Next Article in Journal
Asymptotically Periodic and Bifurcation Points in Fractional Difference Maps
Previous Article in Journal
A Study of a Nonlocal Coupled Integral Boundary Value Problem for Nonlinear Hilfer–Hadamard-Type Fractional Langevin Equations
 
 
Font Type:
Arial Georgia Verdana
Font Size:
Aa Aa Aa
Line Spacing:
Column Width:
Background:
Article

The LDG Finite-Element Method for Multi-Order FDEs: Applications to Circuit Equations

by
Mohammad Izadi
1,
Hari Mohan Srivastava
2,3,4,5,6,7,* and
Mahdi Kamandar
1
1
Department of Applied Mathematics, Faculty of Mathematics and Computer, Shahid Bahonar University of Kerman, Kerman 76169-14111, Iran
2
Department of Mathematics and Statistics, University of Victoria, Victoria, BC V8W 3R4, Canada
3
Department of Medical Research, China Medical University Hospital, China Medical University, Taichung 40402, Taiwan
4
Center for Converging Humanities, Kyung Hee University, 26 Kyungheedae-ro, Dongdaemun-gu, Seoul 02447, Republic of Korea
5
Department of Mathematics and Informatics, Azerbaijan University, 71 Jeyhun Hajibeyli Street, Baku AZ1007, Azerbaijan
6
Department of Applied Mathematics, Chung Yuan Christian University, Chung-Li, Taoyuan City 320314, Taiwan
7
Section of Mathematics, International Telematic University Uninettuno, Corso Vittorio Emanuele II, 39, 00186 Roma, Italy
*
Author to whom correspondence should be addressed.
Fractal Fract. 2025, 9(4), 230; https://doi.org/10.3390/fractalfract9040230
Submission received: 11 March 2025 / Revised: 31 March 2025 / Accepted: 3 April 2025 / Published: 5 April 2025

Abstract

The current research study presents a comprehensive analysis of the local discontinuous Galerkin (LDG) method for solving multi-order fractional differential equations (FDEs), with an emphasis on circuit modeling applications. We investigated the existence, uniqueness, and numerical stability of LDG-based discretized formulation, leveraging the Liouville–Caputo fractional derivative and upwind numerical fluxes to discretize governing equations while preserving stability. The method was validated through benchmark test cases, including comparisons with analytical solutions and established numerical techniques (e.g., Gegenbauer wavelets and Dickson collocation). The results demonstrate that the LDG method achieves high-accuracy solutions (e.g., with a relatively large time step size) and reduced computational costs, which are attributed to its element-wise formulation. These findings position LDG as a promising tool for complex scientific and engineering applications, particularly in modeling fractional-order systems such as RL, RLC circuits, and other electrical circuit equations.

1. Introduction

The origins of fractional calculus can be traced back to a correspondence between Leibniz and L’Hôpital in 1695, where they speculated about the meaning of a fractional derivative, marking the conceptual birth of this intriguing mathematical discipline. Fractional calculus, an extension of traditional calculus, allows for differentiation and integration to non-integer orders, providing a powerful framework to describe complex dynamic systems [1,2]. In circuit analysis, it has emerged as a valuable tool to model and analyze systems with anomalous or non-standard behavior, such as those exhibiting memory effects or frequency-dependent impedance. For instance, fractional-order elements, like the fractional inductor and fractional capacitor, are used to generalize classical RLC circuits, enabling more accurate modeling of real-world phenomena. This approach enhances the understanding of circuits involving viscoelastic materials, biological tissues, or dielectrics with non-linear behavior. By bridging the gap between mathematics and practical engineering, fractional calculus opens new possibilities for designing and optimizing circuits with unique characteristics, especially in fields like signal processing and control systems.
A fundamental tool in fractional calculus is the Liouville–Caputo derivative, which is widely used in practical applications due to its well-defined initial conditions. This derivative allows fractional-order models to be formulated in a way that aligns naturally with physical initial conditions, making it particularly suitable for electrical circuit analysis. By incorporating fractional derivatives, circuit models can account for anomalous diffusion, non-local interactions, and frequency-dependent impedance characteristics observed in real-world circuits. This leads to a more generalized framework for circuit modeling, where traditional RL, RC, LR, and RLC circuits emerge as special cases of a broader fractional-order formulation.
The mathematical analysis of electrical circuits has evolved significantly over the past two centuries, beginning with foundational principles that remain essential in modern circuit theory. The year 1827 marked a pivotal advancement in electrical science when Georg Simon Ohm proposed Ohm’s Law, establishing a fundamental relationship between voltage, current, and resistance, which became the basis for analyzing resistor-based circuits [3]. Nearly two decades later, in 1845, Gustav Kirchhoff formulated Kirchhoff’s Current and Voltage Laws (KCL and KVL), providing a systematic approach to solving complex circuits by defining the connections between voltages and currents at various nodes and the loops principles that remain central to RC circuit analysis [4].
The late 19th and early 20th centuries marked a transformative era in electrical engineering, which was characterized by pivotal advancements in circuit analysis. Among these breakthroughs, French engineer Léon Thévenin’s 1883 formulation of Thévenin’s Theorem revolutionized the field by demonstrating that any linear network could be equivalently modeled as a single voltage source in series with a resistance. This theorem not only simplified the computational complexity of analyzing RC circuits, but it also laid the theoretical foundation for modern network reduction techniques, as documented in [5]. Three decades later, in 1926, Edward Norton developed Norton’s Theorem, the dual of Thévenin’s, which simplified the study of parallel resistor–capacitor circuits [6]. Meanwhile, Oliver Heaviside’s operational calculus in 1886 laid the foundation for the Laplace transformation technique, revolutionizing the solution of circuit differential model equations and transient analysis, particularly in RC circuits [7].
By the mid-20th century, the focus shifted toward frequency-domain analysis and signal processing. In 1932, Harry Nyquist introduced the Nyquist Stability Criterion, which became fundamental in control systems and provided deeper insight into the frequency response of RC circuits [8]. In 1948, Claude Shannon’s groundbreaking work in signal processing and communication theory reshaped circuit analysis by emphasizing bandwidth, noise, and signal propagation effects [9]. The advent of computer-based circuit simulation in the 1970s marked a paradigm shift in circuit analysis. In a pivotal advancement for electrical engineering, Laurence Nagel and his research team at UC Berkeley pioneered SPICE (Simulation Program with Integrated Circuit Emphasis) in the early 1970s [10]. This groundbreaking software framework revolutionized circuit simulation by enabling precise modeling and analysis of complex electronic systems, including RC networks. SPICE quickly emerged as the industry-standard tool for designing and optimizing circuits, offering unparalleled accuracy in predicting transient behaviors, frequency responses, and nonlinear interactions. Its algorithmic innovations, such as nodal analysis and sparse matrix techniques, set a new paradigm for computational efficiency, solidifying its enduring legacy in both academia and industrial applications.
The application of fractional calculus to electrical circuits gained significant traction in the 1990s, with researchers such as Igor Podlubny pioneering its use in RC circuit models. Traditional integer-order differential equations often fail to account for the anomalous diffusion and memory effects observed in real-world circuits, particularly in materials with complex dielectric properties. To address this limitation, fractional calculus operators—notably the Liouville–Caputo derivative—were introduced, providing a more accurate mathematical framework for capturing the non-local and frequency-dependent behavior of electrical systems [1] (see also [11,12]). Podlubny’s contributions laid the foundation for modern fractional-order circuit analysis, enabling a deeper understanding of how charge transport, capacitance, and resistance interact over time in systems exhibiting hereditary properties. Today, fractional-order models are widely used in circuit theory, control systems, and signal processing, offering superior accuracy in scenarios where conventional integer-order models fall short.
From the foundational laws established by Ohm and Kirchhoff, in the nineteenth century, to the advent of non-integer calculus and advanced computational techniques, the evolution of RC circuit modeling has been shaped by continuous theoretical advancements and technological innovations. These developments have not only refined classical circuit analysis, but have also extended its applicability to contemporary engineering and scientific challenges.
Innovations in power electronic systems are reshaping the management, storage, and distribution of energy. Among these, fractional calculus has emerged as a powerful tool to model and control complex dynamic behaviors in power grids. Fractional-order controllers, for instance, are applied in load frequency control, grid-tied inverters, and renewable energy integration, offering enhanced flexibility and precision compared to traditional methods. Notably, Zhang’s work [13] demonstrates how fractional calculus can improve system stability and efficiency in power electronic systems through advanced control strategies for energy storage and distribution systems.
Micro-scale systems and on-chip technologies, meanwhile, represent cutting-edge advancements in modern engineering. These systems seamlessly integrate advanced functionalities into compact designs, proving indispensable for applications in medical devices, telecommunications, and energy management. Fractional calculus plays a crucial role in enhancing the performance and reliability of these technologies by accurately modeling their complex dynamic behaviors. Deng’s work [14] has provided valuable insights into the application of fractional models in on-chip technologies, particularly in addressing challenges such as thermal management, signal integrity, and system efficiency. These models allow researchers to achieve more precise simulations and designs, thus addressing critical issues like heat dissipation and electromagnetic interference in densely packed circuits.
Lastly, advanced protection mechanisms in electrical systems are imperative for ensuring reliability and safety, especially when governed by fractional differential equations. These equations offer a refined representation of system dynamics, capturing the memory and hereditary characteristics often overlooked by traditional integer-order models. Li’s work [15] highlighted innovative protection strategies for electrical systems, specifically those employing silicon carbide (SiC) MOSFETs. Their study introduced a fast overcurrent protection integrated circuit (IC) enhanced by fractional-order modeling, which provides superior precision and response times, thus effectively addressing overload and short-circuit conditions.
Electrical circuits composed of inductors (L), capacitors (C), and resistors (R) are traditionally modeled using the integer-order differential equations derived from Kirchhoff’s voltage and current laws (see the recently published book [16]). For a standard RL circuit, where a resistor and inductor are connected in series with a voltage source v ( τ ) , Kirchhoff’s voltage law gives the following equation:
L d i ( τ ) d τ + R i ( τ ) = v ( τ ) ,
where i ( τ ) is the circuit current. Similarly, an RC circuit, consisting of a resistor and capacitor in series, follows the following equation:
C d v C ( τ ) d τ + R v C ( τ ) = v ( τ ) ,
where v C ( τ ) is the capacitor voltage. For a series LC circuit, Kirchhoff’s Voltage Law implies the sum of voltages across L and C equals the total applied voltage. For the capacitor voltage v C ( τ ) in a LC circuit, the governing equation is derived as follows:
L d 2 v C ( τ ) d τ 2 + 1 C v C ( τ ) = 0 .
Finally, an RLC circuit, incorporating all three elements in series, satisfies the subsequent differential second-order equation:
L d 2 i ( τ ) d τ 2 + R d i ( τ ) d τ + 1 C i ( τ ) = 0 .
Many real-world materials and circuit components exhibit memory-dependent behavior and non-local dynamics, deviating from classical integer-order models. To accurately capture these effects, fractional-order circuit formulations replace integer-order derivatives with Liouville–Caputo fractional derivatives, which inherently encode memory through their non-local kernel. These fractional models align with the generalized framework discussed earlier, where terms involving fractional derivatives (e.g., D τ ε i LC z ( τ ) ) explicitly represent the memory effects of inductors and capacitors. By selecting specific values for the parameters μ i and fractional orders ε i , classical RL, RC, LC, and RLC circuits—as well as their fractional counterparts—emerge as specialized instances of this unified framework.
By generalizing the aforesaid models (1)–(4), we considered the subsequent model equation:
D τ ε LC z ( τ ) + i = 1 n 1 μ i D τ ε i LC z ( τ ) + μ 0 z ( τ ) = v ( τ ) , τ Ω L : = [ 0 , L ] ,
where 0 < ε 1 < ε 2 < < ε n 1 < ε , for an n N , and n 1 < ε n are the orders of derivatives in the Liouville–Caputo operators D τ ε i LC z ( τ ) ( 1 i n 1 ) and D τ ε LC while assuming that there is no loss of generality that ε i ( i 1 , i ] for i = 1 , 2 , , n 1 . In addition, the parameters μ i , μ 0 are some suitable real constants and v ( τ ) is a given source function. Along with the above-mentioned model (5), the following initial conditions are prescribed:
z ( i ) ( 0 ) = c i , i = 0 , 1 , , n 1 .
Here, c i are some appropriate constants in real numbers.
Most traditional integer-order FDEs and, in particular, the governing models of electrical circuits are linear and yield closed-form analytical solutions. However, when these models are generalized to fractional-order systems, closed-form solutions become difficult or impossible to obtain. As a result, numerical solvers have become the preferred method for solving multi-order fractional-order models. In recent years, some efforts have been made to develop numerical and approximation algorithms for solving these more complex models. Some previously developed numerical solvers for the generalized model (5) are the Adams-type predictor-corrector rule [17], fractional Euler-based methods [18], the Bessel spectral matrix method [19], improved shifted Jacobi operational matrix methods [20], the quasilinearization-based Genocchi methodology [21], and spectral Galerkin algorithms based on generalized Chebyshev polynomials [22], among others.
Several approaches have emerged in the literature, each offering unique techniques for tackling electrical circuits of a fractional order. For instance, in [23], the authors proposed the differential transform methodology (DTM) to effectively solve circuit models with nonlinearity. This approach was further generalized in [24] for application to RLC circuit models. Other available techniques, such as the (rational) homotopy perturbation method and the Boubaker polynomial expansion procedures, were proposed in [25] to solve complex circuit equations. Additionally, in [26], the authors employed the Atangana–Baleanu operator, utilizing the Laplace transform method to analyze fractional-order electrical circuits. Other numerical techniques include the pseudospectral method based on Legendre polynomials [27], as well as wavelet-based approaches using various polynomials, such as Chebyshev, Bernoulli, Fibonacci, Gegenbauer, Laguerre, Dickson, and Lucas [28,29,30,31,32]. Spectral collocation methods relying on third-kind Chebyshev, Dickson, and Jacobi polynomials have been explored graphically in [33,34,35] for fractional circuit models. Additionally, the cubic B-spline method with a non-uniform mesh has been used for solving RLC closed-series circuits [36], while Green’s functions combined with the fixed-point approach were applied to fractional RLC circuits in [37]. Finally, in [38], a biologically inspired computational intelligence approach utilizing feed-forward artificial neural networks (ANNs) was developed for solving fractional-order circuit models.
The local discontinuous Galerkin (LDG) scheme builds upon the foundational strengths of discontinuous Galerkin (DG) schemes—such as geometric flexibility, high-order accuracy, and parallelizability enabled by discontinuous piecewise polynomial basis functions—while uniquely addressing the challenges of fractional-order systems [39]. By reformulating fractional differential equations into a coupled system of first-order classical ODEs and fractional integrals, the LDG approach leverages DG’s robustness for the ODE component while exploiting the nonlocal nature of fractional operators to bypass numerical fluxes for the integral term, significantly simplifying implementation and reducing computational overhead. Crucially, the LDG method retains stability through carefully designed interface numerical fluxes for the ODE subsystem, ensuring accuracy without sacrificing efficiency. This dual capability enables efficient handling of complex fractional models, as demonstrated in pioneering work by Deng and Hesthaven [40], where LDG proved effective even for multi-term fractional ODEs. The LDG method has proven highly effective for solving challenging ODEs, especially fractional-order and high-order systems where classical methods struggle with stiffness, singularities, or nonlocal memory effects (see [41,42,43,44,45]). The method’s ability to seamlessly integrate classical and fractional dynamics, coupled with its computational economy, positions it as a versatile tool for modern scientific and engineering challenges. For applications of LDG schemes to fractional-order PDEs, we referred to [46,47,48,49], to name a few.
While this paper emphasizes the advantages of the LDG method (e.g., high-order accuracy, flexibility in handling non-smooth solutions, and natural incorporation of flux terms), we recognize that no numerical method is universally superior. The LDG method inherently carries trade-offs, such as the following:
  • Interface Flux Design: The numerical fluxes in LDG must be carefully selected to ensure stability and accuracy. This challenge is not commonly present in other methods, such as finite difference methods and spectral-based techniques.
  • Grid Refinement Needs: LDG methods may demand more refined grids to achieve comparable accuracy, particularly for problems involving complex geometries or sharp gradients.
  • Stiffness Management: LDG schemes can face difficulties in handling stiff fractional systems, especially when compared with implicit solvers or quasilinearization techniques, which are naturally better suited for such problems.
  • Ease of Implementation: LDG requires significant implementation expertise due to its sophisticated piecewise polynomial basis and coupled formulations. By contrast, other methods, such as predictor–corrector approaches, might be simpler to deploy in practical applications.
This research investigated a novel numerical approach for solving multi-order FDEs, with applications to dynamical systems, such as electrical circuit models. Specifically, this study employed the LDG method to discretize the governing equations. The core principle of the LDG framework involves reformulating a multi-order FDE into a coupled algebraic system of classical ODEs of a first order, as well as the fractional integral terms. The DG scheme is then systematically applied to the derived ODE system and also the fractional integrals to achieve high-order accuracy. A critical factor in the success of LDG techniques lies in the strategic design of appropriate numerical fluxes at element interfaces. When applying LDG to multi-order FDEs, numerical fluxes are introduced solely for the first-order ODE subsystem. For the fractional integral terms, however, such fluxes are unnecessary due to the inherent nonlocality of integral operators, which naturally accommodates the coupling of discontinuous functions across computational domains. To our knowledge, this marks the first instance where the LDG approach has been applied to electrical circuit model equations.
The organization of the current research paper is detailed below. A concise overview of fractional calculus is provided in the upcoming second section. Section 3 presents a detailed formulation of the upwind LDG method for solving muti-order FDEs (5), including a rigorous proof of the existence and uniqueness of discrete solutions via the Lax–Milgram lemma. We further establish and analyze the (numerical) stability for the model (5) in the L -norm, providing theoretical guarantees for the method’s robustness. Section 4 demonstrates the efficacy of the proposed LDG scheme through a series of numerical simulations, with validation against established computational benchmarks to underscore its accuracy and efficiency. Section 5 serves as this study’s culmination, offering a cohesive synthesis of the core results and charting the actionable opportunities for advancing the field.

