Ulam-Type Stability and Krasnosel’skii’s Fixed Point Approach for φ-Caputo Fractional Neutral Differential Equations with Iterated State-Dependent Delays
Abstract
1. Introduction
- (As.1)
- The mappings and are continuous and Lipschitz in the state variables, i.e., there exist such that the following hold:
- (As.2)
- The function is continuous, and there exists such thatand
- (As.3)
- The function is continuous, and there exist constants and such thatand
- (As.4)
- For each there exists such that any with satisfies
- (As.5)
- The inequalityholds for
- (As.6)
- The following conditions hold:where
2. Preliminaries
- 1.
- u and v are nonnegative;
- 2.
- g is nonnegative and nondecreasing.
- 1.
- is a contraction, i.e., there exists with
- 2.
- is completely continuous (that is, continuous and maps bounded subsets of X into relatively compact subsets);
- 3.
- For every one has
3. Existence via Krasnosel’skii’s Fixed Point Theorem
4. Ulam–Hyers Stability
5. Illustrative Examples
5.1. Example 1
5.2. Example 2
5.3. Example 3
5.4. Example 4: Fractional Hopfield Network with Iterated State-Dependent Delays
5.5. Remarks and Comments on the Proposed Examples and Graphics
- (a)
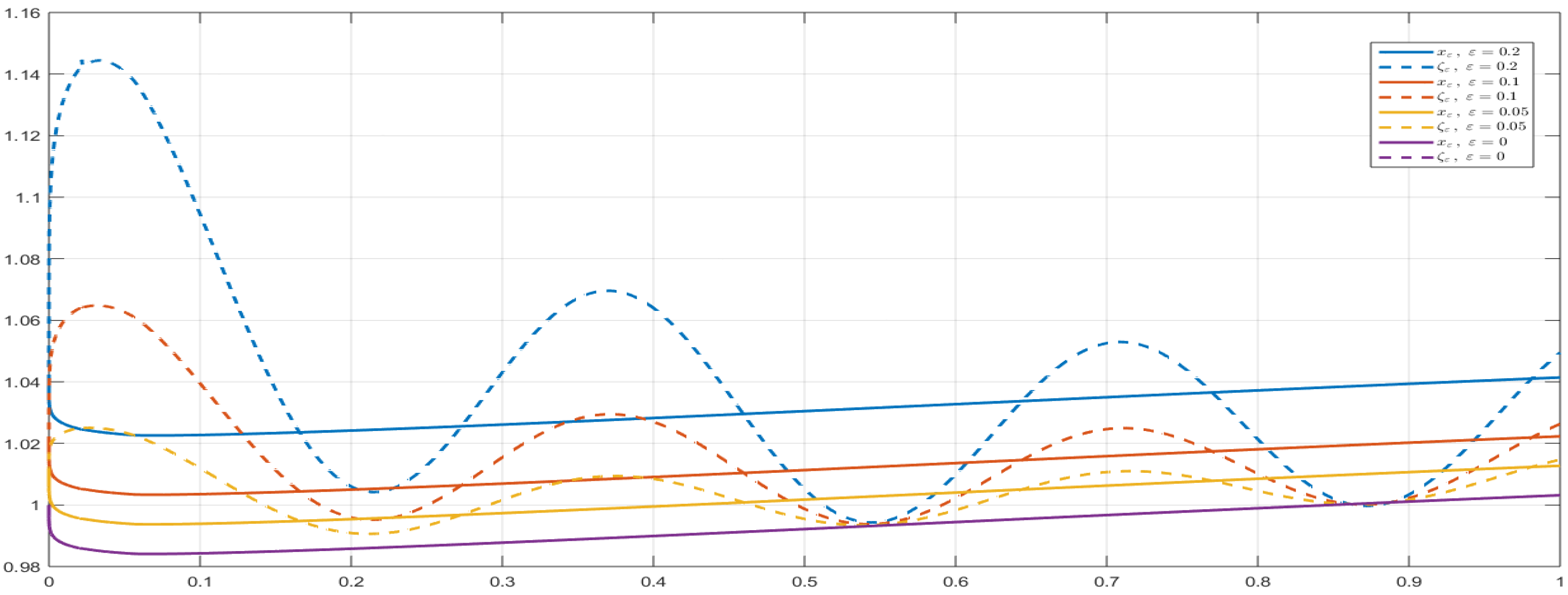
- In the proof of Theorem 4, the perturbation term η is arbitrary, subject only to . For the numerical illustrations in Figure 1, Figure 2, Figure 3, Figure 4, Figure 5 and Figure 6, we fixto construct explicit ε-approximate solutions ζ, where ζ denotes the numerical solution of the perturbed problem. The purple curves in the figures correspond to the reference solution x (), computed via the fractional Adams-Bashforth-Moulton predictor-corrector method [45,46,47] using MATLAB®, Version 9.9 (R2020b), on a laptop Lenovo X1 Carbon 7th Generation Ultrabook, while the colored curves depict perturbed solutions ζ for various values of ε. This choice of η is non-restrictive; any bounded perturbation with is admissible in theory. The sinusoidal form is adopted for clarity of visualization, as it highlights the effect of Ulam–Hyers stability in the plots. For different perturbation levels, the approximate solutions remain uniformly close to the analytic solution x, in full agreement with Theorem 4. All three examples satisfy Assumptions (As.1)–(As.6) and yield a contraction constant , so existence, uniqueness, and Ulam–Hyers stability are guaranteed. The colored curves represent ε-perturbed approximate solutions, which converge uniformly to the reference solution as .
