Monitoring Pipeline Leaks Using Fractal Analysis of Acoustic Signals
Abstract
1. Introduction
- Section 2 presents algorithms for fractal analysis of acoustic signals;
- Section 3 describes the experimental setup and the methodology of laboratory research;
- Section 4 presents the results of laboratory investigations and their interpretation using spectral analysis and CFD modeling methods;
- Section 5 discusses the effect of filtering acoustic pipeline signals on the Hurst exponent;
- Section 6 presents a methodology for conducting experiments on the current pipelines of the water supply system and discusses their results;
- In the conclusion, the key findings of this investigation are presented.
2. Methods of Fractal Signal Analysis
2.1. Rescaled Range Analysis (R/S Analysis)
- A series x(t) is divided into N groups by δ elements.
- For each i-th group (i = 1, 2, …, N) the following are calculated:
- (1)
- the average value of ;
- (2)
- accumulated deviations from the mean , forming N series ;
- (3)
- range ;
- (4)
- rescaled range .
- 3.
- The Hurst exponent H is defined as the coefficient at an independent variable in the linear regression equation , where c—the free term.
2.2. Detrended Fluctuation Analysis (DFA)
- For the time series x(t) a cumulative series y(t), is constructed, each term of which is calculated using the formula , where —the average value of x(t).
- Next, the series y(t) is divided into N segments of length δ. A fluctuation function is calculated for each segment:where Ym(t)—the local m- polynomial trend within a given segment (i.e., the value of the trend function at point t).
- 3.
- Then, the N-obtained functions F(δ) are averaged. Such calculations are repeated for different values of δ.
- 4.
- For self-similar processes, there is a power dependence:
3. Laboratory Experiments
4. Results of Laboratory Experiments and Their Discussion
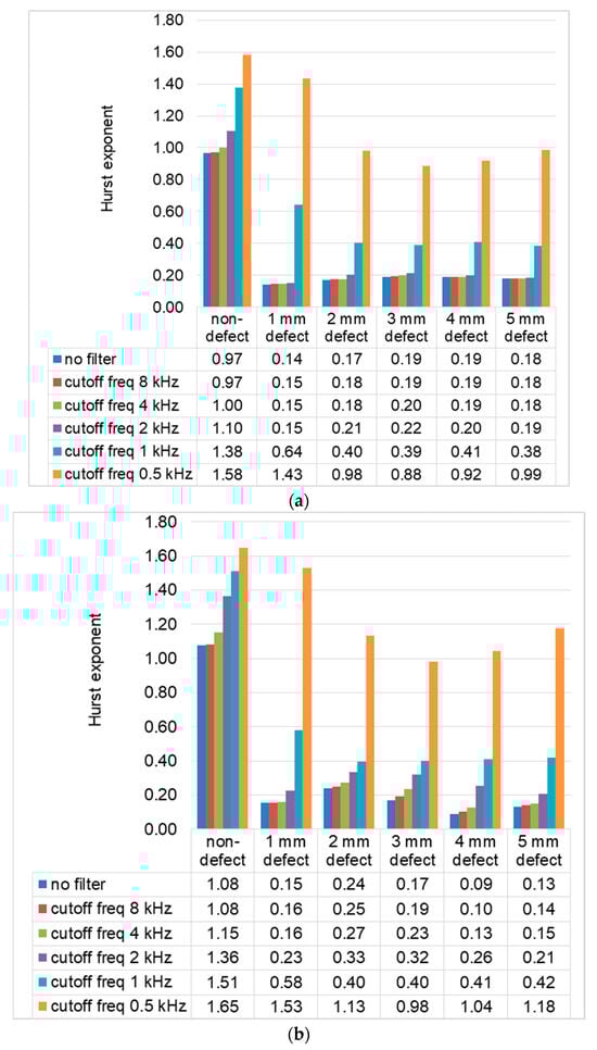
5. The Effect of Signal Filtering on the Hurst Exponent
6. Experimental Studies on Current Pipelines of the Water Supply System
- green color—the values of the Hurst exponent obtained on the pipeline in the absence of leakage;
- orange color—the values of the Hurst exponent obtained on the pipeline in the presence of a leak;
- red color—the limits of the confidence interval.