2. Preliminary Foundations of Fractional Calculus

A foundational understanding of fractional calculus—particularly the Liouville–Caputo derivative, which is a cornerstone operator for modeling memory-dependent phenomenon—is a prerequisite for the ensuing analysis. For rigorous derivations and historical context, refer to [2].
Definition 1. 
Consider a real-valued function z ( τ ) defined for τ > 0 . We say that z ( τ ) belongs to the class C ι , where ι R , if there exists a real number π > ι and a function y ( τ ) C ( [ 0 , ) ) such that z ( τ ) can be expressed as
z ( τ ) = τ π y ( τ ) .
Furthermore, if there exists an integer p N such that the pth derivative z ( p ) ( τ ) also belongs to C ι , we denote this as z ( τ ) C ι p .
Definition 2. 
Assume that, for ι > 1 , we have z ( τ ) C ι . The fractional Riemann–Liouville (RL) integral of order ε > 0 is defined by
J τ ε 0 [ z ( τ ) ] = 1 Γ ( ε ) 0 τ z ( q ) d q ( τ q ) 1 ε ,
where Γ ( · ) represents the Gamma function.
Here are the main properties of the RL integral, including linearity, semigroup properties, and the RL integral of a power function:
(a)
J τ ε 0 c 1 z 1 ( τ ) + c 2 z 2 ( τ ) = c 1 J τ ε 0 [ z 1 ( τ ) ] + c 2 J τ ε 0 [ z 2 ( τ ) ] , c 1 , c 2 R ,
(b)
J τ ε 1 0 [ J τ ε 2 0 [ z ( τ ) ] ] = J τ ε 1 + ε 2 0 [ z ( τ ) ] ,
(c)
For λ > 1 and ε > 0 : J τ ε 0 [ τ λ ] = Γ ( λ + 1 ) Γ ( λ + ε + 1 ) t λ + ε .
Definition 3. 
Given that z ( τ ) C 1 n , for some n N , where n 1 < ε < n , then the Liouville–Caputo (LC) derivative with respect to z ( τ ) of order ε is expressed by
D τ ε LC [ z ( τ ) ] = J τ n ε 0 [ D n z ( τ ) ] , D n : = d n d τ n .
It is evident that the operator D τ ε LC is linear due to the linearity of J τ ε 0 . Specifically, for a constant function z ( τ ) = C , the LC derivative vanishes identically:
D τ ε LC [ C ] = 0 .
The subsequent formula will be utilized to calculate the LC fractional derivative of the power function z ( τ ) = τ λ as follows:
D τ ε LC [ τ λ ] = Γ ( λ + 1 ) Γ ( λ + 1 ε ) τ λ ε , for λ N 0 and λ ε or λ N and λ > ε , 0 , for λ N 0 and λ < ε .
Here, we have defined N 0 : = N { 0 } as the set of non-negative integers. In addition, the symbols · and · are utilized to represent the ceil and floor functions, respectively.

3. The LDG Discretization for Multi-Order FDEs

The LDG method is fundamentally rooted in reformulating fractional ODEs into a coupled system of classical ODEs of a first order and a fractional integral component. This approach leverages the inherent compatibility of integral operators with discontinuous functions, thereby circumventing the necessity for penalty terms or specialized numerical fluxes in the integral portion of the system. For the first-order ODE components, however, upwind fluxes are strategically employed to ensure stability. This section outlines a review of the basic notation used in the subsequent parts and demonstrates the construction of LDG schemes, rigorously establishing their numerical stability.