- (b)
- In accordance with Definition 3 and Remark 4 of [27], we illustrate the Ulam–Hyers stability for the ψ–Caputo fractional initial value problem by considering, for each , the ε–dependent initial function () for the differential inequality (10)and the perturbationThe differential inequality is considered for ; therefore, the perturbation does not affect the initial point, and in the IVP setup the change of the initial condition of the Equation (1) is illustrated through the choice of the ε-dependent initial function for the inequality. By Theorem 2, for each choice of the initial function of the inequality, there exists a corresponding solution of the φ–Caputo equation with the same ε–dependent initial function.In the numerical results, the perturbation effect at is not visible in Figure 1, Figure 2, Figure 4 and Figure 6 due to the value of at that point; however, Figure 3, Figure 5, Figure 7 and Figure 8 explicitly confirm the existence of solutions of the equation for each ε-dependent initial function chosen for the inequality.
6. Conclusions
- 1.
- Formulation and rigorous analysis of a new class of neutral fractional functional differential equations with recursively defined, state-dependent delays, governed by the -Caputo derivative.
- 2.
- Establishment of existence and uniqueness results through Krasnosel’skii’s fixed point theorem and refined contraction arguments, supported by new inequalities tailored to the iterated delay structure.
- 3.
- Derivation of explicit, quantitative criteria for Ulam–Hyers stability within this generalized fractional framework. A comparative analysis of geometric and Grönwall-type stability estimates is provided.
- 4.
- Demonstration of the theoretical findings via illustrative examples and computational simulations.
- 5.
- Introduction of a Hopfield neural network model incorporating iterated delays, thereby extending the applicability of the developed theory to a novel domain not previously addressed in the literature.
Author Contributions
Funding
Data Availability Statement
Acknowledgments
Conflicts of Interest
References
- Kilbas, A.A.; Srivastava, H.M.; Trujillo, J.J. Theory and Applications of Fractional Differential Equations; Elsevier Science BV: Amsterdam, The Netherlands, 2006. [Google Scholar]
- Podlubny, I. Fractional Differential Equation; Academic Press: San Diego, CA, USA, 1999. [Google Scholar]
- Diethelm, K. The Analysis of Fractional Differential Equations an Application-Oriented Exposition Using Differential Operators of Caputo Type; Lecture Notes in Mathematics; Springer: Berlin/Heidelberg, Germany, 2010; Volume 2004. [Google Scholar]
- Samko, S.G.; Kilbas, A.A.; Marichev, O.I. Fractional Integrals and Derivatives: Theory and Applications; Gordon and Breach Science Publishers: Amsterdam, The Netherlands, 1993. [Google Scholar]
- Myshkis, A. Linear Differential Equations with Retarded Argument; Nauka: Moscow, Russia, 1972. (In Russian) [Google Scholar]
- Hale, J.; Lunel, S. Introduction to Functional Differential Equations; Springer Science & Business Media: New York, NY, USA, 1993. [Google Scholar]
- Qayyum, M.; Fatima, Q.; Akgül, A.; Hassani, M.K. Modeling and analysis of dengue transmission in fuzzy-fractional framework: A hybrid residual power series approach. Sci. Rep. 2024, 14, 30706. [Google Scholar] [CrossRef]
- Ye, H.; Gao, J.; Ding, Y. A generalized Grönwall inequality and its application to a fractional differential equation. J. Math. Anal. Appl. 2007, 328, 1075–1081. [Google Scholar] [CrossRef]
