Spatial Variability in Inorganic Soil Nitrogen Production in a Mixed-Vegetation Urban Landscape
Abstract
:1. Introduction
2. Materials and Methods
2.1. Study Site
2.2. Selection of Landscape Patches and Soil Sampling
2.3. Inorganic Soil Nitrogen Production
2.4. Statistical Analysis
3. Results and Discussion
3.1. Inorganic Soil Nitrogen Production
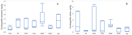
3.2. Exchangeable Inorganic Soil Nitrogen
4. Management Implications and Future Research Needs
Supplementary Materials
Author Contributions
Funding
Institutional Review Board Statement
Informed Consent Statement
Data Availability Statement
Conflicts of Interest
References
- Milesi, C.; Running, S.W.; Elvidge, C.D.; Dietz, J.B.; Tuttle, B.T.; Nemani, R.R. Mapping and modeling the biogeochemical cycling of turf grasses in the United States. Environ. Manag. 2005, 36, 426–438. [Google Scholar] [CrossRef] [PubMed]
- Stier, J.C.; Horgan, B.P.; Bonos, S.A. Turfgrass: Biology, Use, and Management; American Society of Agronomy Madison: Wisconsin, DC, USA, 2013. [Google Scholar]
- Shuman, L. Phosphorus and nitrate nitrogen in runoff following fertilizer application to turfgrass. J. Environ. Qual. 2002, 31, 1710–1715. [Google Scholar] [CrossRef] [PubMed]
- Bell, G.E.; Moss, J.Q.; Nett, M.; Carroll, M.; Horgan, B.; Martin Petrovic, A. (Eds.) Management practices that reduce runoff transport of nutrients and pesticides from turfgrass. In The Fate of Nutrients and Pesticides in the Urban Environment; ACS Symp Series; ACS Publications: Washington, DC, USA, 2008. [Google Scholar]
- Krimsky, L.S.; Lusk, M.G.; Abeels, H.; Seals, L. Sources and concentrations of nutrients in surface runoff from waterfront homes with different landscape practices. Sci. Total Environ. 2021, 750, 142320. [Google Scholar] [CrossRef] [PubMed]
- Easton, Z.M.; Petrovic, A.M. Determining nitrogen loading rates based on land use in an urban watershed. Fate Nutr. Pestic. Urban Environ. 2008, 997, 19–42. [Google Scholar]
- Lusk, M.G.; Toor, G.S.; Inglett, P.W. Characterization of dissolved organic nitrogen in leachate from a newly established and fertilized turfgrass. Water Res. 2018, 131, 52–61. [Google Scholar] [CrossRef]
- Erickson, J.; Cisar, J.; Volin, J.; Snyder, G. Comparing nitrogen runoff and leaching between newly established St. Augustinegrass turf and an alternative residential landscape. Crop Sci. 2001, 41, 1889–1895. [Google Scholar] [CrossRef] [Green Version]
- Yang, Y.-Y.; Lusk, M.G. Nutrients in Urban Stormwater Runoff: Current State of the Science and Potential Mitigation Options. Curr. Pollut. Rep. 2018, 4, 112–127. [Google Scholar] [CrossRef]
- Hartman, R. The Spread of Fertilizer Ordinances in Florida. Sea Grant Law Policy J. 2008, 1, 98. [Google Scholar]