3.1. Notations

Let K be a given positive integer. Then, divide the interval Ω L = [ 0 , L ] into K subintervals Γ j : = ( τ j 1 , τ j ) for j = 1 , 2 , , K with nodes
τ 0 = 0 < τ 1 < τ 2 < < τ j 1 < τ j < < τ K = L .
Let δ τ j = τ j τ j 1 denote the length of each Γ j . In addition, set the mesh Γ δ : = { Γ j } j = 1 K , where δ : = max 1 j K δ τ j represents the length of the largest interval. The next step is to link the mesh Γ δ with the broken Sobolev spaces, which are defined as follows:
V δ = ϕ : Ω L R ϕ | Γ j L 2 ( Γ j ) , j = 1 , 2 , , K ,
and
H δ 1 = ϕ : Ω L R ϕ | Γ j H 1 ( Γ j ) , j = 1 , 2 , , K .
Here, the Hilbert space L 2 ( Γ j ) is composed of all measurable functions f for which the integral of | f ( x ) | 2 over the domain Γ j converges, while H 1 denotes the Sobolev space with order unity. Let p 0 be given. On an element Γ j Γ δ , define the space of polynomials of degree at most p on Γ j :
P p ( Γ j ) : = ϕ : Γ j R ϕ ( τ ) = i = 0 p a i τ i .
Let W δ p be a finite-dimensional local subspace of H δ 1 , which is composed of piecewise polynomials of a degree p that are discontinuous at subdomain interfaces, which is given by
W δ p = ϕ : Ω L R ϕ | Γ j P p ( Γ j ) , j = 1 , 2 , , K .
Since functions in W δ p can be discontinuous, we defined the left-hand and right-hand limits of a piecewise continuous function ϕ : Ω L R at the nodes of Γ δ . We denote these limits at τ j by ϕ j and ϕ j + , respectively, and then defined them as
ϕ j ± = ϕ ± ( τ j ) = ϕ ( τ j ± ) : = lim ϵ 0 ± ϕ ( τ j ± ϵ ) .
Consequently, the jump at the point τ j is defined by [ ϕ ] j = ϕ j + ϕ j . Ultimately, the following L 2 inner product on Γ j and the associated norm will be consistently employed throughout this paper:
ϕ , φ j : = Γ j ϕ ( τ ) φ ( τ ) d τ , ϕ j 2 : = ϕ , ϕ j .
We define · , · Ω L as the standard L 2 ( Ω L ) inner product, with the associated norm given by · Ω L = · L 2 ( Ω L ) . Additionally, we adopted the convention · , · Ω L = j = 1 K · , · j in the following discussions. Finally, we obtained
ϕ , φ j : = 0 τ j ϕ ( τ ) φ ( τ ) d τ ,

3.2. Methodology of the LDG Procedure

To define the LDG procedure for Model (5), we first converted it into a system of ODEs by introducing the following new variables:
ζ 0 ( τ ) = z ( τ ) , ζ 1 ( τ ) = z ( τ ) , ζ 2 ( τ ) = z ( τ ) , ζ n ( τ ) = z ( n ) ( τ ) .
Note that n N and ε ( n 1 , n ] . In view of Definition (3), the resulting system of equations can be expressed as follows:
ζ 1 ( τ ) ζ 0 ( τ ) = 0 , ζ 2 ( τ ) ζ 1 ( τ ) = 0 , ζ n ( τ ) ζ n 1 ( τ ) = 0 , J τ n ε 0 [ ζ n ( τ ) ] + i = 1 n 1 μ i J τ i ε i 0 [ ζ i ( τ ) ] + μ 0 ζ 0 ( τ ) = v ( τ ) .
In a similar manner, we can successfully convert the associated initial conditions (6) in the forms
ζ i ( τ ) c i = 0 , i = 0 , 1 , , n 1 .
We now assume that the solutions lie in the appropriate function spaces defined above, specifically ζ i ( τ ) H δ 1 for i = 0 , 1 , , n 1 , with the exception that ζ n ( τ ) V δ . On the element Γ j Γ δ , the quantities Ξ i ( τ ) for i = 0 , 1 , , n represent the computed discontinuous Galerkin (DG) approximations of the actual solutions ζ i ( τ ) for System (9).
To construct the DG weak form of the system in (9), we first multiply the governing equations for i = 0 , 1 , , n 1 by suitable test functions Φ i W δ p . These products are then integrated over the element Γ j . Subsequently, integration by parts is applied to redistribute derivative operators, yielding the following variational formulations:
Γ j Ξ i + 1 ( τ ) Φ i ( τ ) d τ + Γ j Ξ i ( τ ) Φ i ( τ ) d τ Ξ i ( τ j ) Φ i ( τ j ) + Ξ i ( τ j 1 + ) Φ i ( τ j 1 + ) = 0 ,
for i = 0 , 1 , , n 1 . By introducing flux terms at element boundaries, we are able to advance in time. Here, the upwind flux Ξ i ( τ j 1 ) is replaced by Ξ i ( τ j 1 + ) in (11). The resulting equations are
Ξ i + 1 ( τ ) , Φ i ( τ ) j + Ξ i ( τ ) , Φ i ( τ ) j Ξ i ( τ j ) Φ i ( τ j ) + Ξ i ( τ j 1 ) Φ i ( τ j 1 + ) = 0 ,
for i = 0 , 1 , , n 1 . Next, we proceeded by multiplying the final equation in (9) by a test function Φ n W δ p , which was followed by integrating over Γ j to arrive at
Γ j J τ n ε 0 [ Ξ n ( τ ) ] Φ n ( τ ) d τ + i = 1 n 1 μ i Γ j J τ i ε i 0 [ Ξ i ( τ ) ] Φ n ( τ ) d τ + μ 0 Γ j Ξ 0 ( τ ) Φ n ( τ ) d τ = Γ j v ( τ ) Φ n ( τ ) d τ .
The discrete problem can be summarized as finding trial functions Ξ i W δ p (for i = 0 , 1 , , n ) such that, for all corresponding test functions Φ i W δ p , the resulting variational equations hold:
Ξ i + 1 ( τ ) , Φ i ( τ ) j + Ξ i ( τ ) , Φ i ( τ ) j Ξ i ( τ j ) Φ i ( τ j ) + Ξ i ( τ j 1 ) Φ i ( τ j 1 + ) = 0 , 0 i n 1 , J τ n ε 0 [ Ξ n ( τ ) ] , Φ n ( τ ) j + k = 1 n 1 μ k J τ k ε k 0 [ Ξ k ( τ ) ] , Φ n ( τ ) j + μ 0 Ξ 0 ( τ ) , Φ n ( τ ) j = v ( τ ) , Φ n ( τ ) j ,
for all subinterval indices j = 1 , 2 , , K . The above system is governed by the following initial conditions that stemmed from (10)
Ξ i ( τ 0 ) c i = 0 , i = 0 , 1 , , n 1 .
It should be stressed that, for the first time interval Γ 1 = ( τ 0 , τ 1 ) , the system employs the above specified initial conditions. For subsequent intervals Γ j ( j 2 ), however, the values Ξ i ( τ j 1 ) ( i = 0 , 1 , , n 1 ) are extrapolated from the solution on the preceding element Γ j 1 . Critically, the use of upwind fluxes—a natural and stable choice—facilitates solving the system sequentially on each subinterval Γ j ( j = 1 , 2 , , K ). This approach ensures computational efficiency: instead of inverting a large global matrix, there is only a small local matrix of size ( p + 1 ) × ( p + 1 ) (which is dependent on the polynomial degree p and is required for each element).
The discontinuous nature of functions in the space W δ p across element interfaces enables the use of distinct local basis functions for finite-element approximations. Within each element Γ j , the numerical approximations Ξ i ( τ ) of ζ i ( τ ) for i = 0 , 1 , , n are constructed using basis functions Θ 0 j , Θ 1 j , , Θ p j from the polynomial space P p ( Γ j ) . These approximations take the following form:
Ξ i ( τ ) = k = 0 p π i , k j Θ k j ( τ ) = Π i , j T Σ j ( τ ) , τ Γ j , i = 0 , 1 , , n ,
where
Π i , j T = [ π i , 0 j π i , 1 j π i , p j ] , Σ j ( τ ) = [ Θ 0 j ( τ ) Θ 1 j ( τ ) Θ p j ( τ ) ] T ,
represents the coefficient and the basis function vectors, respectively. Here, the coefficients π i , k j for k = 0 , 1 , , p and i = 0 , 1 , , n serve as the DOF (degrees of freedom) yet to be known within each element Γ j for j = 1 , 2 , , K . The test functions Φ i for i = 0 , 1 , , n in each Γ j are chosen as Θ k j ( τ ) for k = 0 , 1 , , p and j = 0 , 1 , , K . By leveraging orthogonal basis functions (for example, Legendre polynomials) within the LDG framework, the discrete formulation of Equation (14) is systematically transformed into an algebraic system. For details regarding the implementation, including matrix assembly and solver strategies, refer to [50].

