New Jacobi Galerkin Operational Matrices of Derivatives: A Highly Accurate Method for Solving Two-Point Fractional-Order Nonlinear Boundary Value Problems with Robin Boundary Conditions
Abstract
1. Introduction
- (i)
- Constructing a new class of basis polynomials, named Robin-Modified General Shifted Jacobi (RMGSJ) polynomials, that satisfy the HRBCs.
- (ii)
- Establishing OMs for Ods and Fds of RMGSJ polynomials.
- (iii)
- Constructing a numerical algorithm for solving FDE (1) with HRBCs based on SCM and the introduced OMs of Ods and Fds.
2. Basic Definition of LCFD
3. An Overview on JPs and GJPs
4. Robin-Modified General Shifted Jacobi Polynomials
5. Operational Matrix of Derivatives of RMGSJ Polynomials
6. A Collocation Algorithm for Handling (1) and (2)
6.1. Homogeneous Form for the RBCs (2)
6.2. Nonhomogeneous Boundary Conditions
| Algorithm 1: RGSJCOMM algorithm |
| Step 1. Given , and N. |
| Step 2. Define the basis , the vectors and compute the |
| elements of matrices . |
| Step 3. Evaluate , and |
| Step 4. Define as in Equation (43). |
| Step 5. List defined in Equation (44). |
| Step 6. Use Mathematica’s built-in numerical solver to obtain the solution to the |
| system of equations in [Output 5]. |
| Step 7. Evaluate defined in Equation (41) (in the case of HRBCs). |
| Step 8. Evaluate defined in Equation (48) (in the case of nonhomogeneous RBCs). |
7. Convergence and Error Analysis
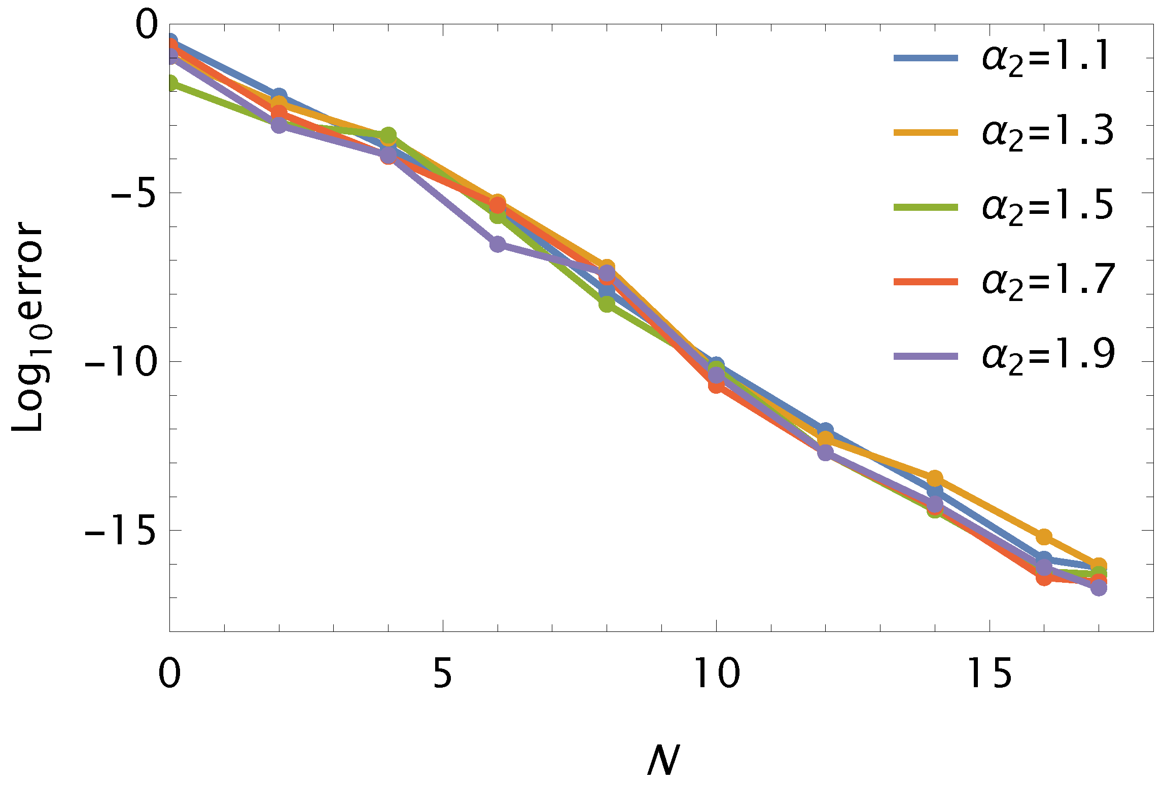
8. Numerical Simulations
9. Conclusions
Funding
Data Availability Statement
Conflicts of Interest
Appendix A
References
- Baillie, R. Long memory processes and fractional integration in econometrics. J. Econom. 1996, 73, 5–59. [Google Scholar] [CrossRef]
- Mainardi, F. Fractional calculus: Some basic problems in continuum and statistical mechanics. In Fractals and Fractional Calculus in Continuum Mechanics; Springer: New York, NY, USA, 1997. [Google Scholar]
- Chen, W.; Sun, H.; Zhang, X.; Korošak, D. Anomalous diffusion modeling by fractal and fractional derivatives. Comput. Math. Appl. 2010, 59, 1754–1758. [Google Scholar] [CrossRef]
- Hong, D.P.; Kim, Y.M.; Wang, J.Z. A new approach for the analysis solution of dynamic systems containing fractional derivative. J. Mech. Sci. Technol. 2006, 20, 658–667. [Google Scholar] [CrossRef]
- Kaczorek, T. Positive linear systems with different fractional orders. Bull. Pol. Acad. Sci. Tech. Sci. 2010, 58, 453–458. [Google Scholar] [CrossRef]