7. Conclusions
Author Contributions
Funding
Data Availability Statement
Conflicts of Interest
Nomenclature
| H | Hurst exponent |
| D | Fraclal Dimension |
| x(t) | Time series |
| y(t) | Cumulative series |
| t | Time |
| N | Number of groups (segments) |
| δ | Number of elements in a group (segment) |
| X | Accumulated deviation from the mean |
| R | Range of variation |
| S | Standard deviation |
| F(δ) | Fluctuation function |
| Ym(t) | Local m-polynomial trend |
| d | Absolute deviation from mean |
| t1–α/2(v) | Quantile of Student’s distribution with v degrees of freedom 1 – α/2 |
| SE | Standard error |
| α | Significance level |
References
- Luong, T.T.; Kim, J.M. The enhancement of leak detection performance for water pipelines through the renovation oftraining data. Sensors 2020, 20, 2542. [Google Scholar] [CrossRef] [PubMed]
- Shukla, H.; Piratla, K. Leakage detection in water pipelines using supervised classification of acceleration signals. Autom. Constr. 2020, 117, 103256. [Google Scholar] [CrossRef]
- Cheraghi, N.; Taheri, F. A damage index for structural health monitoring based on the empirical mode decomposition. J. Mech. Mater. Struct. 2007, 2, 43–62. [Google Scholar] [CrossRef]
- Liu, Y.; Ma, X.; Li, Y.; Tie, Y.; Zhang, Y.; Gao, J. Water pipeline leakage detection based on machine learning and wireless sensor networks. Sensors 2019, 19, 5086. [Google Scholar] [CrossRef] [PubMed]
- Mysorewala, M.F.; Cheded, L.; Ali, I.M. Leak detection using flow-induced vibrations in pressurized wall-mounted water pipelines. IEEE Access 2020, 8, 188673–188687. [Google Scholar] [CrossRef]
- Wang, W.; Sun, H.; Guo, J.; Lao, L.; Wu, S.; Zhang, J. Experimental study on water pipeline leak using In-Pipe acoustic signal analysis and artificial neural network prediction. Measurement 2021, 186, 110094. [Google Scholar] [CrossRef]
- Guo, G.; Yu, X.; Liu, S.; Ma, Z.; Wu, Y.; Xu, X.; Wang, X.; Smith, K.; Wu, X. Leakage detection in water distribution systems based on time–frequency convolutional neural network. J. Water Res. Plan. Manag. 2021, 147, 04020101. [Google Scholar] [CrossRef]
- Chen, Q.; Liu, G.; Ma, X.; Li, X.; He, Z. Fractal generator for efficient production of random planar patterns and symbols in digital mapping. Comput. Geosci. 2017, 105, 91–102. [Google Scholar] [CrossRef]
- Cipolletti, M.P.; Delrieux, C.A.; Perillo, G.M.E.; Piccolo, M.C. Border extrapolation using fractal attributes in remote sensing images. Comput. Geosci. 2014, 62, 25–34. [Google Scholar] [CrossRef]
- Peng, F.; Zhou, D.; Long, M.; Sun, X. Discrimination of natural images and computer generated graphics based on multi-fractal and regression analysis. AEU—Int. J. Electron. Commun. 2017, 71, 72–81. [Google Scholar] [CrossRef]
- Pardo-Vicente, M.-A.; Pavón-Domínguez, P.; Moreno-Nieto, D.; Herrera-Collado, M. Evaluation of printing parameters in additive manufactured samples using fractal geometry of computed tomography images. Addit. Manuf. 2024, 94, 104476. [Google Scholar] [CrossRef]