- Dukes, M.D.; Krimsky, L.; Lusk, M.G.; Trenholm, L.; Unruh, B.; Atkinson, M.; Mylavarapu, R. Urban Fertilizer Ordinances in the Context of Environmental Horticulture and Water Quality Extension Programs: Frequently Asked Questions. EDIS 2020, 2020. [Google Scholar] [CrossRef]
- Hochmuth, G.; Nell, T.; Sartain, J.; Unruh, J.B.; Martinez, C.; Trenholm, L.; Cisar, J. Urban Water Quality and Fertilizer Ordinances: Avoiding Unintended Consequences: A Review of the Scientific Literature. EDIS 2009, 2009. [Google Scholar] [CrossRef]
- Ryan, C.D.; Unruh, J.B.; Kenworthy, K.E.; Lamm, A.J.; Erickson, J.E.; Trenholm, L.E. Culture, Science, and Activism in Florida Lawn and Landscape Fertilizer Policy. HortTechnology 2019, 29, 854–865. [Google Scholar] [CrossRef] [Green Version]
- Raciti, S.M.; Groffman, P.M.; Fahey, T.J. Nitrogen Retention in Urban Lawns and Forests. Ecol. Appl. 2008, 18, 1615–1626. [Google Scholar] [CrossRef] [PubMed]
- Raciti, S.M.; Groffman, P.M.; Jenkins, J.C.; Pouyat, R.V.; Fahey, T.J.; Pickett, S.T.; Cadenasso, M.L. Nitrate production and availability in residential soils. Ecol. Appl. 2011, 21, 2357–2366. [Google Scholar] [CrossRef] [PubMed]
- Yang, Y.-Y.; Toor, G.S. Sources and mechanisms of nitrate and orthophosphate transport in urban stormwater runoff from residential catchments. Water Res. 2017, 112, 176–184. [Google Scholar] [CrossRef]
- Jani, J.; Yang, Y.-Y.; Lusk, M.G.; Toor, G.S. Composition of nitrogen in urban residential stormwater runoff: Concentrations, loads, and source characterization of nitrate and organic nitrogen. PLoS ONE 2020, 15, e0229715. [Google Scholar] [CrossRef] [Green Version]
- Amador, J.A.; Hull, R.J.; Patenaude, E.L.; Bushoven, J.T.; Görres, J.H. Potential nitrate leaching under common landscaping plants. Water Air Soil Pollut. 2007, 185, 323–333. [Google Scholar] [CrossRef]
- Byrne, L.B. Habitat structure: A fundamental concept and framework for urban soil ecology. Urban Ecosyst. 2007, 10, 255–274. [Google Scholar] [CrossRef]
- Hope, D.; Zhu, W.; Gries, C.; Oleson, J.; Kaye, J.; Grimm, N.B.; Baker, L.A. Spatial variation in soil inorganic nitrogen across an arid urban ecosystem. Urban Ecosyst. 2005, 8, 251–273. [Google Scholar] [CrossRef]
- Kaye, J.P.; McCulley, R.; Burke, I. Carbon fluxes, nitrogen cycling, and soil microbial communities in adjacent urban, native and agricultural ecosystems. Glob. Chang. Biol. 2005, 11, 575–587. [Google Scholar] [CrossRef]
- Scharenbroch, B.C.; Lloyd, J.E.; Johnson-Maynard, J.L. Distinguishing urban soils with physical, chemical, and biological properties. Pedobiologia 2005, 49, 283–296. [Google Scholar] [CrossRef]
- Katz, B.G.; Eller, K. The Nitrogen Source Inventory and Loading Tool (NSILT) and restoration of water-quality impaired springs. Fla. Sci. 2016, 79, 299–310. [Google Scholar]
- Web Soil Survey. Natural Resources Conservation Service, US Department of Agriculture. Available online: https://websoilsurvey.sc.egov.usda.gov/App/HomePage.htm (accessed on 1 November 2018).