3.3. Theoretical Foundations of the LDG Scheme: Proving Existence and Uniqueness

The subsequent objective is to prove the uniqueness property of the solution for the discrete LDG formulation in Equation (14). In general, proving existence, uniqueness, and numerical stability are not straightforward for an arbitrary n N . However, we establish these issues for n = 1 in detail below. In this case, by reformulating the numerical scheme (14), we seek solutions Ξ 0 ( τ ) and Ξ 1 ( τ ) that satisfy the following:
Ξ 0 ( τ j ) Φ 0 ( τ j ) Ξ 0 ( τ j 1 ) Φ 0 ( τ j 1 + ) Ξ 0 ( τ ) , Φ 0 ( τ ) j Ξ 1 ( τ ) , Φ 0 ( τ ) j = 0 , J τ 1 ε 0 [ Ξ 1 ( τ ) ] , Φ 1 ( τ ) j + μ 0 Ξ 0 ( τ ) , Φ 1 ( τ ) j = v ( τ ) , Φ 1 ( τ ) j , Ξ 0 ( τ 0 ) c 0 = 0 , Ξ 1 ( τ 0 ) c 1 = 0 ,
for all j = 1 , 2 , , K and Φ 0 ( τ ) , Φ 1 ( τ ) W δ p . Here, ε ( 0 , 1 ] . To establish the subsequent theoretical framework, we invoke the following lemma, which is fundamentally anchored in the semigroup properties of the fractional integral operator (see [40]):
Lemma 1. 
Given 0 < ε < 1 , we obtain
J τ ε 0 [ ϕ ( τ ) ] , ϕ j = J τ ( 1 ε ) / 2 0 [ ϕ ( τ ) ] , J τ j ( 1 ε ) / 2 τ [ ϕ ( τ ) ] j = cos ( 1 ε ) π 2 ϕ H 1 ε 2 [ 0 , τ j ] 2 .
We recall that, for 0 < s < 1 and Ω R d , the fractional-order Sobolev space H s ( Ω ) (with p = 2 ) is defined as follows:
H s ( Ω ) = v L 2 ( Ω ) | Ω Ω | v ( x ) v ( y ) | 2 | x y | d + 2 s d x d y < ,
with the associated seminorm
| v | H s ( Ω ) = Ω Ω | v ( x ) v ( y ) | 2 | x y | d + 2 s d x d y 1 / 2 ,
and the following norm
v H s ( Ω ) = v L 2 ( Ω ) 2 + | v | H s ( Ω ) 2 1 / 2 .
To proceed, we first multiply the first equation in (17) by minus one and integrate it into the second equation. Summing these modified expressions over all indices j = 1 , 2 , , K , the aim is to determine Y ( Ξ 0 , Ξ 1 ) W δ 2 : = W δ p × W δ p within the product space such that the resulting system holds:
B ( Y , X ) = L ( X ) , X ( Φ 0 , Φ 1 ) W δ 2 ,
where the bilinear form and the linear form, which are integral components of the formulation, are explicitly defined by the following expressions:
B ( Y , X ) = Ξ 0 ( τ ) , Φ 0 ( τ ) Ω L Ξ 1 ( τ ) , Φ 0 ( τ ) Ω L + J τ 1 ε 0 [ Ξ 1 ( τ ) ] , Φ 1 ( τ ) K + μ 0 Ξ 0 ( τ ) , Φ 1 ( τ ) Ω L + Ξ 0 ( τ K ) Φ 0 ( τ K ) j = 1 K 1 Ξ 0 ( τ j ) [ Φ 0 ] j ,
and
L ( X ) = Ξ 0 ( τ 0 ) Φ 0 ( τ 0 + ) + v ( τ ) , Φ 1 ( τ ) Ω L .
The following lemma demonstrates that the bilinear operator exhibits coercivity in the context of a triple norm. This coercivity ensures the applicability of the standard Lax–Milgram framework, guaranteeing both the existence and uniqueness of solutions. Under the assumptions μ 0 1 , the lemma below is established:
Theorem 1. 
Assume that Y = ( y , y ) W δ 2 , then we have
B ( Y , Y ) | | | Y | | | ,
where
| | | Y | | | = ( μ 0 1 ) y Ω L + 1 2 | y K | 2 + | y 0 + | 2 + j = 1 K 1 | [ y ] j | 2 + cos ( 1 ε ) π 2 y H 1 ε 2 [ 0 , L ] 2 .
Proof. 
By substituting X = Y = ( y , y ) into the definition of the bilinear form B defined in (18), we derive
B ( Y , Y ) = ( μ 0 1 ) y Ω L y ( τ ) , y ( τ ) Ω L + J τ 1 ε 0 [ y ( τ ) ] , y ( τ ) K + ( y K ) 2 j = 1 K 1 y j [ y ] j .
Applying integration by parts over each subinterval yields
y ( τ ) , y ( τ ) Ω L = 1 2 j = 1 K ( y j ) 2 ( y j 1 + ) 2 .
It is straightforward to demonstrate that
y ( τ ) , y ( τ ) Ω L + j = 1 K 1 y j [ y ] j = 1 2 ( y K ) 2 j = 1 K 1 [ y ] j 2 ( y 0 + ) 2 .
By inserting the former identity into the bilinear form B , which is followed using Lemma 1, we will finish the proof. □

3.4. Theoretical Stability Assessment for the LDG Formulation

In this portion, we analyze the (numerical) stability of the suggested LDG approximation (17). To continue, we define the numerical errors e i ( τ ) : = Ξ i ( τ ) ζ i ( τ ) for i = 0 , 1 . One can easily check that these errors satisfy in the following equations:
e 0 ( τ j ) Φ 0 ( τ j ) e 0 ( τ j 1 ) Φ 0 ( τ j 1 + ) e 0 ( τ ) , Φ 0 ( τ ) j e 1 ( τ ) , Φ 0 ( τ ) j = 0 , J τ 1 ε 0 [ e 1 ( τ ) ] , Φ 1 ( τ ) j + μ 0 e 0 ( τ ) , Φ 1 ( τ ) j = 0 ,
for all j = 1 , 2 , , K and Φ 0 ( τ ) , Φ 1 ( τ ) W δ p .
To streamline the subsequent analysis, we define μ 0 = 1 . Substituting Φ 0 = e 0 and Φ 1 = e 1 into Equation (19) and summing the resultant equations yields
e 0 2 ( τ j ) e 0 ( τ j 1 ) e 0 ( τ j 1 + ) e 0 ( τ ) , e 0 ( τ ) j + J τ 1 ε 0 [ e 1 ( τ ) ] , e 1 ( τ ) j = 0 .
A simple integration for the third term gives us
e 0 ( τ ) , e 0 ( τ ) j = 1 2 e 0 2 ( τ j ) e 0 2 ( τ j 1 + ) .
By substituting the preceding identity into Equation (20), scaling the resulting expression by a factor of two, introducing the term ± e 0 2 ( τ j 1 ) , and reorganizing the terms, we derive the following:
e 0 2 ( τ j ) e 0 2 ( τ j 1 ) + e 0 ( τ j 1 + ) e 0 ( τ j 1 ) 2 + 2 J τ 1 ε 0 [ e 1 ( τ ) ] , e 1 ( τ ) j = 0 .
Summing the expressions over all indices j = 1 , 2 , , K , we obtain
e 0 2 ( τ K ) e 0 2 ( τ 0 ) + j = 1 K [ e 0 ] j 1 2 + 2 J τ 1 ε 0 [ e 1 ( τ ) ] , e 1 ( τ ) K = 0 .
By leveraging Lemma 1, we rigorously establish the L -stability property inherent to Equation (17).
Theorem 2. 
The LDG formulation (17) is L -stable, and the associated numerical errors are governed by the following bound:
e 0 2 ( τ K ) = e 0 2 ( τ 0 ) j = 1 K [ e 0 ] j 1 2 2 cos ( 1 ε ) π 2 e 1 H 1 ε 2 [ 0 , L ] 2 .