- Wang, F.; Zhou, C.; Zhang, D.; Deng, H.; Wen, X.; Chen, G. Study of CH4-H2-CO-Air premixed combustion characteristics based on fractal dimension and flame crack method. Int. J. Hydrogen Energy 2024, 63, 1212–1228. [Google Scholar] [CrossRef]
- Ma, X.; Zhang, F.; Luo, H.; Guo, G. Water shortage detection of jujube trees based on spectral technology and random forest classifier integrated with fractal theory. Ind. Crops Prod. 2024, 216, 118729. [Google Scholar] [CrossRef]
- Dimri, V.P.; Ganguli, S.S. Fractal Theory and Its Implication for Acquisition, Processing and Interpretation (API) of Geophysical Investigation: A Review. J. Geol. Soc. India 2019, 93, 142–152. [Google Scholar] [CrossRef]
- Tang, S.W.; He, Q.; Xiao, S.Y.; Huang, X.Q.; Zhou, L. Fractal Plasmonic Metamaterials: Physics and Applications. Nanotechnol. Rev. 2015, 4, 277–288. [Google Scholar] [CrossRef]
- Jiang, Z.-Q.; Xie, W.-J.; Zhou, W.-X.; Sornette, D. Multifractal Analysis of Financial Markets: A Review. Rep. Prog. Phys. 2019, 82, 125901. [Google Scholar] [CrossRef]
- Datta, D.; Sathish, S. Application of fractals to detect breast cancer. J. Phys. Conf. Ser. 2019, 1377, 012030. [Google Scholar] [CrossRef]
- Hart, M.G.; Romero-Garcia, R.; Price, S.J.; Suckling, J. Global effects of focal brain tumors on functional complexity and network robustness: A prospective cohort study. Clin. Neurosurg. 2019, 84, 1201–1213. [Google Scholar] [CrossRef]
- Dona, O.; Hall, G.B.; Noseworthy, M.D. Temporal fractal analysis of the rs-BOLD signal identifies brain abnormalities in autism spectrum disorder. PLoS ONE 2017, 12, e0190081. [Google Scholar] [CrossRef]
- Babanin, O.; Bulba, V. Designing the technology of express diagnostics of electric train’s traction drive by means of fractal analysis. East.-Eur. J. Enterp. Technol. 2016, 4, 45–54. [Google Scholar] [CrossRef][Green Version]
- Chandrasekaran, S.; Poomalai, S.; Saminathan, B.; Suthanthiravel, S.; Sundaram, K.; Hakkim, F.F.A. An investigation on the relationship between the hurst exponent and the predictability of a rainfall time series. Meteorol. Appl. 2019, 26, 511–519. [Google Scholar] [CrossRef]
- Xie, X.; Li, S.; Guo, J. Study on Multiple Fractal Analysis and Response Characteristics of Acoustic Emission Signals from Goaf Rock Bodies. Sensors 2022, 22, 2746. [Google Scholar] [CrossRef] [PubMed]
- Hurst, H.E. The Long-Term Storage Capacity of Reservoirs. Trans. Am. Soc. Civ. Eng. 1951, 116, 770–799. [Google Scholar] [CrossRef]
- Hurst, H.E. Methods of using long-term storage in reservoirs. Proc. Inst. Civ. Eng. 1955, 1, 519–543. [Google Scholar] [CrossRef]
- Mandelbrot, B.; Wallis, J.R. Robustness of the Rescaled Range R/S in the Measurement of Noncyclic Long-Run Statistical Dependence. Water Resour. Res. 1969, 5, 967–988. [Google Scholar] [CrossRef]
