Finite Difference and Chebyshev Collocation for Time-Fractional and Riesz Space Distributed-Order Advection–Diffusion Equation with Time-Delay
Abstract
1. Introduction
2. Preliminaries and Necessary Mathematical Tools
2.1. Riesz Fractional Derivatives
2.2. Chebyshev Polynomials of the Second Kind
2.3. An Approximation Formula for Riesz Fractional Derivation
3. Error Analysis
4. The Scheme and Implementation
5. Stability and Convergence Analysis
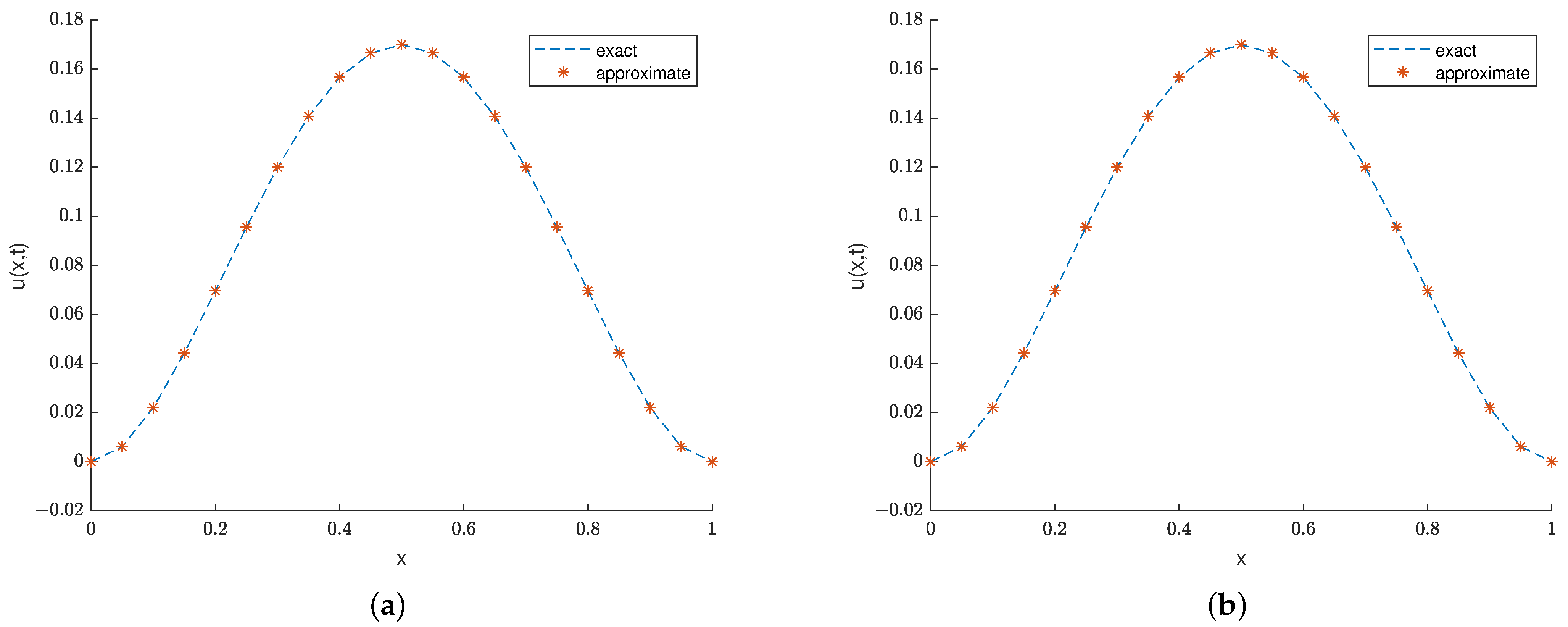
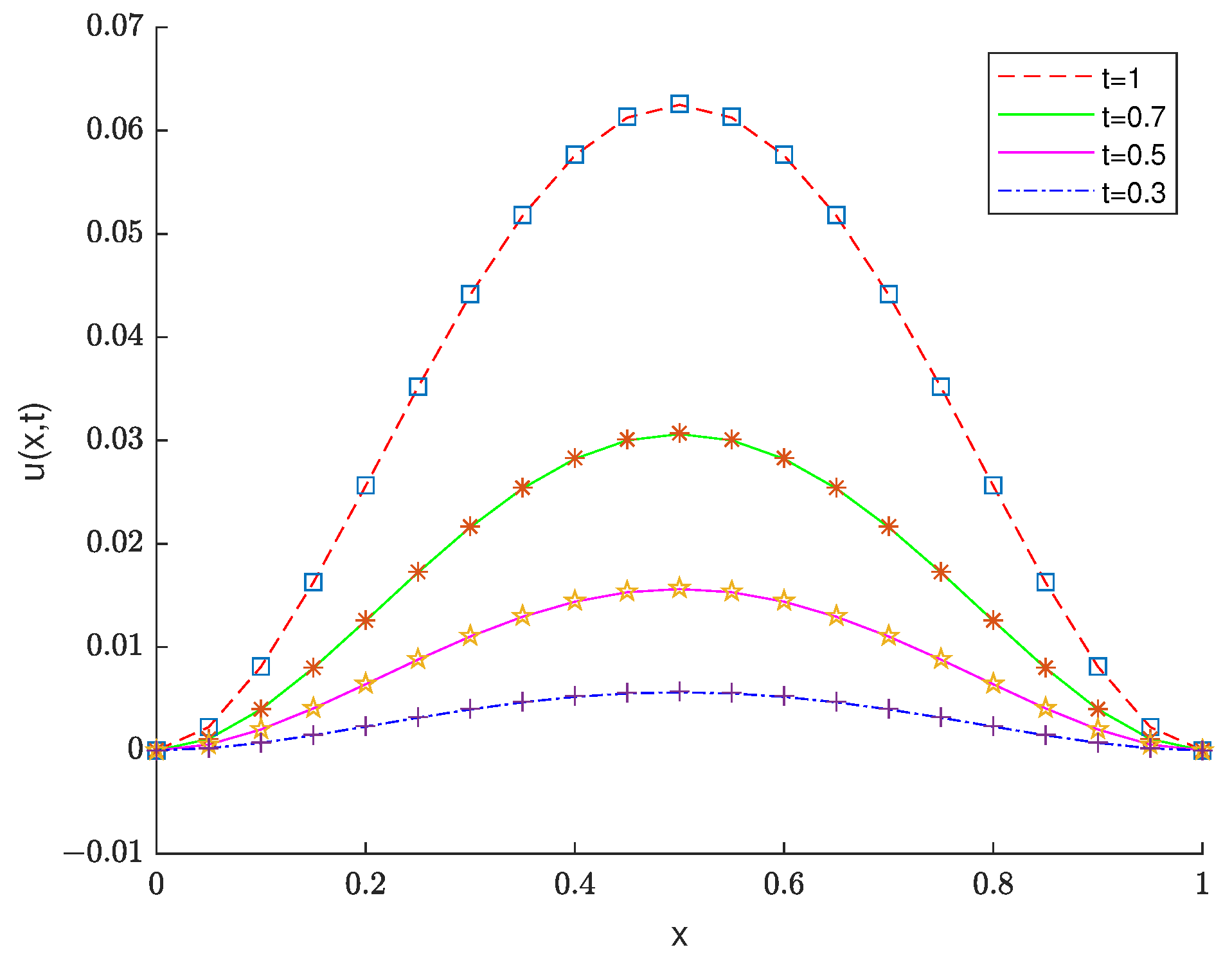
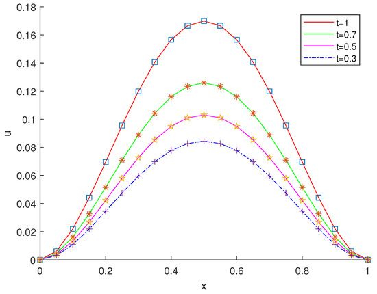
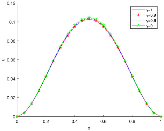
6. Test Examples
7. Conclusions
Author Contributions
Funding
Data Availability Statement
Acknowledgments
Conflicts of Interest
References
- Wang, F.; Xue, L.; Zhao, K.; Zheng, X. Global stabilization and boundary control of generalized Fisher/KPP equation and application to diffusive SIS model. J. Differ. Equ. 2021, 275, 391–417. [Google Scholar] [CrossRef]
- Ting, T. Parabolic and pseudo-parabolic partial differential equations. J. Math. Soc. Jpn. 1969, 21, 440–453. [Google Scholar] [CrossRef]
- Wang, F.; Liu, Y.; Chen, Y. Global stabilization and boundary control of coupled Fisher–Stream equation and application to SIS–Stream model. J. Appl. Math. Comput. 2024. [Google Scholar] [CrossRef]
- Zauderer, E. Partial Differential Equations of Applied Mathematics; Wiley: New York, NY, USA, 2011. [Google Scholar]
- Huang, F.; Liu, F. The time-fractional diffusion equation and the adverction-dispersion equation. ANZIAM J. 2005, 46, 317–330. [Google Scholar] [CrossRef]
- Liu, F.; Zhuang, P.; Anh, V.; Turner, I.; Burrage, K. Stability and convergence of the difference methods for the space-time fractional advection-diffsuion equation. Personal communication. Appl. Math. Comput. 2007, 191, 12–20. [Google Scholar]
- Wang, F.; Yao, Z. Approximate controllability of fractional neutral differential systems with bounded delay. Fixed Point Theory 2016, 17, 495–508. [Google Scholar]
- Mohebbi, A.; Abbaszadeh, M. Compact finite difference scheme for the solution of time fractional adverction-dispersion equation. Numer. Algor. 2013, 63, 431–452. [Google Scholar] [CrossRef]