- Miavitiz, E. (Ed.) Rhizomal perennial peanut in the urban landscape. In Proceedings of the Florida State Horticultural Society, Marco Island, FL, USA, 2–4 June 2002; Volume 115, pp. 136–138. [Google Scholar]
- White, J.; Reddy, K. Influence of selected inorganic electron acceptors on organic nitrogen mineralization in Everglades soils. Soil Sci. Soc. Am. J. 2001, 65, 941–948. [Google Scholar] [CrossRef]
- Reddy, K.R.; DeLaune, R.D. Biogeochemistry of Wetlands: Science and Applications; CRC Press: Boca Raton, FL, USA, 2008. [Google Scholar]
- Rouse, R.E.; Miavitz, E.M.; Roka, F.M. Guide to using rhizomal perennial peanut in the urban landscape. EDIS 2004, 2004. [Google Scholar] [CrossRef]
- Woodard, K.R.; French, E.C.; Sweat, L.A.; Graetz, D.A.; Sollenberger, L.E.; Macoon, B.; Portier, K.M.; Rymph, S.J.; Wade, B.L.; Prine, G.M. Nitrogen removal and nitrate leaching for two perennial, sod-based forage systems receiving dairy effluent. J. Environ. Qual. 2003, 32, 996–1007. [Google Scholar] [CrossRef]
- Loper, S.J.; Shober, A.L.; Wiese, C.; Denny, G.C.; Stanley, C.D. Nutrient leaching during establishment of simulated residential landscapes. J. Environ. Qual. 2013, 42, 260–270. [Google Scholar] [CrossRef]
- Shaddox, T.; Sartain, J. (Eds.) Fate of Nitrogen During Grow-In of a Golf Course Fairway under Different Nitrogen Management Practices; Soil and Crop Science Society of Florida: Tallahassee, FL, USA, 2001. [Google Scholar]
- Brown, R.N.; Percivalle, C.; Narkiewicz, S.; DeCuollo, S. Relative rooting depths of native grasses and amenity grasses with potential for use on roadsides in New England. Hortscience 2010, 45, 393–400. [Google Scholar] [CrossRef]
- Grimm, N.B.; Grove, J.G.; Pickett, S.T.; Redman, C.L. Integrated approaches to long-term studies of urban ecological systems: Urban ecological systems present multiple challenges to ecologists—Pervasive human impact and extreme heterogeneity of cities, and the need to integrate social and ecological approaches, concepts, and theory. BioScience 2000, 50, 571–584. [Google Scholar]
- Law, N.; Band, L.; Grove, M. Nitrogen input from residential lawn care practices in suburban watersheds in Baltimore County, MD. J. Environ. Plan. Manag. 2004, 47, 737–755. [Google Scholar] [CrossRef]




| Landscape Patch | Image | Description and Management Practice | 
|---|---|---|
| TfGr |  | 
 | 
| PP |  | 
 | 
| OMx |  | 
 | 
| OGa |  | 
 | 
| MulP |  | 
 | 
| MulC |  | 
 | 
| Agr |  | 
 | 
| Publisher’s Note: MDPI stays neutral with regard to jurisdictional claims in published maps and institutional affiliations. | 
© 2022 by the authors. Licensee MDPI, Basel, Switzerland. This article is an open access article distributed under the terms and conditions of the Creative Commons Attribution (CC BY) license (https://creativecommons.org/licenses/by/4.0/).
Share and Cite
Bukomba, J.; Lusk, M.G. Spatial Variability in Inorganic Soil Nitrogen Production in a Mixed-Vegetation Urban Landscape. Nitrogen 2022, 3, 118-127. https://doi.org/10.3390/nitrogen3010009
Bukomba J, Lusk MG. Spatial Variability in Inorganic Soil Nitrogen Production in a Mixed-Vegetation Urban Landscape. Nitrogen. 2022; 3(1):118-127. https://doi.org/10.3390/nitrogen3010009
Chicago/Turabian StyleBukomba, Juma, and Mary G. Lusk. 2022. "Spatial Variability in Inorganic Soil Nitrogen Production in a Mixed-Vegetation Urban Landscape" Nitrogen 3, no. 1: 118-127. https://doi.org/10.3390/nitrogen3010009
APA StyleBukomba, J., & Lusk, M. G. (2022). Spatial Variability in Inorganic Soil Nitrogen Production in a Mixed-Vegetation Urban Landscape. Nitrogen, 3(1), 118-127. https://doi.org/10.3390/nitrogen3010009
 
         
                                                


 
       