- Mandelbrot, B. Statistical methodology for non-periodic cycles: From the covariance to R/S analysis. Ann. Econ. Soc. Meas. 1972, 1, 2–11. [Google Scholar]
- Mandelbrot, B.; Taqqu, M.S. Robust R/S analysis of longrun serial correlation. Bulletin of the International Statistical Institute. Proc. 42nd Sess. Int. Stat. Inst. 1979, 48, 69–104. [Google Scholar]
- Danilenko, S. R/S Financial Market Analysis. Liet. Mat. Rink. 2008, 48, 186–190. [Google Scholar] [CrossRef]
- Li, J.; Chen, Y. Rescaled range (R/S) analysis on seismic activity parameters. Acta Seimol. Sin. 2001, 14, 148–155. [Google Scholar] [CrossRef]
- Gospodinova, E.; Lebamovski, P.; Georgieva-Tsaneva, G.; Negreva, M. Evaluation of the Methods for Nonlinear Analysis of Heart Rate Variability. Fractal Fract. 2023, 7, 388. [Google Scholar] [CrossRef]
- Zournatzidou, G.; Farazakis, D.; Mallidis, I.; Floros, C. Stochastic Patterns of Bitcoin Volatility: Evidence across Measures. Mathematics 2024, 12, 1719. [Google Scholar] [CrossRef]
- Peng, C.-K.; Buldyrev, S.V.; Havlin, S.; Simons, M.; Stanley, H.E.; Goldberger, A.L. Mosaic Organization of DNA Nucleotides. Phys. Rev. E 1994, 49, 1685–1689. [Google Scholar] [CrossRef] [PubMed]
- Serletis, A.; Uritskaya, O.; Uritsky, V. Detrended fluctuation analysis of the us stock market. Int. J. Bifurc. Chaos 2008, 18, 599–603. [Google Scholar] [CrossRef]
- Alvarez-Ramirez, J.; Alvarez, J.; Rodriguez, E. Short-term predictability of crude oil markets: A detrended fluctuation analysis approach. Energy Econ. 2008, 30, 2645–2656. [Google Scholar] [CrossRef]
- Ihlen, E.A. Introduction to Multifractal Detrended Fluctuation Analysis in Matlab. Front. Physiol. 2012, 3, 141. [Google Scholar] [CrossRef]
- Liu, J. Detrended fluctuation analysis of vibration signals for bearing fault detection. In Proceedings of the IEEE Conference on Prognostics and Health Management, Denver, CO, USA, 20–23 June 2011; pp. 1–5. [Google Scholar] [CrossRef]
- Zagretdinov, A.; Ziganshin, S.; Izmailova, E.; Vankov, Y.; Klyukin, I.; Alexandrov, R. Detection of Gate Valve Leaks through the Analysis Fractal Characteristics of Acoustic Signal. Fractal Fract. 2024, 8, 280. [Google Scholar] [CrossRef]
- Zagretdinov, A.; Ziganshin, S.; Izmailova, E.; Vankov, Y.; Klyukin, I.; Alexandrov, R. Detection of Pipeline Leaks Using Fractal Analysis of Acoustic Signals. Fractal Fract. 2024, 8, 213. [Google Scholar] [CrossRef]
- Bashan, A.; Bartsch, R.; Kantelhardt, J.W.; Havlin, S. Comparison of detrending methods for fluctuation analysis. Phys. A Stat. Mech. Its Appl. 2008, 387, 5080–5090. [Google Scholar] [CrossRef]

















| Criteria | R/S-Analysis | DFA |
|---|---|---|
| Complexity of implementation | Easier to implement | More difficult to implement. It requires more computing resources. |
| Limitations | It may produce incorrect results in the presence of strong trends or non-stationary. | The results depend on the choice of the order of the approximating polynomial for detrending. |