- Etemad, S.; Ntouyas, S.K.; Stamova, I.; Tariboon, J. On Solutions of Two Post-Quantum Fractional Generalized Sequential Navier Problems: An Application on the Elastic Beam. Fractal Fract. 2024, 8, 236. [Google Scholar] [CrossRef]
- Raghavendran, P.; Gunasekar, T.; Ahmad, J.; Emam, W. A Study on the Existence, Uniqueness, and Stability of Fractional Neutral Volterra-Fredholm Integro-Differential Equations with State-Dependent Delay. Fractal Fract. 2025, 9, 20. [Google Scholar] [CrossRef]
- Xiong, Y.; Elbukhari, A.B.; Dong, Q. Existence and Hyers–Ulam Stability Analysis of Nonlinear Multi-Term Ψ-Caputo Fractional Differential Equations Incorporating Infinite Delay. Fractal Fract. 2025, 9, 140. [Google Scholar] [CrossRef]
- Agarwal, R.; Hristova, S.; O’Regan, D. Stability concepts of Riemann-Liouville fractional-order delay nonlinear systems. Mathematics 2021, 9, 435. [Google Scholar] [CrossRef]
- Kiskinov, H.; Madamlieva, E.; Zahariev, A. Hyers-Ulam and Hyers-Ulam-Rassias stability for Linear Fractional Systems with Riemann-Liouville Derivatives and Distributed Delays. Axioms 2023, 12, 637. [Google Scholar] [CrossRef]
- Konstantinov, M.; Bainov, D. Theorems of existence and uniqueness of the solution of certain differential equations of superneutral type. Publ. Inst. Math. 1972, 14, 75–82. (In Russian) [Google Scholar]
- Konstantinov, M.; Bainov, D. Theorems for existence and uniqueness of the solution for systems of differential equations of superneutral type with iterated delay. Bull. Math. Soc. Sci. Math. Roum. 1976, 20, 151–158. Available online: https://www.jstor.org/stable/43680198 (accessed on 18 November 2025). (In Russian).
- Konstantinov, M. Functional differential equations with iterated delay—A survey. Int. J. Pure Appl. Math. 2016, 109, 129–139. [Google Scholar] [CrossRef]
- Tunç, O.; Tunç, C. Ulam stabilities of nonlinear iterative integro-differential equations. Rev. Real Acad. Cienc. Exactas Fis. Nat. Ser. A Mat. 2023, 117, 118. [Google Scholar] [CrossRef]
- Madamlieva, E.; Konstantinov, M. On the Existence and Uniqueness of Solutions for Neutral-Type Caputo Fractional Differential Equations with Iterated Delays: Hyers-Ulam-Mittag-Leffler Stability. Mathematics 2025, 13, 484. [Google Scholar] [CrossRef]
- Vu, H. A study on Ψ-fractional iterative differential equations with a state-dependent nonlocal condition. J. Appl. Math. Comput. 2025, 71, 6231–6250. [Google Scholar] [CrossRef]
- Agarwal, R.P.; Hristova, S.; O’Regan, D. Ulam Stability for Boundary Value Problems of Differential Equations—Main Misunderstandings and How to Avoid Them. Mathematics 2024, 12, 1626. [Google Scholar] [CrossRef]
- Agarwal, R.P.; Hristova, S.; O’Regan, D. Ulam stability for nonlinear boundary value problems for impulsive Caputo type fractional delay differential equations. Bound. Value Probl. 2025, 2025, 54. [Google Scholar] [CrossRef]
- Boulares, H.; Ardjouni, A.; Laskri, Y. Existence and uniqueness of solutions to fractional order nonlinear neutral differential equations. Appl. Math. E-Notes 2018, 18, 25–33. [Google Scholar]
- Agarwal, R.P.; Zhou, Y.; He, Y. Existence of fractional neutral functional differential equations. Comput. Math. Appl. 2010, 59, 1095–1100. [Google Scholar] [CrossRef]
- Almeida, R. A Caputo fractional derivative of a function with respect to another function. Commun. Nonlinear Sci. Numer. Simul. 2017, 44, 460–481. [Google Scholar] [CrossRef]
- Nabil, T. On Nonlinear Fractional Neutral Differential Equation with the Ψ-Caputo Fractional Derivative. J. Math. Anal. Appl. 2020, 43, 99–112. [Google Scholar] [CrossRef]