- Wang, F.; Liu, L. The Existence and Uniqueness of Solutions for Variable-Order Fractional Differential Equations with Antiperiodic. Funct. Spaces 2022, 2022, 7663192. [Google Scholar]
- Zhu, X.; Nie, Y.; Zhang, W. An efficient differential quadrature method for fractional adverction-diffusion equation. Nonlinear Dym. 2017, 90, 1807–1827. [Google Scholar] [CrossRef]
- Caputo, M. Distributed order differential equations modelling dielectric induction and diffusion. Fract. Calc. Appl. Anal. 2001, 4, 421–442. [Google Scholar]
- Caputo, M. Diffusion with space memory modelled with distributed order space fractional differential equations. Ann. Geophys. 2003, 46, 223–234. [Google Scholar] [CrossRef]
- Meerschaert, M.M.; Nane, E.; Vellaisamy, P. Distributed-order fractional diffusions on bounded domains. J. Math. Anal. Appl. 2011, 379, 216–228. [Google Scholar] [CrossRef]
- Atanacovic, T.M.; Pilipovic, S.; Zorica, D. Existence and calculation of the solution to the time distributed order diffusion equation. Phys. Scr. 2009, 2009, 014012. [Google Scholar] [CrossRef]
- Gorenflo, R.; Luchko, Y.; Stojanović, M. Fundamental solution of a distributed order time-fractional diffusion-wave equation as probability density. Fract. Calc. Appl. Anal. 2013, 16, 297–316. [Google Scholar] [CrossRef]
- Bagley, R.L.; Torvik, P.J. On the existence of the order domain and the solution of distributed order equations—Part I. Int. J. Appl. Math. 2000, 7, 865–882. [Google Scholar]
- Luchko, Y. Boundary value problems for the generalized time-fractional diffusion equation of distributed order. Fract. Calc. Appl. 2009, 12, 409–422. [Google Scholar]
- Eftekhari, T.; Rashidinia, J.; Maleknejad, K.D. Existence, uniqueness, and approximate solutions for the general nonlinear distributed-order fractional differential equations in a Banach space. Adv. Differ. Equ. 2021, 2021, 461. [Google Scholar] [CrossRef]
- Chechkin, A.V.; Gorenflo, R.; Sokolov, I.M. Retarding subdiffusion and accelerating superdiffusion governed by distributed-order fractional diffusion equations. Phys. Rev. E 2002, 66, 46–129. [Google Scholar] [CrossRef]