- Cong, N.; Doan, T.; Tuan, H. Asymptotic stability of linear fractional systems with constant coefficients and small time-dependent perturbations. Vietnam J. Math. 2018, 46, 665–680. [Google Scholar] [CrossRef]
- Mahmudov, N. Approximate controllability of semilinear deterministic and stochastic evolution equations in abstract spaces. SIAM J. Control Optim. 2003, 42, 1604–1622. [Google Scholar] [CrossRef]
- Ahmadova, A.; Mahmudov, N. Existence and uniqueness results for a class of fractional stochastic neutral differential equations. Chaos Soliton Fract. 2020, 139, 110253. [Google Scholar] [CrossRef]
- Huseynov, I.; Mahmudov, N.I. Delayed analogue of three-parameter Mittag-Leffler functions and their applications to Caputo-type fractional time delay differential equations. Math. Method. Appl. Sci. 2024, 47, 11019–11043. [Google Scholar] [CrossRef]
- Bonfanti, A.; Fouchard, J.; Khalilgharibi, N.; Charras, G.; Kabla, A. A unified rheological model for cells and cellularised materials. R. Soc. Open Sci. 2020, 7, 190920. [Google Scholar] [CrossRef]
- Bagley, R.; Torvik, P. Fractional calculus-a different approach to the analysis of viscoelastically damped structures. AIAA J. 1983, 21, 741–748. [Google Scholar] [CrossRef]
- Torvik, P.J.; Bagley, R.L. On the Appearance of the Fractional Derivative in the Behavior of Real Materials. J. Appl. Mech. 1984, 51, 294–298. [Google Scholar] [CrossRef]
- Ahmed, H. Solutions of 2nd-order linear differential equations subject to Dirichlet boundary conditions in a Bernstein polynomial basis. J. Egypt. Math. Soc. 2014, 22, 227–237. [Google Scholar] [CrossRef]
- Izadi, M.; Afshar, M. Solving the Basset equation via Chebyshev collocation and LDG methods. J. Math. Model. 2021, 9, 61–79. [Google Scholar]
- Izadi, M.; Zeidan, D. A convergent hybrid numerical scheme for a class of nonlinear diffusion equations. Comput. Appl. Math. 2022, 41, 318. [Google Scholar] [CrossRef]
- Izadi, M. Numerical approximation of Hunter-Saxton equation by an efficient accurate approach on long time domains. UPB Sci. Bull. Ser. A 2021, 83, 291–300. [Google Scholar]
- Hafez, R.; Youssri, Y. Fully Jacobi–Galerkin algorithm for two-dimensional time-dependent PDEs arising in physics. Int. J. Mod. Phys. C 2024, 35, 2450034. [Google Scholar] [CrossRef]
- Abd-Elhameed, W.; Ahmed, H.; Zaky, M.; Hafez, R. A new shifted generalized Chebyshev approach for multi-dimensional sinh-Gordon equation. Phys. Scr. 2024, 99, 095269. [Google Scholar] [CrossRef]