- Adjimi, N.; Boutiara, A.; Abdo, M.S.; Benbachir, M. Existence results for nonlinear neutral generalized Caputo fractional differential equations. J. Pseudo-Differ. Oper. Appl. 2021, 12, 25. [Google Scholar] [CrossRef]
- Hristova, S. Ulam-type stability for Caputo-type fractional delay differential equations. Demonstr. Math. 2025, 58, 20250112. [Google Scholar] [CrossRef]
- Kumar, J.; Murugan, V.D.; Hymavathi, M.; Syed Ali, M.; Thakur, G.K. Finite-time synchronization of neutral type fractional-order bidirectional associative memory neural networks with delays via adaptive feedback control strategy. Discrete Contin. Dyn. Syst. S 2025, 18, 2448–2479. [Google Scholar] [CrossRef]
- Zheng, G.; Zhang, N.; Lv, S. The application of fractional derivative viscoelastic models in the finite element method: Taking several common models as examples. Fractal Fract. 2024, 8, 103. [Google Scholar] [CrossRef]
- Xu, W.; Zhu, S.; Fang, X.; Wang, W. Adaptive anti-synchronization of memristor-based complex-valued neural networks with time delays. Phys. A 2019, 535, 122427. [Google Scholar] [CrossRef]
- Popa, C.-A. Neutral-type, leakage, and mixed delays in fractional-order neural networks: Asymptotic synchronization analysis. AIMS Math. 2023, 8, 15969–15992. [Google Scholar] [CrossRef]
- Gao, X.Y.; Liu, J.G.; Wang, G.W. Inhomogeneity, magnetic auto-Bäcklund transformations and magnetic solitons for a generalized variable-coefficient Kraenkel–Manna–Merle system in a deformed ferrite. Appl. Math. Lett. 2025, 171, 109615. [Google Scholar] [CrossRef]
- Mainardi, F. Fractional Calculus and Waves in Linear Viscoelasticity: An Introduction to Mathematical Models; Imperial College Press: London, UK, 2010. [Google Scholar] [CrossRef]
- Gao, X.Y.; Zhao, W.G.; Zuo, D.W. Bilinear forms, bilinear auto-Bäcklund transformations and similarity reductions for a (3+1)-dimensional generalized variable-coefficient Korteweg-de Vries-Calogero-Bogoyavlenskii-Schiff equation in quantum and fluid mechanics. Qual. Theory Dyn. Syst. 2025, 24, 234. [Google Scholar] [CrossRef]
- He, J.W.; Yu, Z.C. Existence for neutral fractional differential equations in composite relaxation processes. Appl. Math. J. Chin. Univ. 2025, 40, 343–358. [Google Scholar] [CrossRef]
- Gao, X.Y. Symbolic computation on a (2+1)-dimensional variable-coefficient Sawada–Kotera system in plasma physics and fluid dynamics. Appl. Math. Lett. 2025, 159, 109262. [Google Scholar] [CrossRef]
- Wang, Q.; Zhu, S. On the generalized Grönwall inequalities involving ψ-fractional integral operator with applications. AIMS Math. 2022, 7, 20370–20380. [Google Scholar] [CrossRef]
- Sousa, J.V.D.C.; De Oliveira, E.C. A Grönwall inequality and the Cauchy-type problem by means of ψ-Hilfer operator. arXiv 2017, arXiv:1709.03634. [Google Scholar] [CrossRef]
- Ren, J.; Zhai, C. Stability analysis of generalized neutral fractional differential systems with time delays. Appl. Math. Lett. 2021, 116, 106987. [Google Scholar] [CrossRef]
- Jiang, D.; Bai, C. On coupled Grönwall inequalities involving a ψ-fractional integral operator with its applications. AIMS Math. 2022, 7, 7728–7741. [Google Scholar] [CrossRef]
- Bogachev, V.; Smolyanov, O. Real and Functional Analysis; Springer: Cham, Switzerland, 2020. [Google Scholar] [CrossRef]
- Smart, D.R. Fixed Point Theorems; Cambridge University Press: New York, NY, USA, 1980; ISBN 0521298339. Available online: https://www.scribd.com/document/696328426/Cambridge-Tracts-in-Mathematics-D-R-Smart-Fixed-Point-Theorems-Cambridge-University-Press-1980 (accessed on 18 November 2025).