| Diameter of the Defect, mm | Pump Discharge Pressure, bar | Pump Capacity, L/min | Leakage Consumption, L/min |
|---|---|---|---|
| 1 mm | 1.5 | 9.8 | 1.0 |
| 2.0 | 11.0 | 1.1 | |
| 2.5 | 12.0 | 1.3 | |
| 3.0 | 13.0 | 1.4 | |
| 3.5 | 13.9 | 1.5 | |
| 4.0 | 15.0 | 1.6 | |
| 2 mm | 1.5 | 12.0 | 3.5 |
| 2.0 | 13.7 | 3.9 | |
| 2.5 | 14.9 | 4.2 | |
| 3.0 | 16.2 | 4.6 | |
| 3.5 | 17.2 | 4.7 | |
| 4.0 | 18.4 | 5.1 | |
| 3 mm | 1.5 | 15.5 | 7.1 |
| 2.0 | 17.6 | 8.0 | |
| 2.5 | 19.3 | 8.6 | |
| 3.0 | 20.8 | 9.2 | |
| 3.5 | 22.2 | 9.8 | |
| 4.0 | 23.6 | 10.3 | |
| 4 mm | 1.5 | 19.9 | 11.6 |
| 2.0 | 22.7 | 13.1 | |
| 2.5 | 24.8 | 14.2 | |
| 3.0 | 26.7 | 15.3 | |
| 3.5 | 28.7 | 16.4 | |
| 5 mm | 1.5 | 25.2 | 16.5 |
| 2.0 | 28.6 | 18.6 | |
| 2.5 | 31.5 | 20.6 | |
| 3.0 | 34.4 | 22.4 |
| Pressure in the Pipeline, bar | Maximum Values of Absolute Deviations | |||
|---|---|---|---|---|
| For Values Obtained Using the DFA-1 Method | For Values Obtained Using R/S Analysis | |||
| For Signals Recorded on the X-axis | For Signals Recorded on the Y-axis | For Signals Recorded on the X-axis | For Signals Recorded on the Y-axis | |
| 1.5 | 0.09 | 0.06 | 0.07 | 0.06 |
| 2 | 0.10 | 0.10 | 0.06 | 0.07 |
| 2.5 | 0.03 | 0.08 | 0.03 | 0.06 |
| 3 | 0.01 | 0.10 | 0.01 | 0.06 |
| 3.5 | 0.07 | 0.06 | 0.01 | 0.04 |
| 4 | 0.03 | 0.03 | 0.01 | 0.01 |
Disclaimer/Publisher’s Note: The statements, opinions and data contained in all publications are solely those of the individual author(s) and contributor(s) and not of MDPI and/or the editor(s). MDPI and/or the editor(s) disclaim responsibility for any injury to people or property resulting from any ideas, methods, instructions or products referred to in the content. |
© 2025 by the authors. Licensee MDPI, Basel, Switzerland. This article is an open access article distributed under the terms and conditions of the Creative Commons Attribution (CC BY) license (https://creativecommons.org/licenses/by/4.0/).
Share and Cite
Zagretdinov, A.; Ziganshin, S.; Izmailova, E.; Vankov, Y.; Klyukin, I.; Alexandrov, R. Monitoring Pipeline Leaks Using Fractal Analysis of Acoustic Signals. Fractal Fract. 2025, 9, 178. https://doi.org/10.3390/fractalfract9030178
Zagretdinov A, Ziganshin S, Izmailova E, Vankov Y, Klyukin I, Alexandrov R. Monitoring Pipeline Leaks Using Fractal Analysis of Acoustic Signals. Fractal and Fractional. 2025; 9(3):178. https://doi.org/10.3390/fractalfract9030178
Chicago/Turabian StyleZagretdinov, Ayrat, Shamil Ziganshin, Eugenia Izmailova, Yuri Vankov, Ilya Klyukin, and Roman Alexandrov. 2025. "Monitoring Pipeline Leaks Using Fractal Analysis of Acoustic Signals" Fractal and Fractional 9, no. 3: 178. https://doi.org/10.3390/fractalfract9030178
APA StyleZagretdinov, A., Ziganshin, S., Izmailova, E., Vankov, Y., Klyukin, I., & Alexandrov, R. (2025). Monitoring Pipeline Leaks Using Fractal Analysis of Acoustic Signals. Fractal and Fractional, 9(3), 178. https://doi.org/10.3390/fractalfract9030178