- Bazhlekova, E. Properties of the fundamental and the impulse-response solutions of multi-term fractional differential equations. Complex Anal. Appl. 2013, 13, 55–64. [Google Scholar]
- Yüzbaşı, Ş.; Izadi, M. Bessel-quasilinearization technique to solve the fractional-order HIV-1 infection of CD4+ T-cells considering the impact of antiviral drug treatment. Appl. Math. Comput. 2022, 431, 127319. [Google Scholar] [CrossRef]
- Abd-Elhameed, W.; Abdelkawy, M.; Alqubori, O.; Atta, A. An accurate tau-based spectral algorithm for the time fractional bioheat transfer model. Bound. Value Probl. 2025, 2025, 124. [Google Scholar] [CrossRef]
- Napoli, A.; Abd-Elhameed, W.M. A new collocation algorithm for solving even-order boundary value problems via a novel matrix method. Mediterr. J. Math. 2017, 14, 170. [Google Scholar] [CrossRef]
- Ahmed, H. Highly Accurate Method for Boundary Value Problems with Robin Boundary Conditions. J. Nonlinear Math. Phys. 2023, 30, 1239–1263. [Google Scholar] [CrossRef]
- Ahmed, H. Highly Accurate Method for a Singularly Perturbed Coupled System of Convection–Diffusion Equations with Robin Boundary Conditions. J. Nonlinear Math. Phys. 2024, 31, 17. [Google Scholar] [CrossRef]
- Abd-Elhameed, W.; Youssri, Y. Spectral solutions for fractional differential equations via a novel Lucas operational matrix of fractional derivatives. Rom. J. Phys. 2016, 61, 795–813. [Google Scholar]
- Balaji, S.; Hariharan, G. An efficient operational matrix method for the numerical solutions of the fractional Bagley–Torvik equation using wavelets. J. Math. Chem. 2019, 57, 1885–1901. [Google Scholar] [CrossRef]
- Ahmed, H. Enhanced shifted Jacobi operational matrices of derivatives: Spectral algorithm for solving multiterm variable-order fractional differential equations. Bound. Value Probl. 2023, 2023, 108. [Google Scholar] [CrossRef]
- Ahmed, H. A New First Finite Class of Classical Orthogonal Polynomials Operational Matrices: An Application for Solving Fractional Differential Equations. Contemp. Math. 2023, 4, 974–994. [Google Scholar] [CrossRef]
- Abd-Elhameed, W.; Ahmed, H. Spectral solutions for the time-fractional heat differential equation through a novel unified sequence of Chebyshev polynomials. Aims Math. 2024, 9, 2137–2166. [Google Scholar] [CrossRef]
- Loh, J.R.; Phang, C. Numerical solution of Fredholm fractional integro-differential equation with Right-sided Caputo’s derivative using Bernoulli polynomials operational matrix of fractional derivative. Mediterr. J. Math. 2019, 16, 28. [Google Scholar] [CrossRef]