- Georgiev, V.; Tarulli, M.; Venkov, G. Local uniqueness of ground states for the generalized Choquard equation. Calc. Var. Partial Differ. Equ. 2024, 63, 135. [Google Scholar] [CrossRef]
- Jarad, F.; Abdeljawad, T.; Baleanu, D. On the generalized fractional derivatives and their Caputo modification. J. Nonlinear Sci. Appl. 2017, 10, 5. [Google Scholar] [CrossRef]
- Garrappa, R. Predictor-Corrector for FDEs. MATLAB Central File Exchange. Available online: https://www.mathworks.com/matlabcentral/fileexchange/32918-predictor-corrector-for-fdes (accessed on 1 October 2025).
- Bhalekar, S.; Daftardar-Gejji, V. A Predictor-Corrector Scheme For Solving Nonlinear Delay Differential Equations Of Fractional Order. J. Fract. Calc. Appl. 2011, 1, 1–9. [Google Scholar]
- Songsanga, D.; Sa Ngiamsunthorn, P. A modified predictor–corrector scheme with graded mesh for numerical solutions of nonlinear Ψ-Caputo fractional-order systems. Open Math. 2025, 23, 20240127. [Google Scholar] [CrossRef]
- Cuccagna, S.; Tarulli, M. On stabilization of small solutions in the nonlinear Dirac equation with a trapping potential. J. Math. Anal. Appl. 2016, 436, 1332–1368. [Google Scholar] [CrossRef]
- Tarulli, M. H2-scattering for systems of weakly coupled fourth-order NLS Equations in low space dimensions. Potential Anal. 2019, 51, 291–313. [Google Scholar] [CrossRef]








| Example | T | ||||
|---|---|---|---|---|---|
| Example 1 (Section 5.1) | 1 | 0.626 | 1.110 | 3.018 | 7.283 |
| 2 | 0.782 | 1.960 | 7.317 | 148.306 | |
| Example 2 (Section 5.2) | 1 | 0.519 | 0.920 | 2.345 | 4.750 |
| 2 | 0.869 | 3.081 | 17.242 | ||
| Example 3 (Section 5.3) | 1 | 0.439 | 0.778 | 2.011 | 3.571 |
| 2 | 0.461 | 1.157 | 2.963 | 11.542 | |
| 3 | 0.479 | 1.470 | 3.750 | 33.272 | |
| Example 4 (Section 5.4) | 1 | 0.294 | 0.522 | 1.599 | 2.280 |
| 2 | 0.324 | 0.646 | 1.875 | 3.149 |
Disclaimer/Publisher’s Note: The statements, opinions and data contained in all publications are solely those of the individual author(s) and contributor(s) and not of MDPI and/or the editor(s). MDPI and/or the editor(s) disclaim responsibility for any injury to people or property resulting from any ideas, methods, instructions or products referred to in the content. |
© 2025 by the authors. Licensee MDPI, Basel, Switzerland. This article is an open access article distributed under the terms and conditions of the Creative Commons Attribution (CC BY) license (https://creativecommons.org/licenses/by/4.0/).
Share and Cite
Agarwal, R.P.; Konstantinov, M.M.; Madamlieva, E.B. Ulam-Type Stability and Krasnosel’skii’s Fixed Point Approach for φ-Caputo Fractional Neutral Differential Equations with Iterated State-Dependent Delays. Fractal Fract. 2025, 9, 753. https://doi.org/10.3390/fractalfract9120753
Agarwal RP, Konstantinov MM, Madamlieva EB. Ulam-Type Stability and Krasnosel’skii’s Fixed Point Approach for φ-Caputo Fractional Neutral Differential Equations with Iterated State-Dependent Delays. Fractal and Fractional. 2025; 9(12):753. https://doi.org/10.3390/fractalfract9120753
Chicago/Turabian StyleAgarwal, Ravi P., Mihail M. Konstantinov, and Ekaterina B. Madamlieva. 2025. "Ulam-Type Stability and Krasnosel’skii’s Fixed Point Approach for φ-Caputo Fractional Neutral Differential Equations with Iterated State-Dependent Delays" Fractal and Fractional 9, no. 12: 753. https://doi.org/10.3390/fractalfract9120753
APA StyleAgarwal, R. P., Konstantinov, M. M., & Madamlieva, E. B. (2025). Ulam-Type Stability and Krasnosel’skii’s Fixed Point Approach for φ-Caputo Fractional Neutral Differential Equations with Iterated State-Dependent Delays. Fractal and Fractional, 9(12), 753. https://doi.org/10.3390/fractalfract9120753

