Time-Fractional Evolution of Quantum Dense Coding Under Amplitude Damping Noise
Abstract
1. Introduction
2. Overview of Key Concepts
2.1. Time-Fractional Schrödinger Equation and Its Memory
2.2. Quantum Dense Coding
2.3. Double Jaynes–Cummings Model
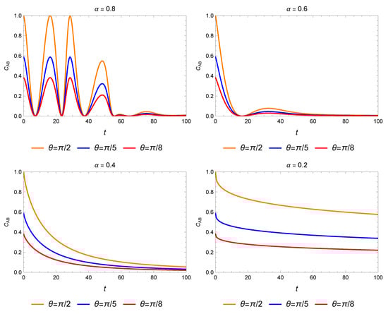
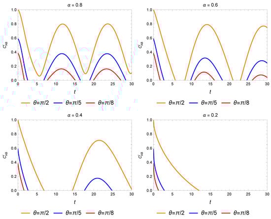
3. Time Fractional Evolution of Quantum Dense Coding
3.1. The Imaginary Unit Has No Operation
3.2. Imaginary Unit Fractional-Order Operations
4. Conclusions
Author Contributions
Funding
Data Availability Statement
Conflicts of Interest
References
- Einstein, A.; Infeld, L. Evolution of Physics; Simon and Schuster: New York, NY, USA, 1966. [Google Scholar]
- Feynman, R.P.; Hibbs, A.R.; Styer, D.F. Quantum Mechanics and Path Integrals; Courier Corporation: North Chelmsford, MA, USA, 2010. [Google Scholar]
- Sakurai, J.J.; Napolitano, J. Modern Quantum Mechanics; Cambridge University Press: Cambridge, UK, 2020. [Google Scholar]
- Man, Z.X.; Xia, Y.J.; Lo, F.R. Harnessing non-Markovian quantum memory by environmental coupling. Phys. Rev. A 2015, 92, 012315. [Google Scholar] [CrossRef]
- Goswami, K.; Giarmatzi, C.; Monterola, C.; Shrapnel, S.; Romero, J.; Costa, F. Experimental characterization of a non-Markovian quantum process. Phys. Rev. A 2021, 104, 022432. [Google Scholar] [CrossRef]
- Abu-Nada, A.; Banerjee, S.; Sabale, V.B. Exploring the non-Markovian dynamics in depolarizing maps. Phys. Rev. A 2024, 110, 052209. [Google Scholar] [CrossRef]
- Wyss, W. The fractional diffusion equation. J. Math. Phys. 1986, 27, 2782–2785. [Google Scholar] [CrossRef]
- Laskin, N. Fractional Schrödinger Equation. Phys. Rev. E 2002, 66, 056108. [Google Scholar] [CrossRef]
- Micolta-Riascos, B.; Droguett, B.; Mattar Marriaga, G.; Leon, G.; Paliathanasis, A.; del Campo, L.; Leyva, Y. Fractional Time-Delayed Differential Equations: Applications in Cosmological Studies. Fractal Fract. 2025, 9, 318. [Google Scholar] [CrossRef]
- Haque, R.; Rahaman, M.; Alrasheedi, A.F.; Chalishajar, D.; Mondal, S.P. Fractional Calculus for Neutrosophic-Valued Functions and Its Application in an Inventory Lot-Sizing Problem. Fractal Fract. 2025, 9, 433. [Google Scholar] [CrossRef]
- Naber, M. Time fractional Schrödinger equation. J. Math. Phys. 2004, 45, 3339. [Google Scholar] [CrossRef]
- Wei, D.M.; Liu, H.L.; Li, Y.M.; Wan, L.; Qin, S.; Wen, Q.; Gao, F. Non-Markovian dynamics of time-fractional open quantum systems. Chaos Solitons Fractals 2024, 182, 114816. [Google Scholar] [CrossRef]
- Zu, C.J.; Yu, X.Y. Memory effect in time fractional Schrödinger equation. Chin. Phys. B 2024, 33, 020501. [Google Scholar] [CrossRef]
- Zu, C.J.; Yu, X.Y. The time-fractional Schrödinger equation in the context of non-Markovian dynamics with dissipation. J. Chem. Phys. 2025, 162, 074310. [Google Scholar] [CrossRef] [PubMed]
- Lu, L.Z.; Yu, X.Y. Time fractional evolution of the two-level system interacting with light field. Laser Phys. Lett. 2017, 14, 115202. [Google Scholar] [CrossRef]
- Wang, G.W.; Xu, T.Z. Optical soliton of time fractional Schrödinger equations with He’s semi-inverse method. Laser Phys. 2015, 25, 055402. [Google Scholar] [CrossRef]
- Zu, C.J.; Gao, Y.M.; Yu, X.Y. Time fractional evolution of a single quantum state and entangled state. Chaos Solitons Fractals 2021, 147, 110930. [Google Scholar] [CrossRef]
- Zu, C.J.; Yu, X.Y. Time fractional Schrödinger equation with a limit based fractional derivative. Chaos Solitons Fractals 2022, 57, 111941. [Google Scholar] [CrossRef]