- Kilbas, A.; Srivastava, H.; Trujillo, J. Theory and Applications of Fractional Differential Equations; Elsevier: Amsterdam, The Netherlands, 2006; Volume 204. [Google Scholar]
- Szegö, G. Orthogonal Polynomials, 4th ed.; American Mathematical Society: Providence, RI, USA, 1975; Volume XXIII. [Google Scholar]
- Luke, Y. Mathematical Functions and Their Approximations; Academic Press: London, UK, 1975. [Google Scholar]
- Jeffrey, A.; Dai, H. Handbook of Mathematical Formulas and Integrals, 4th ed.; Elsevier: Amsterdam, The Netherlands, 2008. [Google Scholar]
- Kim, H.; Lee, J.; Jang, B. An efficient numerical approach for solving two-point fractional order nonlinear boundary value problems with Robin boundary conditions. Adv. Differ. Equ. 2021, 2021, 193. [Google Scholar] [CrossRef]
- Cen, Z.; Huang, J.; Xu, A. An efficient numerical method for a two-point boundary value problem with a Caputo fractional derivative. J. Comput. Appl. Math. 2018, 336, 1–7. [Google Scholar] [CrossRef]






| Errors | 0 | 3 | 6 | 9 | 12 | 15 | 18 | 19 | |||
|---|---|---|---|---|---|---|---|---|---|---|---|
| (0.9,1.1) | 0 | 0 | 1.19 × 10−01 | 2.72 × 10−04 | 3.15 × 10−07 | 3.15 × 10−10 | 2.17 × 10−13 | 2.27 × 10−15 | 5.16 × 10−17 | 2.23 × 10−17 | |
| 1.11 × 10−01 | 2.41 × 10−04 | 3.05 × 10−07 | 3.12 × 10−10 | 2.12 × 10−13 | 2.25 × 10−15 | 5.02 × 10−17 | 2.13 × 10−17 | ||||
| CPU Time | 0.119 | 0.375 | 0.551 | 0.715 | 0.912 | 1.107 | 1.312 | 1.362 | |||
| 1/2 | 1/2 | 2.29 × 10−01 | 1.79 × 10−04 | 2.55 × 10−07 | 4.25 × 10−10 | 3.77 × 10−13 | 3.57 × 10−15 | 4.66 × 10−17 | 1.23 × 10−17 | ||
| 2.19 × 10−01 | 1.72 × 10−04 | 2.45 × 10−07 | 4.20 × 10−10 | 3.67 × 10−13 | 3.50 × 10−15 | 4.61 × 10−17 | 1.12 × 10−17 | ||||
| CPU Time | 0.125 | 0.385 | 0.562 | 0.727 | 0.922 | 1.110 | 1.320 | 1.371 | |||
| −1/2 | −1/2 | 3.09 × 10−01 | 2.59 × 10−04 | 1.25 × 10−07 | 3.35 × 10−10 | 4.17 × 10−13 | 2.51 × 10−15 | 6.12 × 10−17 | 2.43 × 10−17 | ||
| 3.00 × 10−01 | 2.42 × 10−04 | 1.12 × 10−07 | 3.25 × 10−10 | 4.10 × 10−13 | 2.42 × 10−15 | 6.03 × 10−17 | 2.33 × 10−17 | ||||
| CPU Time | 0.117 | 0.361 | 0.563 | 0.709 | 0.909 | 1.111 | 1.322 | 1.353 | |||
| (0.7,1.3) | 1.1 | 0.5 | 2.19 × 10−01 | 3.42 × 10−04 | 3.75 × 10−07 | 4.65 × 10−10 | 3.32 × 10−13 | 3.41 × 10−15 | 3.32 × 10−16 | 1.63 × 10−16 | |
| 2.15 × 10−01 | 3.32 × 10−04 | 3.51 × 10−07 | 4.51 × 10−10 | 3.21 × 10−13 | 3.31 × 10−15 | 3.21 × 10−16 | 1.51 × 10−16 | ||||