4. Numerical Simulation Techniques

To justify the efficacy and robustness of the recommended LDG approach for the generalized System (5), we conducted numerical experiments on multiple benchmark cases. The algorithm was implemented using MATLAB version 2023a, and extensive comparative analyses against established numerical methods were performed. These evaluations systematically explore the influence of diverse fractional orders, specifically parameters ε and ε i for i = 1 , 2 , , n 1 , on the model’s behavior. The results underscore the method’s precision and computational reliability, aligning with theoretical expectations and outperforming conventional techniques in accuracy and stability. All numerical simulations were executed on a workstation featuring an Intel Core i7 CPU (2.2 GHz) and 16 GB of RAM.
Problem 1. 
The first test case we solved was the following multi-order FDE [18]:
D τ ε LC z ( τ ) + μ 2 D τ ε 2 LC z ( τ ) + μ 1 D τ ε 1 LC z ( τ ) + μ 0 z ( τ ) = v ( τ ) , τ [ 0 , L = 1 ] ,
where ε ( 3 , 4 ] , ε 2 ( 1 , 2 ] , and ε 1 ( 0 , 1 ] . The associated initial values are
c 0 = c 3 = 0 , c 1 = 1 , c 2 = 2 .
The source function v ( τ ) is
v ( τ ) = 2 μ 2 Γ ( 3 ε 2 ) τ 2 ε 2 + 2 μ 1 Γ ( 3 ε 1 ) τ 2 ε 1 μ 1 Γ ( 2 ε 1 ) τ 1 ε 1 + μ 0 ( τ 2 τ ) .
It can be readily confirmed that the exact solution is provided by z ( τ ) = τ 2 τ , which is independent of the fractional-order values ϵ , ϵ 1 , and ϵ 2 .
For the sake of simplicity, we set μ i to be a unity for i = 0 , 1 , 2 . By setting K = 1 and p = 3 , the goal was to derive approximate solutions Ξ i ( τ ) for i = 0 , 1 , , 4 using the forms specified in Equation (16). Here, the basis functions Σ j ( τ ) are defined as L j ( 2 τ 1 ) , which are the shifted Legendre polynomials over the interval Γ 1 = [ 0 , 1 ] . By choosing the test functions to coincide with the trial functions within the framework of Equation (16), the vectors of unknown coefficients Π i , j (for i = 0 , 1 , , 4 ) are determined as follows:
Π 0 , 1 T = 1 6 , 0 , 1 6 , Π 1 , 1 T = 0 , 1 , 0 , Π 2 , 1 T = 2 , 0 , 0 , Π 3 , 1 T = 0 , 0 , 0 = Π 4 , 1 T .
When multiplying these coefficients by the shifted-basis polynomial vector
Σ 1 ( x ) = 1 2 τ 1 6 τ 2 6 τ + 1 T ,
then the approximate solutions are computed as follows:
Ξ 0 ( τ ) Ξ 1 ( τ ) Ξ 2 ( τ ) Ξ 3 ( τ ) Ξ 4 ( τ ) = τ 2 τ 2 τ 1 2 0 0 .
Remarkably, these approximations coincide exactly with the analytical solutions for z ( τ ) and its higher-order derivatives up to order four. This demonstrates that the LDG method, even with minimal basis functions ( δ τ = 1 ), achieves high precision, not only for the solution itself, but also for its derivatives simultaneously. The results underscore the efficiency and accuracy of the LDG approach in capturing both the solution and its critical derivatives using sparse computational resources.
Further comparisons of the maximal absolute errors were made between the LDG method (with fixed p = 2 and step sizes δ τ = 1 , 0.5 , 0.25 ) and the ETM (Euler’s method combined with the product trapezoidal quadrature method) and ERM (Euler’s method combined with the product rectangle method) reported in [18]. For ETM and ERM, step sizes of h = 0.1 , 0.01 , and 0.001 were used. In all experiments, the values of the fractional orders were ϵ = 3.91 , ϵ 1 = 0.77 , and ϵ 2 = 1.77 , as taken in [18]. These comparisons are summarized in Table 1. The results clearly demonstrate that the proposed LDG method, even with larger step sizes, achieves superior performance compared to both the ETM and ERM approaches. We also measured the elapsed CPU time required to solve the algebraic system of Equation (14) for this model problem. The results demonstrate that the CPU time scales linearly with the number of subintervals K when the polynomial degree p is held constant.
Problem 2 
(RL circuit). The second benchmark model under investigation was the fractional-order RL electrical circuit, which is governed by the following differential equation [29,30,31]:
D τ ε LC z ( τ ) + R L z ( τ ) = v ( τ ) , τ [ 0 , L = 1 ] ,
where we set n = 1 and μ 0 = R L in (5). The supplemented initial condition is z ( 0 ) = c 0 . For the integer-order case ( ε = 1 ), we examined two distinct voltage source configurations:
(a) 
Constant-voltage source v ( τ ) V : The exact solution is derived as
z ( τ ) = V L R + c 0 V L R e R L τ .
(b) 
Time-decaying voltage source v ( τ ) = e R L τ : The closed-form solution takes the form
z ( τ ) = τ + c 0 e R L τ .
In the following, we used the model parameters R = 10 , L = 1 , c 0 = 0.01 , and V = 10 in the computations below.
To initiate the analysis, we focused on the scenarios involving integer orders where the parameter ε is fixed at 1. For Situation (a), the LDG method using K = 1 ( δ τ = 1 ) and p = 10 generates the ensuing polynomial solution on Γ 1 :
Ξ 0 , 1 ( a ) ( τ ) = 15.712129 τ 10 + 95.447786 τ 9 256.54793 τ 8 + 402.79031 τ 7 410.75186 τ 6 + 285.7551 τ 5 137.84971 τ 4 + 45.252748 τ 3 9.2879051 τ 2 + 0.8935782 τ + 0.010048645 .
When maintaining identical parameters but employing an altered voltage configuration in Scenario (b), the resulting numerical approximation on Γ 1 becomes
Ξ 0 , 1 ( b ) ( τ ) = 15.712129 τ 10 + 95.447786 τ 9 256.54793 τ 8 + 402.79031 τ 7 410.75186 τ 6 + 285.7551 τ 5 137.84971 τ 4 + 45.252748 τ 3 9.2879051 τ 2 + 0.8935782 τ + 0.010048645 .
Figure 1 illustrates the computed approximate solutions for diverse values of p = 5 , 10 , 15 alongside their corresponding exact solutions over the interval τ [ 0 , 1 ] .
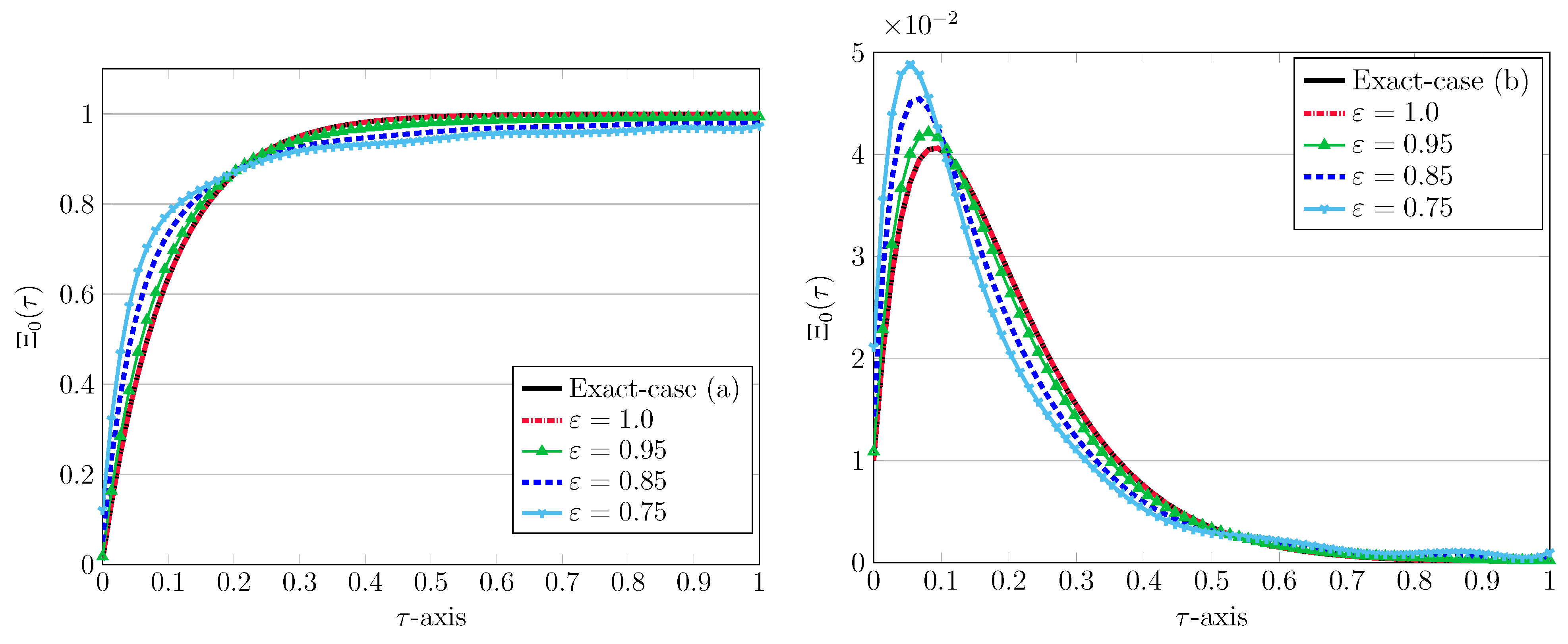
In fact, Figure 1 (left plot) illustrates the transient response of an RL circuit to a constant-voltage source v ( τ ) V . The current z ( τ ) = 1 0.99 e 10 τ starts at z ( 0 ) = 0.01 (initial condition) and exponentially approaches the steady-state value z steady = V L R = 1 . This reflects the inductor’s opposition to sudden changes in current, with the exponential rise governed by the time constant τ RL = L R = 0.1 . Figure 1 (right plot) captures the response to a decaying voltage source v ( τ ) = e 10 τ . The current z ( τ ) = ( τ + 0.01 ) e 10 τ exhibits a transient peak at τ 0.09 , where the linear growth ( τ ) briefly overcomes the exponential decay ( e 10 τ ). After the peak, the current exponentially decays to zero, reflecting the diminishing energy input from the decaying voltage source. Both figures highlight the LDG scheme’s precision for integer-order systems, with implications for real-world applications like power electronics and signal processing.
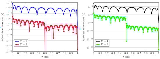
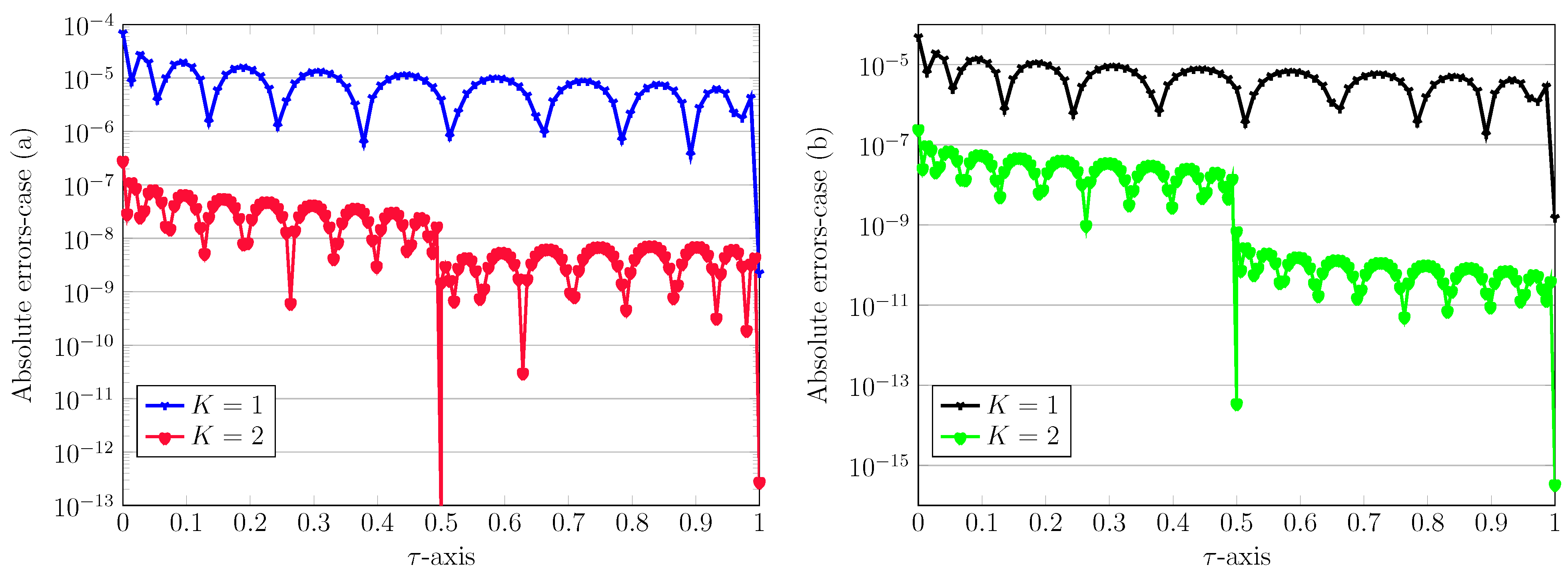