- Jiaot, Z.; Chen, Y.; Podlubny, I. Distributed-Order Dynamic Systems: Stability, Simulation, Applications and Perspectives; Springer: Berlin/Heidelberg, Germany, 2012. [Google Scholar]
- Sun, H.; Zhao, X.; Sun, Z. The Temporal Second Order Difference Schemes Based on the Interpolation Approximation for Solving the Time Multi-term and Distributed-Order Fractional Sub-diffusion Equations. J. Sci. Comput. 2019, 78, 467–498. [Google Scholar] [CrossRef]
- Ye, H.; Liu, F.; Anh, V. Compact difference scheme for distributed-order time-fractional diffusion-wave equation on bounded domains. J. Comput. Phys. 2015, 98, 652–660. [Google Scholar] [CrossRef]
- Chen, X.; Chen, J.; Liu, F.; Sun, Z. A fourth-order accurate numerical method for the distributed-order Riesz space fractional diffusion equation. Numer. Methods Partial Differ. Equ. 2023, 39, 1266–1286. [Google Scholar] [CrossRef]
- Li, J.; Liu, F.; Feng, L.; Turner, I. A novel finite volume method for the Riesz space distributed-order advection–diffusion equation. Appl. Math. Model. 2017, 46, 536–553. [Google Scholar] [CrossRef]
- Zhang, H.; Liu, F.; Jiang, X.; Zeng, F.; Turner, I. A Crank–Nicolson ADI Galerkin–Legendre spectral method for the two-dimensional Riesz space distributed-order advection diffusion equation. Appl. Math. Comput. 2018, 76, 2460–2476. [Google Scholar] [CrossRef]
- Zhang, H.; Liu, F.; Jiang, X.; Turner, I. Spectral method for the two-dimensional time distributed-order diffusion-wave equation on a semi-infinite domain. J. Comput. Appl. Math. 2022, 399, 113712. [Google Scholar] [CrossRef]
- Niu, Y.; Liu, Y.; Li, H.; Liu, F. Fast high-order compact difference scheme for the nonlinear distributed-order fractional Sobolev model appearing in porous media. Math. Comput. Simul. 2023, 203, 387–407. [Google Scholar] [CrossRef]
- Khader, M.M.; Hendy, A.s. The approximate and exact solutions of the fractional-order delay differential equations using Legendre pseudo spectral method. Int. J. Pure Appl. Math. 2012, 74, 287–297. [Google Scholar]