| CPU Time | 0.131 | 0.395 | 0.582 | 0.736 | 0.930 | 1.121 | 1.333 | 1.370 | |||
| 0.5 | 1.1 | 3.59 × 10−01 | 3.51 × 10−04 | 4.25 × 10−07 | 3.45 × 10−10 | 2.61 × 10−13 | 2.51 × 10−15 | 4.12 × 10−16 | 2.73 × 10−16 | ||
| 3.45 × 10−01 | 3.40 × 10−04 | 4.21 × 10−07 | 3.37 × 10−10 | 2.52 × 10−13 | 2.42 × 10−15 | 4.00 × 10−16 | 2.64 × 10−16 | ||||
| CPU Time | 0.199 | 0.401 | 0.599 | 0.781 | 0.960 | 1.141 | 1.339 | 1.387 | |||
| 1.1 | 1.1 | 4.19 × 10−01 | 3.32 × 10−04 | 1.45 × 10−07 | 5.05 × 10−10 | 3.66 × 10−13 | 1.61 × 10−15 | 3.74 × 10−17 | 1.62 × 10−17 | ||
| 4.08 × 10−01 | 3.22 × 10−04 | 1.41 × 10−07 | 4.95 × 10−10 | 3.55 × 10−13 | 1.52 × 10−15 | 3.66 × 10−17 | 1.42 × 10−17 | ||||
| CPU Time | 0.189 | 0.382 | 0.549 | 0.734 | 0.937 | 1.135 | 1.335 | 1.402 | |||
| (0.5,1.5) | 0.7 | 0.7 | 2.79 × 10−01 | 1.62 × 10−04 | 3.55 × 10−07 | 4.35 × 10−10 | 2.36 × 10−13 | 2.78 × 10−15 | 2.14 × 10−17 | 1.65 × 10−17 | |
| 2.70 × 10−01 | 1.45 × 10−04 | 3.49 × 10−07 | 4.29 × 10−10 | 2.31 × 10−13 | 2.72 × 10−15 | 2.01 × 10−17 | 1.61 × 10−17 | ||||
| CPU Time | 0.149 | 0.409 | 0.601 | 0.795 | 0.961 | 1.141 | 1.419 | 1.412 | |||
| 0.3 | 0.3 | 3.99 × 10−01 | 2.82 × 10−04 | 1.75 × 10−07 | 2.95 × 10−10 | 3.98 × 10−13 | 3.99 × 10−15 | 4.24 × 10−17 | 1.45 × 10−17 | ||
| 3.81 × 10−01 | 2.67 × 10−04 | 1.62 × 10−07 | 2.85 × 10−10 | 3.91 × 10−13 | 3.90 × 10−15 | 4.15 × 10−17 | 1.40 × 10−17 | ||||
| CPU Time | 0.121 | 0.380 | 0.559 | 0.735 | 0.936 | 1.121 | 1.333 | 1.392 | |||
| 1 | 1 | 1.29 × 10−01 | 3.88 × 10−04 | 2.79 × 10−07 | 3.87 × 10−10 | 2.99 × 10−13 | 2.29 × 10−15 | 6.34 × 10−17 | 2.15 × 10−17 | ||
| 1.19 × 10−01 | 3.80 × 10−04 | 2.71 × 10−07 | 3.82 × 10−10 | 2.89 × 10−13 | 2.20 × 10−15 | 6.23 × 10−17 | 2.05 × 10−17 | ||||
| CPU Time | 0.125 | 0.402 | 0.592 | 0.798 | 0.984 | 1.115 | 1.321 | 1.382 | |||
| (0.3,1.7) | 1 | 0 | 4.19 × 10−01 | 2.38 × 10−04 | 3.65 × 10−07 | 2.77 × 10−10 | 4.54 × 10−13 | 3.99 × 10−15 | 4.21 × 10−16 | 1.22 × 10−16 | |
| 4.07 × 10−01 | 2.27 × 10−04 | 3.57 × 10−07 | 2.67 × 10−10 | 4.45 × 10−13 | 3.88 × 10−15 | 4.11 × 10−17 | 1.17 × 10−17 | ||||
| CPU Time | 0.130 | 0.415 | 0.611 | 0.801 | 1.105 | 1.217 | 1.422 | 1.521 | |||
| 0 | 1 | 1.88 × 10−01 | 3.58 × 10−04 | 2.72 × 10−07 | 3.66 × 10−10 | 2.41 × 10−13 | 2.84 × 10−15 | 5.31 × 10−16 | 3.42 × 10−16 | ||
| 1.75 × 10−01 | 3.51 × 10−04 | 2.63 × 10−07 | 3.55 × 10−10 | 2.39 × 10−13 | 2.77 × 10−15 | 5.25 × 10−17 | 3.37 × 10−17 | ||||