To achieve high-order accuracy in the LDG scheme, increasing the polynomial degree p is not the only strategy; using a greater number of subintervals (K) can also enhance precision. For instance, in Problem 2, we fixed p = 10 and compared results for K = 1 versus K = 2 . The absolute errors for Cases (a) and (b) under these configurations are illustrated in Figure 2.
We compared the results of two existing methods, i.e., the GWM (which employs a shifted and generalized Gegenbauer wavelet framework, as detailed in [30]) and the QLM-Dickson approach (which combines a quasilinearization method with the Dickson polynomial collocation strategy reported in [34]) against Cases (a) and (b), by evaluating their associated absolute errors. For clarity, Table 2 shows the computed outcomes. It is evident that, with only K = 1 and the same number of basis functions ( p = 10 ) , the achieved results exhibited greater accuracy compared to the QLM-Dickson and GWM approaches.
To demonstrate the high-order accuracy of the LDG method, we maintained a fixed polynomial degree p and incrementally refined the discretization parameter K, selecting values as powers of two ( K = 2 s , s = 0 , 1 , , 6 ). Table 3 summarizes the computed E 2 errors and corresponding estimated orders of convergence ( eoc ). The L 2 -norm error metric, which is defined as
E 2 , i : = z ( τ ) Ξ i ( τ ) 2 = Γ j Γ δ Γ j z ( τ ) Ξ i ( τ ) 2 d τ 1 2 ,
quantifies the discrepancy between the exact solution z ( i ) ( τ ) and the numerical approximation Ξ i ( τ ) for i = 0 , 1 , 2 . The convergence rate is evaluated via the following:
eoc K i = log 2 E 2 , i ( K ) E 2 , i ( K / 2 ) ,
which compares errors at successive discretization levels. The results presented in Table 3 for integer-order derivatives demonstrate that the LDG method achieves the theoretical convergence-order O ( δ τ p + 1 ) , thereby validating its high-order accuracy under mesh refinement.
We will now proceed to simulate the outcomes related to varying fractional orders. Specifically, we examined fractional-order values ε = 0.75 , 0.85 , 0.95 , and 1, and we included the integer-order case ε = 1 . The numerical outcomes for these values are illustrated in Figure 3, where the exact true solution for ε = 1 is highlighted with a thick line. The simulations employed p = 10 , K = 1 , and both Scenarios (a) and (b) were incorporated, as shown in the figure.
Problem 3 
(RLC Circuit). We investigated a fractional-order RLC model, which is illustrated by the following differential equation [29,30,31,32]:
D τ ε LC z ( τ ) + μ 1 D τ ε 1 LC z ( τ ) + μ 0 z ( τ ) = v ( τ ) , 1 < ε 2 , 0 < ε 1 1 ,
where τ [ 0 , 1 ] , μ 1 = R L , and μ 0 = 1 L C . The initial conditions are specified as z ( i ) ( 0 ) = c i for i = 0 , 1 .
For the integer-order case ( ε = 2 , ε 1 = 1 ), we define b = 1 L C , a = R L , and Δ = a 2 4 b . We analyzed two scenarios under Δ < 0 :
(I) 
Constant-voltage source v ( τ ) 0 : In this case, the analytical solution takes the following form [28]:
z ( τ ) = c 0 e a τ 2 cos d τ + a 2 b sin ( d τ ) , L = 4 , R = 1 , C = 0.01 , c 0 = 25 ,
where d = b a 2 4 .
(II) 
Time-varying voltage source v ( τ ) = 150 : The exact solution is given by the following [37]:
z ( τ ) = 6 2 e τ 3 cos ( 3 τ ) + 4 sin ( 3 τ ) , L = 2 , R = 16 , C = 0.02 , c 0 = c 1 = 0 .
We begin by setting p = 10 and K = 1 . The numerical approximations for ε = 2 and ε 1 = 1 , corresponding to Cases (I) and (II), are computed and presented below. For τ Γ 1 , we obtained, respectively,
Ξ 0 , 1 ( I ) ( τ ) = 51.381581 τ 10 304.04458 τ 9 + 588.27877 τ 8 216.98234 τ 7 397.43041 τ 6 112.38358 τ 5 + 659.54975 τ 4 + 24.739598 τ 3 312.41026 τ 2 0.0026565276 τ + 25.000019 ,
Ξ 0 , 1 ( I I ) ( τ ) = 3.2606688 τ 1 0 + 20.903108 τ 9 55.727016 τ 8 + 68.672836 τ 7 + 2.136911 τ 6 146.74486 τ 5 + 245.30881 τ 4 200.21673 τ 3 + 75.016252 τ 2 0.00052848247 τ + 0.0000042596448 .
Note that, for p = 10 and a relatively large time step size δ τ = 1 , the maximal achieved errors are E = 1.9179 × 10 5 for the Case (I), while it is E = 4.2596 × 10 6 for Case (II). For integer-order derivatives, we also examined the attained order of convergences for both Cases (I) and (II) in the L 2 norms, as formulated by (22) and (23). Table 4 tabulates the results for both the solution ( Ξ 0 ( τ ) ) and its first- and second-order derivatives ( Ξ 1 ( τ ) , Ξ 2 ( τ ) ). Here, we used p = 4 and different values of K as powers of two. From the presented results shown in Table 4, one infers that the theoretical order of convergence behaves like O ( δ τ p + 1 ) for Ξ i ( τ ) for i = 0 , 1 , 2 .
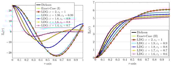
In this part, we revisited the framework of fractional-order derivatives and present visual analyses of the approximated solutions for the RLC circuit. These results were generated for both scenarios, i.e., Case (I) and Case (II), as detailed in Problem 3:
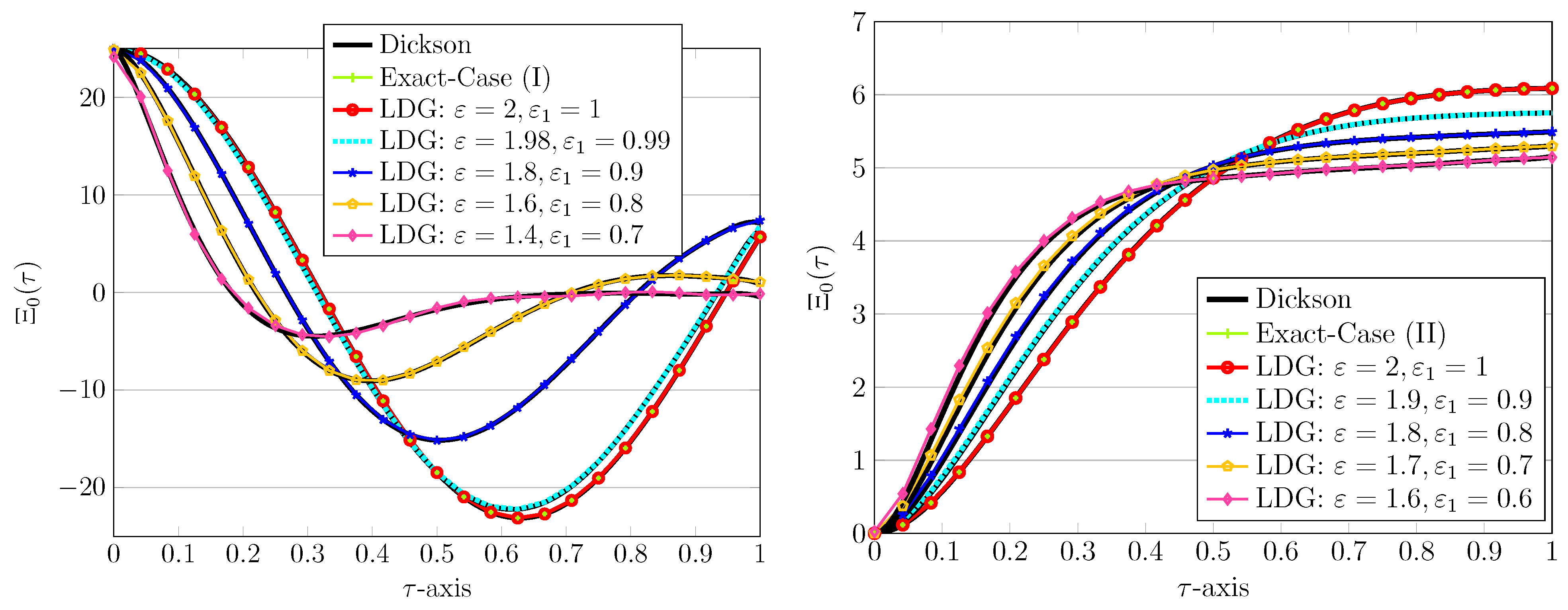
  • Case (I): We set ε = 2 ε 1 with ε 1 = 0.7 , 0.8 , 0.9 , 0.99 , and 1.
  • Case (II): We choose ε = 1 + ε 1 with ε 1 = 0.6 , 0.7 , , 1 .
These results, as shown in Figure 4, highlight the influence of fractional orders on the solution behavioral. To validate the suggested method, the numerical results were graphically compared with those obtained using the Dickson collocation technique [34] or, more precisely, the QLM-SDPFK method. In the figure, the solutions derived from the Dickson method are represented by thick solid lines, while the results of the current approach are depicted with distinct markers or line styles. This visual juxtaposition highlights the alignment between the two methods, underscoring the accuracy and reliability of the presented framework in resolving complex fractional-order dynamics.
The numerical solutions for Case (I) (left panel) and Case (II) (right panel) illustrate the impact of fractional orders ( ε and ε 1 ) on system dynamics. In Case (I), as ε 2 (which is a near integer order), the solutions aligned with classical second-order RLC circuit behavior (e.g., smooth oscillations), while smaller ε values ( 1 < ε 2 ) exhibited fractional damping with accelerated decay or memory effects. For Case (II), the solutions transitioned from first-order exponential relaxation ( ε 1 1 ) to anomalous transport with slower decay ( ε 1 0 ), highlighting fractional diffusion dominance. The LDG method ( p = 10 ,   K = 1 ) resolves these behaviors robustly, maintaining high accuracy, even with coarse discretization ( δ τ = 1 ), and suppressing oscillations via upwind fluxes. This underscores the method’s efficiency in capturing both classical and fractional regimes, making it ideal for engineering applications, like circuit modeling.