- Wei, D.M.; Liu, H.L.; Li, Y.M.; Gao, F.; Qin, S.J.; Wen, Q.Y. Quantum speed limit for Time-Fractional open systems. Chaos Solitons Fractals 2023, 175, 114065. [Google Scholar] [CrossRef]
- Allati, A.E.; Bukbech, S.; Anouz, K.E.; Allali, Z.E. Entanglement versus Bell non-locality via solving the fractional Schrödinger equation using the twisting model. Chaos Solitons Fractals 2024, 179, 114446. [Google Scholar] [CrossRef]
- Sayer, T.; Montoya-Castillo, A. Compact and complete description of non-Markovian dynamics. J. Chem. Phys. 2023, 158, 014105. [Google Scholar] [CrossRef]
- Li, Z.Y.; Shen, H.Z. Non-Markovian dynamics with a giant atom coupled to a semi-infinite photonic waveguide. Phys. Rev. A 2024, 109, 023712. [Google Scholar] [CrossRef]
- Pandey, D.; Wubs, M. Collective photon emission in solid state environments: Concatenating non-markovian and markovian dynamics. Phys. Rev. Res. 2024, 6, 033044. [Google Scholar] [CrossRef]
- Gribben, D.; Rouse, D.M.; Iles-Smith, J.; Strathearn, A.; Maguire, H.; Kirton, P.; Nazir, A.; Gauger, E.M.; Lovett, B.W. Exact dynamics of nonadditive environments in non-Markovian open quantum systems. PRX Quantum 2022, 3, 010321. [Google Scholar] [CrossRef]
- Milz, S.; Modi, K. Quantum stochastic processes and quantum non-Markovian phenomena. PRX Quantum 2021, 2, 030201. [Google Scholar] [CrossRef]
- Lu, L.Z.; Yu, X.Y. The fractional dynamics of quantum systems. Ann. Phys. 2018, 392, 260–271. [Google Scholar] [CrossRef]
- Iomin, A. Fractional-time quantum dynamics. Phys. Rev. E 2009, 80, 022103. [Google Scholar] [CrossRef] [PubMed]
- Saxena, R.K.; Saxena, R.; Kalla, S.L. Computational solution of a fractional generalization of the Schrödinger equation occurring in quantum mechanics. Appl. Math. Comput. 2010, 216, 1412–1417. [Google Scholar] [CrossRef]
- Odibat, Z.M. Analytic study on linear systems of fractional differential equations. Comp. Math. Appl. 2010, 59, 1171–1183. [Google Scholar] [CrossRef]
- Wootters, W.K. Entanglement of Formation of an Arbitrary State of Two Qubits. Phys. Rev. Lett. 1997, 80, 2245. [Google Scholar] [CrossRef]














Disclaimer/Publisher’s Note: The statements, opinions and data contained in all publications are solely those of the individual author(s) and contributor(s) and not of MDPI and/or the editor(s). MDPI and/or the editor(s) disclaim responsibility for any injury to people or property resulting from any ideas, methods, instructions or products referred to in the content. |
© 2025 by the authors. Licensee MDPI, Basel, Switzerland. This article is an open access article distributed under the terms and conditions of the Creative Commons Attribution (CC BY) license (https://creativecommons.org/licenses/by/4.0/).
Share and Cite
Zu, C.; Xu, B.; He, H.; Li, X.; Yu, X. Time-Fractional Evolution of Quantum Dense Coding Under Amplitude Damping Noise. Fractal Fract. 2025, 9, 501. https://doi.org/10.3390/fractalfract9080501
Zu C, Xu B, He H, Li X, Yu X. Time-Fractional Evolution of Quantum Dense Coding Under Amplitude Damping Noise. Fractal and Fractional. 2025; 9(8):501. https://doi.org/10.3390/fractalfract9080501
Chicago/Turabian StyleZu, Chuanjin, Baoxiong Xu, Hao He, Xiaolong Li, and Xiangyang Yu. 2025. "Time-Fractional Evolution of Quantum Dense Coding Under Amplitude Damping Noise" Fractal and Fractional 9, no. 8: 501. https://doi.org/10.3390/fractalfract9080501
APA StyleZu, C., Xu, B., He, H., Li, X., & Yu, X. (2025). Time-Fractional Evolution of Quantum Dense Coding Under Amplitude Damping Noise. Fractal and Fractional, 9(8), 501. https://doi.org/10.3390/fractalfract9080501