| CPU Time | 0.129 | 0.388 | 0.573 | 0.781 | 0.966 | 1.130 | 1.339 | 1.382 | |||
| 1.5 | 1.5 | 3.24 × 10−01 | 2.72 × 10−04 | 4.12 × 10−07 | 2.55 × 10−10 | 3.87 × 10−13 | 1.48 × 10−15 | 3.22 × 10−17 | 1.22 × 10−17 | ||
| 3.20 × 10−01 | 2.66 × 10−04 | 4.01 × 10−07 | 2.45 × 10−10 | 3.78 × 10−13 | 1.41 × 10−15 | 3.12 × 10−17 | 1.13 × 10−17 | ||||
| CPU Time | 0.130 | 0.403 | 0.607 | 0.888 | 0.990 | 1.121 | 1.341 | 1.377 |
| (0.9,1.1) | (0.7,1.3) | (0.5,1.5) | (0.3,1.7) | (0.1,1.9) | |
|---|---|---|---|---|---|
| RGSJCOMM () | 1.45 × 10−17 | 1.40 × 10−17 | 5.31 × 10−17 | 5.86 × 10−17 | 4.32 × 10−17 |
| [35] () | 5.39 × 10−11 | 2.12 × 10−11 | 2.58 × 10−11 | 2.75 × 10−11 | 2.44 × 10−11 |
| Errors | 0 | 2 | 4 | 6 | 8 | 10 | 12 | 14 | 16 | 17 | |||
|---|---|---|---|---|---|---|---|---|---|---|---|---|---|
| 1.1 | 0 | 0 | 2.39 × 10−01 | 1.52 × 10−02 | 2.25 × 10−04 | 4.21 × 10−06 | 1.37 × 10−08 | 3.25 × 10−10 | 4.26 × 10−12 | 1.20 × 10−14 | 3.33 × 10−16 | 1.21 × 10−16 | |
| 2.31 × 10−01 | 1.48 × 10−02 | 2.15 × 10−04 | 4.14 × 10−06 | 1.11 × 10−08 | 3.12 × 10−10 | 4.17 × 10−12 | 1.02 × 10−14 | 3.23 × 10−16 | 1.15 × 10−16 | ||||
| 1/2 | 1/2 | 3.12 × 10−01 | 3.72 × 10−02 | 1.55 × 10−04 | 5.23 × 10−06 | 3.57 × 10−08 | 2.95 × 10−10 | 2.96 × 10−12 | 2.27 × 10−14 | 4.13 × 10−16 | 7.21 × 10−17 | ||
| 3.04 × 10−01 | 3.53 × 10−02 | 1.44 × 10−04 | 5.13 × 10−06 | 3.42 × 10−08 | 2.64 × 10−10 | 2.82 × 10−12 | 2.13 × 10−14 | 4.02 × 10−16 | 7.07 × 10−17 | ||||
| −1/2 | −1/2 | 4.31 × 10−01 | 1.81 × 10−02 | 4.95 × 10−04 | 6.53 × 10−06 | 2.28 × 10−08 | 3.62 × 10−10 | 3.82 × 10−12 | 3.77 × 10−14 | 2.33 × 10−16 | 1.11 × 10−16 | ||
| 4.22 × 10−01 | 1.72 × 10−02 | 4.79 × 10−04 | 6.39 × 10−06 | 2.18 × 10−08 | 3.41 × 10−10 | 3.81 × 10−12 | 3.53 × 10−14 | 2.22 × 10−16 | 1.01 × 10−16 | ||||
| 1.3 | 1.1 | 0.5 | 2.51 × 10−01 | 3.91 × 10−02 | 2.82 × 10−04 | 3.43 × 10−06 | 3.88 × 10−08 | 1.51 × 10−10 | 4.92 × 10−12 | 4.52 × 10−14 | 3.44 × 10−16 | 2.23 × 10−16 | |
| 2.49 × 10−01 | 3.88 × 10−02 | 2.65 × 10−04 | 3.32 × 10−06 | 3.77 × 10−08 | 1.47 × 10−10 | 4.64 × 10−12 | 4.32 × 10−14 | 3.24 × 10−16 | 8.14 × 10−17 | ||||
| 0.5 | 1.1 | 4.41 × 10−01 | 1.19 × 10−02 | 3.28 × 10−04 | 4.44 × 10−06 | 2.59 × 10−08 | 2.98 × 10−10 | 3.88 × 10−12 | 2.41 × 10−14 | 3.14 × 10−16 | 2.03 × 10−16 | ||
| 4.30 × 10−01 | 1.05 × 10−02 | 3.15 × 10−04 | 4.22 × 10−06 | 2.45 × 10−08 | 2.84 × 10−10 | 3.76 × 10−12 | 2.32 × 10−14 | 3.02 × 10−16 | 2.99 × 10−16 | ||||