5. Conclusions

The findings of this study establish the local discontinuous Galerkin (LDG) method as a computationally efficient and accurate numerical framework for solving multi-order fractional differential equations (FDEs), which were validated through applications to fractional-order electrical circuit models, such as RL and RLC systems. By utilizing Liouville–Caputo’s fractional derivative and integrating upwind numerical fluxes, the LDG method successfully addresses the complexities associated with solving fractional-order models, providing both stability and high accuracy. A key strength of these methods lies in their ability to reformulate the governing equations into localized algebraic systems, enabling element-wise assembly and eliminating the requirement for computationally intensive global matrix operations. The theoretical foundations of the scheme were rigorously addressed through proofs of existence and uniqueness for the weak solution, while stability in the L -norm was demonstrated. The LDG method consistently delivered high-precision solutions for several test problems, even with relatively low polynomial degrees and a limited number of elements. Comparisons between LDG-based numerical solutions, analytical results, and established numerical methods (e.g., Gegenbauer wavelets and Dickson collocation) demonstrated the method’s accuracy, underscoring its potential for practical applications.
Extending the LDG framework to nonlinear fractional-order systems presents an opportunity to enhance numerical stability and convergence properties, particularly for simulating complex behaviors in advanced electrical systems, such as power grids, micro-scale circuits, and devices with fractional-order dynamics. Essential for modeling diodes, memristors, and materials exhibiting hysteresis or power–law dynamics, this extension necessitates iterative solvers, like Newton–Raphson solvers, to address nonlinear-fractional coupling. Key steps include redefining trial spaces, stabilizing nonlinear fluxes, and employing adaptive refinement to resolve sharp gradients. These advancements could enable predictive tools for applications in memristive circuits, bio-systems with memory effects, and neuromorphic computing.
Future work will extend the LDG framework to (linear and nonlinear) multidimensional FDEs, adaptive hp-refinement strategies, and coupled multi-physics systems. Additionally, integration with machine learning algorithms could enhance predictive capabilities for real-world industrial challenges, such as anomalous transport or circuit design. These advancements position the LDG method as a cornerstone for advancing fractional-order modeling, bridging theoretical rigor with practical computational demands in emerging scientific fields.

Author Contributions

Conceptualization, M.I., H.M.S., and M.K.; methodology, M.I., H.M.S., and M.K.; software, M.I.; validation, M.I., H.M.S., and M.K.; formal analysis, M.I., H.M.S., and M.K.; funding acquisition, H.M.S.; investigation, M.I., H.M.S., and M.K.; writing—original draft preparation, M.I. and M.K.; writing—review and editing, M.I., H.M.S., and M.K. All authors have read and agreed to the published version of the manuscript.

Funding

This research received no external funding.

Institutional Review Board Statement

Not applicable.

Informed Consent Statement

Not applicable.

Data Availability Statement

The data presented in this study are not available due to privacy.

Conflicts of Interest

The authors declare no conflicts of interest.

