0 (0.0) | 0.0 (0.0) | 0.4 ns (0.06) | 0.7 (0.09) | 0.6 ns (0.09) | 0.6 ns (0.09) | 0.3 ns (0.04) | 1.7 (0.15) | 2.4 (0.41) | 0.8 (0.13) |
| S0 | 7.3 (0.48) | 11.3 (1.22) | 8.3 (1.06) | 0.4 B (0.04) | 0.5 ns (0.06) | 0.2 ns (0.02) | 1.1 (0.16) | 5.0 (0.23) | 0.5 (0.02) | 1.3 A (0.08) | 1.9 ns (0.12) | 2.0 ns (0.31) | 0.0 (0.0) | 0.1 (0.01) | 0.0 (0.0) | 0.0 (0.0) | 0.5 AB (0.08) | 0.7 (0.18) | 0.6 AB (0.05) | 0.7 ns (0.02) | 0.4 ns (0.03) | 1.7 (0.12) | 3.0 (0.64) | 1.1 (0.22) |
| D0 | 8.8 (1.30) | 17.1 (1.48) | 14.9 (0.92) | 0.7 AB (0.03) | 1.0 ns (0.07) | 0.4 ns (0.06) | 1.7 (0.18) | 5.8 (1.08) | 0.3 (0.05) | 0.9 B (0.05) | 1.6 ns (0.25) | 1.5 ns (0.20) | 0.1 (0.0) | 0.1 (0.01) | 0.0 (0.0) | 0.0 (0.0) | 0.5 AB (0.08) | 0.8 (0.06) | 0.8 A (0.03) | 0.8 ns (0.10) | 0.4 ns (0.06) | 1.9 (0.10) | 2.6 (0.55) | 0.9 (0.22) |
| SN | 8.5 (1.76) | 18.1 (4.31) | 16.4 (3.53) | 1.0 A (0.09) | 1.2 ns (0.15) | 0.5 ns (0.07) | 1.8 (0.30) | 5.5 (1.59) | 0.4 (0.05) | 0.7 B (0.08) | 1.2 ns (0.14) | 1.8 ns (0.20) | 0.0 (0.0) | 0.1 (0.0) | 0.0 (0.0) | 0.0 (0.0) | 0.6 A (0.05) | 0.9 (0.06) | 0.6 AB (0.11) | 0.5 ns (0.03) | 0.3 ns (0.01) | 1.5 (0.14) | 2.3 (0.37) | 0.8 (0.05) |
| DN | 9.6 (0.92) | 17.9 (2.54) | 13.5 (2.75) | 0.7 AB (0.14) | 1.1 ns (0.22) | 0.5 ns (0.11) | 1.8 (0.24) | 4.6 (1.01) | 0.4 (0.08) | 0.8 B (0.13) | 0.9 ns (0.08) | 1.3 ns (0.13) | 0.0 (0.0) | 0.1 (0.03) | 0.0 (0.0) | 0.0 (0.0) | 0.3 B (0.04) | 0.5 (0.14) | 0.4 B (0.12) | 0.3 ns (0.05) | 0.3 ns (0.03) | 1.4 (0.22) | 2.1 (0.66) | 0.7 (0.13) |
Disclaimer/Publisher’s Note: The statements, opinions and data contained in all publications are solely those of the individual author(s) and contributor(s) and not of MDPI and/or the editor(s). MDPI and/or the editor(s) disclaim responsibility for any injury to people or property resulting from any ideas, methods, instructions or products referred to in the content. |
© 2024 by the authors. Licensee MDPI, Basel, Switzerland. This article is an open access article distributed under the terms and conditions of the Creative Commons Attribution (CC BY) license (https://creativecommons.org/licenses/by/4.0/).
Share and Cite
Bruno, I.P.; Araújo, A.G.; Merten, G.H.; Ladeira, A.S.; Pinto, V.M. Crop Rotation and Nitrogen Fertilizer on Nitrate Leaching: Insights from a Low Rainfall Study. Nitrogen 2024, 5, 329-348. https://doi.org/10.3390/nitrogen5020022
Bruno IP, Araújo AG, Merten GH, Ladeira AS, Pinto VM. Crop Rotation and Nitrogen Fertilizer on Nitrate Leaching: Insights from a Low Rainfall Study. Nitrogen. 2024; 5(2):329-348. https://doi.org/10.3390/nitrogen5020022
Chicago/Turabian StyleBruno, Isabeli P., Augusto G. Araújo, Gustavo H. Merten, Audilei S. Ladeira, and Victor M. Pinto. 2024. "Crop Rotation and Nitrogen Fertilizer on Nitrate Leaching: Insights from a Low Rainfall Study" Nitrogen 5, no. 2: 329-348. https://doi.org/10.3390/nitrogen5020022
APA StyleBruno, I. P., Araújo, A. G., Merten, G. H., Ladeira, A. S., & Pinto, V. M. (2024). Crop Rotation and Nitrogen Fertilizer on Nitrate Leaching: Insights from a Low Rainfall Study. Nitrogen, 5(2), 329-348. https://doi.org/10.3390/nitrogen5020022