| 1.1 | 1.1 | 1.31 × 10−01 | 3.23 × 10−02 | 2.18 × 10−04 | 1.35 × 10−06 | 1.45 × 10−08 | 3.87 × 10−10 | 2.45 × 10−12 | 4.25 × 10−14 | 4.35 × 10−16 | 2.44 × 10−16 | ||
| 1.27 × 10−01 | 3.12 × 10−02 | 2.01 × 10−04 | 1.15 × 10−06 | 1.41 × 10−08 | 3.74 × 10−10 | 2.34 × 10−12 | 4.17 × 10−14 | 4.26 × 10−16 | 1.74 × 10−16 | ||||
| 1.5 | 0.7 | 0.7 | 4.01 × 10−01 | 2.88 × 10−02 | 1.68 × 10−04 | 5.74 × 10−06 | 3.15 × 10−08 | 2.78 × 10−10 | 1.65 × 10−12 | 3.55 × 10−14 | 5.33 × 10−16 | 3.14 × 10−16 | |
| 3.88 × 10−01 | 2.78 × 10−02 | 1.62 × 10−04 | 5.65 × 10−06 | 3.06 × 10−08 | 2.67 × 10−10 | 1.45 × 10−12 | 3.29 × 10−14 | 5.26 × 10−16 | 2.99 × 10−16 | ||||
| 0.3 | 0.3 | 5.11 × 10−01 | 3.24 × 10−02 | 3.99 × 10−04 | 6.64 × 10−06 | 4.31 × 10−08 | 1.68 × 10−10 | 2.27 × 10−12 | 4.61 × 10−14 | 4.73 × 10−16 | 2.24 × 10−16 | ||
| 4.89 × 10−01 | 3.05 × 10−02 | 3.71 × 10−04 | 6.51 × 10−06 | 4.25 × 10−08 | 1.55 × 10−10 | 2.21 × 10−12 | 4.56 × 10−14 | 4.65 × 10−16 | 2.20 × 10−16 | ||||
| 1 | 1 | 2.36 × 10−01 | 2.44 × 10−02 | 6.56 × 10−04 | 2.46 × 10−06 | 2.12 × 10−08 | 3.82 × 10−10 | 3.72 × 10−12 | 2.56 × 10−14 | 3.64 × 10−16 | 2.33 × 10−16 | ||
| 2.25 × 10−01 | 2.32 × 10−02 | 6.45 × 10−04 | 2.36 × 10−06 | 2.10 × 10−08 | 3.66 × 10−10 | 3.68 × 10−12 | 2.52 × 10−14 | 3.59 × 10−16 | 2.27 × 10−16 | ||||
| 1.7 | 1 | 0 | 3.27 × 10−01 | 4.52 × 10−02 | 4.26 × 10−04 | 3.66 × 10−06 | 1.72 × 10−08 | 2.92 × 10−10 | 5.61 × 10−12 | 1.59 × 10−14 | 4.24 × 10−16 | 3.23 × 10−16 | |
| 3.19 × 10−01 | 4.44 × 10−02 | 4.16 × 10−04 | 3.60 × 10−06 | 1.64 × 10−08 | 2.85 × 10−10 | 5.46 × 10−12 | 1.44 × 10−14 | 4.12 × 10−16 | 3.01 × 10−16 | ||||
| 0 | 1 | 4.01 × 10−01 | 3.12 × 10−02 | 1.06 × 10−04 | 2.36 × 10−06 | 4.52 × 10−08 | 1.82 × 10−10 | 2.16 × 10−12 | 2.95 × 10−14 | 3.50 × 10−16 | 1.12 × 10−16 | ||
| 3.88 × 10−01 | 2.95 × 10−02 | 8.11 × 10−05 | 2.15 × 10−06 | 4.06 × 10−08 | 1.51 × 10−10 | 2.03 × 10−12 | 2.61 × 10−14 | 3.41 × 10−16 | 8.02 × 10−17 | ||||
| 1.5 | 1.5 | 1.61 × 10−01 | 4.41 × 10−02 | 4.16 × 10−04 | 3.25 × 10−06 | 1.99 × 10−08 | 4.28 × 10−10 | 1.66 × 10−12 | 3.81 × 10−14 | 1.49 × 10−16 | 1.49 × 10−16 | ||
| 1.52 × 10−01 | 4.32 × 10−02 | 3.99 × 10−04 | 3.06 × 10−06 | 1.41 × 10−08 | 3.98 × 10−10 | 1.56 × 10−12 | 3.62 × 10−14 | 1.28 × 10−16 | 1.27 × 10−16 | ||||
| 1.9 | 1 | 0 | 5.01 × 10−01 | 2.61 × 10−02 | 3.61 × 10−04 | 1.55 × 10−06 | 2.91 × 10−08 | 2.88 × 10−10 | 2.26 × 10−12 | 4.51 × 10−14 | 4.29 × 10−16 | 2.54 × 10−16 | |
| 4.88 × 10−01 | 2.54 × 10−02 | 3.44 × 10−04 | 1.43 × 10−06 | 2.77 × 10−08 | 2.65 × 10−10 | 2.05 × 10−12 | 4.45 × 10−14 | 4.13 × 10−16 | 2.33 × 10−16 | ||||