References

  1. Podlubny, I. Fractional Differential Equations: An Introduction to Fractional Derivatives, Fractional Differential Equations, to Methods of Their Solution and Some of Their Applications; Elsevier: Amsterdam, The Netherlands, 1998. [Google Scholar]
  2. Kilbas, A.A.; Srivastava, H.M.; Trujillo, J.J. Theory and Application of Fractional Differential Equations. In North-Holland Mathematics Studies; Elsevier: Amsterdam, The Netherlands, 2006; Volume 204. [Google Scholar]
  3. Ohm, G.S. The Galvanic Circuit Investigated Mathematically; Electricity and Magnetism: The Classical Theory; Springer: Berlin/Heidelberg, Germany, 1983. [Google Scholar]
  4. Kirchhoff, G. On the passage of an electrical current through a plane, especially through a circular disk. Ann. Phys. Chem. 1845, 64, 497–514. [Google Scholar] [CrossRef]
  5. Heaviside, O. On the theory of the propagation of currents in wires. Electrician 1886, 16, 3–8. [Google Scholar]
  6. Thévenin, L.C. On a new theorem in dynamic electricity. Ann. Télégr. 1883, 10, 222–224. [Google Scholar]
  7. Norton, E.L. Design of finite networks for uniform frequency characteristics. Bell Syst. Tech. J. 1926, 5, 536–563. [Google Scholar]
  8. Nyquist, H. Regeneration theory. Bell Syst. Tech. J. 1932, 11, 126–147. [Google Scholar] [CrossRef]
  9. Shannon, C.E. A mathematical theory of communication. Bell Syst. Tech. J. 1948, 27, 379–423. [Google Scholar] [CrossRef]
  10. Nagel, L.W. SPICE2: A Computer Program to Simulate Semiconductor Circuits; University of California: Berkeley, CA, USA, 1975; UCB/ERL M75/520. [Google Scholar]
  11. Alsaedi, A.; Nieto, J.J.; Venktesh, V. Fractional electrical circuits. Adv. Mech. Eng. 2015, 7, 1–7. [Google Scholar] [CrossRef]
  12. Gómez-Aguilar, J.F.; Escobar-Jiménez, R.F.; Olivares-Peregrino, V.H.; Taneco-Hernandez, M.A.; Guerrero-Ramírez, G.V. Electrical circuits RC and RL involving fractional operators with bi-order. Adv. Mech. Eng. 2017, 9, 1687814017707132. [Google Scholar] [CrossRef]
  13. Zhang, J.; Li, H.; Kong, X.; Zhou, J.; Shi, G.; Zang, J.; Wang, J. A novel multiple-medium-AC-port power electronic transformer. IEEE Trans. Ind. Electron. 2023, 71, 6568–6578. [Google Scholar] [CrossRef]
  14. Deng, Y.; Wang, F.; Yin, X.; Xiao, S.; Yang, Y.; Yu, N. Ultra-compact on-chip branch line coupler based on through-silicon via technology. IEEE Trans. Compon. Packag. Manuf. Technol. 2025, 15, 623–626. [Google Scholar] [CrossRef]
  15. Li, Q.; Yang, Y.; Wen, Y.; Tian, X.; Li, Y.; Xiang, W. A fast overcurrent protection IC for SiC MOSFET based on current detection. IEEE Trans. Power Electron. 2024, 39, 4986–4990. [Google Scholar] [CrossRef]
  16. O’Rourke, R. First and Second Order Circuits and Equations: Technical Background and Insights; Wiley-IEEE Press Incorporated: Hoboken, NJ, USA, 2024. [Google Scholar]
  17. Diethelm, K.; Ford, N.J. Multi-order fractional differential equations and their numerical solution. Appl. Math. Comput. 2004, 154, 621–640. [Google Scholar] [CrossRef]
  18. El-Mesiry, A.E.M.; El-Sayed, A.M.A.; El-Saka, H.A.A. Numerical methods for multi-term fractional (arbitrary) orders differential equations. Appl. Math. Comput. 2005, 160, 683–699. [Google Scholar] [CrossRef]
  19. Izadi, M.; Cattani, C. Generalized Bessel polynomial for multi-order fractional differential equations. Symmetry 2020, 12, 1260. [Google Scholar] [CrossRef]
  20. Ahmed, H.M. Enhanced shifted Jacobi operational matrices of integrals: Spectral algorithm for solving some types of ordinary and fractional differential equations. Bound. Value Prob. 2024, 2024, 75. [Google Scholar] [CrossRef]
  21. Izadi, M.; Ansari, K.J.; Srivastava, H.M. A highly accurate and efficient Genocchi-based spectral technique applied to singular fractional-order boundary-value problems. Math. Methods Appl. Sci. 2025, 48, 905–925. [Google Scholar] [CrossRef]
  22. Abd-Elhameed, W.M.; Alsuyuti, M.M. Numerical treatment of multi-term fractional differential equations via new kind of generalized Chebyshev polynomials. Fractal Fract. 2023, 7, 74. [Google Scholar] [CrossRef]
  23. Köoksal, M.; Herdem, S. Analysis of nonlinear circuits by using differential Taylor transform. Comput. Elect. Eng. 2002, 28, 513–525. [Google Scholar] [CrossRef]
  24. Magesh, N.; Saravanan, A. Generalized differential transform method for solving RLC electric circuit of non-integer order. Nonlinear Eng. 2018, 7, 127–135. [Google Scholar] [CrossRef]
  25. Vazquez-Leal, H.; Boubaker, K.; Hernández-Martínez, L.; Huerta-Chua, J. Approximation for transient of nonlinear circuits using RHPM and BPES methods. J. Electr. Comput. Eng. 2013, 2013, 973813. [Google Scholar] [CrossRef][Green Version]
  26. Gómez-Aguilar, J.F.; Atangana, A.; Morales-Delgado, V.F. Electrical circuits RC, LC, and RL described by Atangana-Baleanu fractional derivatives. Int. J. Circ. Theor. Appl. 2017, 45, 1514–1533. [Google Scholar] [CrossRef]
  27. Khader, M.M.; Gómez-Aguilar, J.F.; Adel, M. Numerical study for the fractional RL, RC, and RLC electrical circuits using Legendre pseudo-spectral method. Int. J. Circ. Theor. Appl. 2021, 49, 3266–3285. [Google Scholar] [CrossRef]
  28. Tural-Polat, S.N.; Dincel, A.T. Wavelet methods for fractional electrical circuit equations. Phys. Scr. 2023, 98, 115203. [Google Scholar] [CrossRef]
  29. Ahmed, S.; Shah, K.; Jahan, S.; Abdeljawad, T. An efficient method for the fractional electric circuits based on Fibonacci wavelet. Results Phys. 2023, 52, 106753. [Google Scholar] [CrossRef]
  30. Yadav, P.; Jahan, S.; Nisar, K.S. Shifted fractional order Gegenbauer wavelets method for solving electrical circuits model of fractional order. Ain Shams Eng. J. 2023, 14, 102544. [Google Scholar] [CrossRef]
  31. Avecı, İ. Spectral collocation with generalized Laguerre operational matrix for numerical solutions of fractional electrical circuit. Math. Model. Numer. Simul. Applic. 2024, 4, 110–132. [Google Scholar] [CrossRef]
  32. Madhulika, A.; Kumar, A. Application of modified Lucas wavelets fractional approximation scheme for analyzing the fractional electrical circuit’s models. Int. J. Appl. Comput. Math. 2024, 10, 127. [Google Scholar]
  33. Adel, M.; Srivastava, H.M.; Khader, M.M. Implementation of an accurate method for the analysis and simulation of electrical R-L circuits. Math. Methods Appl. Sci. 2023, 46, 8362–8371. [Google Scholar] [CrossRef]
  34. Izadi, M.; Kamandar, M. Fractional-order Liouville-Caputo electrical circuit models: QLM-Dickson matrix collocation algorithms. Comput. Electr. Eng. 2025, 122, 109981. [Google Scholar]
  35. Abd El-Hady, M.; El-Gamel, M.; Emadifar, H.; El-Shenawy, A. Analysis of RL electric circuits modeled by fractional Riccati IVP via Jacobi-Broyden Newton algorithm. PLoS ONE 2025, 20, e0316348. [Google Scholar]
  36. Govindarao, L.; Sekar, E. B-spline method for second order RLC closed series circuit with small inductance value. J. Phys. Conf. Ser. 2023, 2646, 012039. [Google Scholar] [CrossRef]
  37. Abukhaled, M.; Khuri, S.A. RLC electric circuit model of fractional order: A Green’s function approach. Int. J. Comput. Math. 2024, 101, 961–972. [Google Scholar]
  38. Raja, M.A.Z.; Mehmood, A.; Niazi, S.A.; Shah, S.M. Computational intelligence methodology for the analysis of RC circuit modelled with nonlinear differential order system. Neural Comput. Applic. 2018, 30, 1905–1924. [Google Scholar] [CrossRef]
  39. Cockburn, B.; Karniadakis, G.E.; Shu, C.W. (Eds.) Discontinuous Galerkin Methods: Theory, Computation and Applications; Lecture Notes in Computational Science and Engineering; Springer: Berlin/Heidelberg, Germany, 2000; Volume 11. [Google Scholar]
  40. Deng, W.H.; Hesthaven, J.S. Local discontinuous Galerkin method for fractional ordinary differential equations. BIT Numer. Math. 2015, 55, 967–985. [Google Scholar]
  41. Adjerid, S.; Temimi, H. A discontinuous Galerkin method for higher-order ordinary differential equations. Comput. Methods Appl. Mech. Eng. 2007, 197, 202–218. [Google Scholar]
  42. Izadi, M. Application of LDG scheme to solve semi-differential equations. J. Appl. Math. Comput. Mech. 2019, 18, 29–37. [Google Scholar]
  43. Baccouch, M. Analysis of optimal superconvergence of the local discontinuous Galerkin method for nonlinear fourth-order boundary value problems. Numer. Algor. 2021, 86, 1615–1650. [Google Scholar]
  44. Izadi, M.; Afshar, M. Solving the Basset equation via Chebyshev collocation and LDG methods. J. Math. Model. 2021, 9, 61–79. [Google Scholar]
  45. Karaaslan, M.F.; Celiker, F.; Kurulay, M. Approximate solution of the Bagley–Torvik equation by hybridizable discontinuous Galerkin methods. Appl. Math. Comput. 2016, 285, 51–58. [Google Scholar]
  46. Ahmadinia, M.; Safari, Z. Analysis of local discontinuous Galerkin method for time-space fractional sine-Gordon equation. Appl. Numer. Math. 2020, 148, 1–17. [Google Scholar]
  47. Wang, Z. Numerical analysis of local discontinuous Galerkin method for the time-fractional fourth-order equation with initial singularity. Fractal Fract. 2021, 6, 206. [Google Scholar] [CrossRef]
  48. Zhang, X.; Feng, Y.; Luo, Z.; Liu, J. A spatial sixth-order numerical scheme for solving fractional partial differential equation. Appl. Math. Lett. 2025, 159, 109265. [Google Scholar] [CrossRef]
  49. Li, W.; Wei, L. Analysis of local discontinuous Galerkin method for the variable-order subdiffusion equation with the Caputo–Hadamard derivative. Taiwanese J. Math. 2024, 28, 1095–1110. [Google Scholar] [CrossRef]
  50. Izadi, M.; Srivastava, H.M. A discretization approach for the nonlinear fractional logistic equation. Entropy 2020, 22, 1328. [Google Scholar] [CrossRef]
Figure 1. A visual comparison between the approximate solutions (computed using the LDG scheme) and exact analytical solutions for Case (a) (left panel) and Case (b) (right panel) in Problem 2. These results were generated with parameters p = 10 ,   K = 1 , and an integer order ε = 1 .
Figure 1. A visual comparison between the approximate solutions (computed using the LDG scheme) and exact analytical solutions for Case (a) (left panel) and Case (b) (right panel) in Problem 2. These results were generated with parameters p = 10 ,   K = 1 , and an integer order ε = 1 .
Fractalfract 09 00230 g001
Figure 2. A visual comparison between the absolute errors (achieved using the LDG scheme) for Case (a) (left panel) and Case (b) (right panel) in Problem 2. These results were generated with parameters p = 10 ,   K = 1 , 2 , and an integer order ε = 1 .
Figure 2. A visual comparison between the absolute errors (achieved using the LDG scheme) for Case (a) (left panel) and Case (b) (right panel) in Problem 2. These results were generated with parameters p = 10 ,   K = 1 , 2 , and an integer order ε = 1 .
Fractalfract 09 00230 g002
Figure 3. A visual representation of the numerical solutions (achieved using the LDG scheme) for Case (a) (left panel) and Case (b) (right panel) in Problem 2. These results were generated with parameters p = 10 ,   K = 1 , and various fractional orders ε .
Figure 3. A visual representation of the numerical solutions (achieved using the LDG scheme) for Case (a) (left panel) and Case (b) (right panel) in Problem 2. These results were generated with parameters p = 10 ,   K = 1 , and various fractional orders ε .
Fractalfract 09 00230 g003
Figure 4. A visual representation of the numerical solutions (achieved using the LDG scheme) for Case (I) (left panel) and Case (II) (right panel) in Problem 3. These results were generated with parameters p = 10 and K = 1 and various fractional orders ε and ε 1 .
Figure 4. A visual representation of the numerical solutions (achieved using the LDG scheme) for Case (I) (left panel) and Case (II) (right panel) in Problem 3. These results were generated with parameters p = 10 and K = 1 and various fractional orders ε and ε 1 .
Fractalfract 09 00230 g004
Table 1. Numerical comparison of the maximal absolute errors and the CPU time in the LDG method with the fixed parameter p = 2 and diverse K = 1 , 2 , 4 for Problem 1.
Table 1. Numerical comparison of the maximal absolute errors and the CPU time in the LDG method with the fixed parameter p = 2 and diverse K = 1 , 2 , 4 for Problem 1.
δ τ LDG CPU (s) Step SizeETM [18]ERM [18]
1 1.5807 × 10 16 0.009277 1 10 9.9579 × 10 2 9.8007 × 10 2
1 2 1.1917 × 10 14 0.204038 1 100 9.9110 × 10 3 9.5039 × 10 3
1 4 9.2357 × 10 14 0.449665 1 1000 9.9806 × 10 4 9.5386 × 10 4
Table 2. Numerical comparison of the absolute errors in the LDG method with fixed parameters p = 10 , K = 1 , ε = 1 , and diverse τ [ 0 , 1 ] for Problem 2.
Table 2. Numerical comparison of the absolute errors in the LDG method with fixed parameters p = 10 , K = 1 , ε = 1 , and diverse τ [ 0 , 1 ] for Problem 2.
Case (a)Case (b)
τ QLM-Dickson [34]LDGGWM [30]QLM-Dickson [34]LDGGWM [30]
0.1 8.5202 × 10 5 1.8835 × 10 5 6.7269 × 10 3 6.0550 × 10 5 1.3060 × 10 5 2.3036 × 10 3
0.2 5.3759 × 10 5 1.4817 × 10 5 2.0349 × 10 3 3.7456 × 10 5 1.0151 × 10 5 7.5984 × 10 4
0.3 8.3040 × 10 6 1.3109 × 10 5 2.4925 × 10 3 6.1677 × 10 6 9.0539 × 10 6 4.3732 × 10 4
0.4 2.1144 × 10 6 6.1869 × 10 6 1.5161 × 10 3 1.6230 × 10 6 4.4207 × 10 6 1.0298 × 10 4
0.5 9.9298 × 10 6 3.9505 × 10 6 7.8094 × 10 4 6.5303 × 10 6 2.4876 × 10 6 2.8890 × 10 5
0.6 5.1351 × 10 6 9.5317 × 10 6 3.5824 × 10 4 3.2138 × 10 6 6.3846 × 10 6 5.0578 × 10 5
0.7 1.0315 × 10 6 7.4901 × 10 6 1.6141 × 10 4 6.5764 × 10 7 5.1063 × 10 6 3.8523 × 10 5
0.8 2.2920 × 10 6 2.7356 × 10 6 6.8899 × 10 5 1.4489 × 10 6 1.9251 × 10 6 2.3099 × 10 5
0.9 1.8646 × 10 6 1.5599 × 10 6 2.8411 × 10 5 1.1576 × 10 6 1.0993 × 10 6 1.2538 × 10 5
1.0 4.6332 × 10 7 2.2233 × 10 9 2.8417 × 10 7 1.5046 × 10 9
Table 3. Numerical assessment of the error metric E 2 , 0 and convergence-order eoc K 0 within the LDG framework under parameters ε = 1 , polynomial degrees p = 1 , 2 , and multiple discretization levels K for Problem 2.
Table 3. Numerical assessment of the error metric E 2 , 0 and convergence-order eoc K 0 within the LDG framework under parameters ε = 1 , polynomial degrees p = 1 , 2 , and multiple discretization levels K for Problem 2.
Case (a)Case (b)
p = 1 p = 2 p = 1 p = 2
K E 2 , 0 eoc K 0 E 2 , 0 eoc K 0 E 2 , 0 eoc K 0 E 2 , 0 eoc K 0
1 1.4444 × 10 1 8.7544 × 10 2 6.8832 × 10 3 4.7858 × 10 3
2 9.5244 × 10 2 0.60 3.7514 × 10 2 1.22 4.3230 × 10 3 0.67 4.1672 × 10 3 0.20
4 4.5620 × 10 2 1.06 9.7567 × 10 3 1.94 3.9665 × 10 3 0.12 1.7540 × 10 3 1.25
8 1.6020 × 10 2 1.51 1.7028 × 10 3 2.52 1.9987 × 10 3 1.00 3.7940 × 10 4 2.21
16 4.6568 × 10 3 1.78 2.4193 × 10 4 2.82 6.5806 × 10 4 1.60 5.7970 × 10 5 2.71
32 1.2430 × 10 3 1.91 3.1758 × 10 5 2.93 1.8267 × 10 4 1.85 7.7788 × 10 6 2.90
64 3.2007 × 10 4 1.96 4.0505 × 10 6 2.97 4.7656 × 10 5 1.94 9.9899 × 10 7 2.96
Table 4. Numerical assessment of the error metric E 2 , i and convergence-order eoc K i ( i = 0 , 1 , 2 ) within the LDG framework under parameters ε = 2 ,   ε 1 = 1 , polynomial degree p = 4 , and multiple discretization levels K for Problem 3 and Cases (I)–(II).
Table 4. Numerical assessment of the error metric E 2 , i and convergence-order eoc K i ( i = 0 , 1 , 2 ) within the LDG framework under parameters ε = 2 ,   ε 1 = 1 , polynomial degree p = 4 , and multiple discretization levels K for Problem 3 and Cases (I)–(II).
Case (I)Case (II)
K E 2 , 0 eoc K 0 E 2 , 1 eoc K 1 E 2 , 2 eoc K 2 E 2 , 0 eoc K 0 E 2 , 1 eoc K 1 E 2 , 2 eoc K 2
1 4.1955 × 10 1 4.2188 × 10 0 1.0096 × 10 + 1 5.3189 × 10 2 2.7039 × 10 1 8.6218 × 10 1
2 2.8566 × 10 2 3.88 7.6094 × 10 2 5.79 7.2536 × 10 1 3.80 3.3728 × 10 3 3.98 1.1179 × 10 2 4.60 1.5338 × 10 2 5.81
4 7.9385 × 10 4 5.17 3.4403 × 10 3 4.47 2.0022 × 10 2 5.18 1.1841 × 10 4 4.83 3.1070 × 10 4 5.17 1.2448 × 10 3 3.62
8 2.4613 × 10 5 5.01 1.1101 × 10 4 4.95 6.2022 × 10 4 5.01 3.7715 × 10 6 4.97 9.5585 × 10 6 5.02 5.1845 × 10 5 4.59
16 7.6730 × 10 7 5.00 3.4994 × 10 6 4.99 1.9333 × 10 5 5.00 1.1870 × 10 7 4.99 2.9978 × 10 7 4.99 1.7560 × 10 6 4.88
32 2.3951 × 10 8 5.00 1.0969 × 10 7 5.00 6.0347 × 10 7 5.00 3.7221 × 10 9 5.00 9.3849 × 10 9 5.00 5.6352 × 10 8 4.96
64 7.4802 × 10 10 5.00 3.4319 × 10 9 5.00 1.8848 × 10 8 5.00 1.1652 × 10 10 5.00 2.9345 × 10 10 5.00 1.7787 × 10 9 4.99
Disclaimer/Publisher’s Note: The statements, opinions and data contained in all publications are solely those of the individual author(s) and contributor(s) and not of MDPI and/or the editor(s). MDPI and/or the editor(s) disclaim responsibility for any injury to people or property resulting from any ideas, methods, instructions or products referred to in the content.

Share and Cite

MDPI and ACS Style

Izadi, M.; Srivastava, H.M.; Kamandar, M. The LDG Finite-Element Method for Multi-Order FDEs: Applications to Circuit Equations. Fractal Fract. 2025, 9, 230. https://doi.org/10.3390/fractalfract9040230

AMA Style

Izadi M, Srivastava HM, Kamandar M. The LDG Finite-Element Method for Multi-Order FDEs: Applications to Circuit Equations. Fractal and Fractional. 2025; 9(4):230. https://doi.org/10.3390/fractalfract9040230

Chicago/Turabian Style

Izadi, Mohammad, Hari Mohan Srivastava, and Mahdi Kamandar. 2025. "The LDG Finite-Element Method for Multi-Order FDEs: Applications to Circuit Equations" Fractal and Fractional 9, no. 4: 230. https://doi.org/10.3390/fractalfract9040230

APA Style

Izadi, M., Srivastava, H. M., & Kamandar, M. (2025). The LDG Finite-Element Method for Multi-Order FDEs: Applications to Circuit Equations. Fractal and Fractional, 9(4), 230. https://doi.org/10.3390/fractalfract9040230

Article Metrics

Back to TopTop