| 0 | 1 | 2.81 × 10−01 | 1.72 × 10−02 | 4.16 × 10−04 | 2.95 × 10−06 | 3.85 × 10−08 | 5.59 × 10−10 | 1.15 × 10−12 | 3.61 × 10−14 | 5.22 × 10−16 | 3.44 × 10−16 | ||
| 2.77 × 10−01 | 1.65 × 10−02 | 3.98 × 10−04 | 2.85 × 10−06 | 3.82 × 10−08 | 5.49 × 10−10 | 1.02 × 10−12 | 3.54 × 10−14 | 4.99 × 10−16 | 3.12 × 10−16 | ||||
| 1.5 | 1.5 | 3.11 × 10−01 | 4.87 × 10−02 | 2.65 × 10−04 | 3.56 × 10−06 | 2.58 × 10−08 | 2.95 × 10−10 | 3.25 × 10−12 | 1.66 × 10−14 | 2.13 × 10−16 | 2.13 × 10−16 | ||
| 2.94 × 10−01 | 4.78 × 10−02 | 2.55 × 10−04 | 3.46 × 10−06 | 2.44 × 10−08 | 2.76 × 10−10 | 3.02 × 10−12 | 1.56 × 10−14 | 1.98 × 10−16 | 2.00 × 10−16 |
Disclaimer/Publisher’s Note: The statements, opinions and data contained in all publications are solely those of the individual author(s) and contributor(s) and not of MDPI and/or the editor(s). MDPI and/or the editor(s) disclaim responsibility for any injury to people or property resulting from any ideas, methods, instructions or products referred to in the content. |
© 2025 by the author. Licensee MDPI, Basel, Switzerland. This article is an open access article distributed under the terms and conditions of the Creative Commons Attribution (CC BY) license (https://creativecommons.org/licenses/by/4.0/).
Share and Cite
Ahmed, H.M. New Jacobi Galerkin Operational Matrices of Derivatives: A Highly Accurate Method for Solving Two-Point Fractional-Order Nonlinear Boundary Value Problems with Robin Boundary Conditions. Fractal Fract. 2025, 9, 686. https://doi.org/10.3390/fractalfract9110686
Ahmed HM. New Jacobi Galerkin Operational Matrices of Derivatives: A Highly Accurate Method for Solving Two-Point Fractional-Order Nonlinear Boundary Value Problems with Robin Boundary Conditions. Fractal and Fractional. 2025; 9(11):686. https://doi.org/10.3390/fractalfract9110686
Chicago/Turabian StyleAhmed, Hany Mostafa. 2025. "New Jacobi Galerkin Operational Matrices of Derivatives: A Highly Accurate Method for Solving Two-Point Fractional-Order Nonlinear Boundary Value Problems with Robin Boundary Conditions" Fractal and Fractional 9, no. 11: 686. https://doi.org/10.3390/fractalfract9110686
APA StyleAhmed, H. M. (2025). New Jacobi Galerkin Operational Matrices of Derivatives: A Highly Accurate Method for Solving Two-Point Fractional-Order Nonlinear Boundary Value Problems with Robin Boundary Conditions. Fractal and Fractional, 9(11), 686. https://doi.org/10.3390/fractalfract9110686