- Ouyang, Z. Existence and uniqueness of the solutions for a class of nonlinear fractional order partial differential equations with delay. Comput. Math. Appl. 2011, 61, 860–870. [Google Scholar] [CrossRef]
- Mohebbi, A. Finite difference and spectral collocation methods for the solution of semilinear time fractional convection-reaction-diffusion equations with time delay. J. App. Math. Comput. 2019, 61, 635–656. [Google Scholar] [CrossRef]
- Morgado, M.L.; Ford, N.J.; Lima, P. Analysis and numerical methods for fractional differential equations with delay. J. Comput. Appl. Math. 2013, 252, 159–168. [Google Scholar] [CrossRef]
- Wang, Z.; Huang, X.; Shi, G. Analysis of nonlinear dynamics and chaos in a fractional order financial system with time delay. Comput. Math. Appl. 2011, 3, 1531–1539. [Google Scholar] [CrossRef]
- Cermak, J.; Hornıcek, J.; Kisela, T. Stability regions for fractional differential systems with a time delay. Commun. Nonlinear Sci. Numer. Simul. 2016, 31, 108–123. [Google Scholar] [CrossRef]
- Lazarevic, M.P.; Spasic, A.M. Finite-time stability analysis of fractional order time-delay systems: Gronwalls approach. Math. Comput. Model. 2009, 3, 475–481. [Google Scholar] [CrossRef]
- Javidi, M.; Heris, M.S. Analysis and numerical methods for the Riesz space distributed-order advection-diffusion equation with time delay. SeMA J. 2019, 76, 533–551. [Google Scholar] [CrossRef]
- Saedshoar Heris, M.; Javidi, M. Finite difference method for the Riesz space distributed-order advection-diffusion equation with delay in 2D: Convergence and stability. J. Supercomput. 2024, 80, 16887–16917. [Google Scholar] [CrossRef]
- Sweilam, N.H.; Khader, M.M.; Adel, M. Chebyshev pseudo-spectral method for solving fractional advection-dispersion equation. Appl. Math. 2014, 19, 3240–3248. [Google Scholar] [CrossRef]
- Agarwal, P.; El-Sayed, A.A. Non-standard finite difference and Chebyshev collocation methods for solving fractional diffusion equation. Phys. A Stat. Mech. Its Appl. 2018, 500, 40–49. [Google Scholar] [CrossRef]
- Sweilam, N.H.; El-Sayed, A.A.; Boulaaras, S. Fractional-order advection-dispersion problem solution via the spectral collocation method and the non-standard finite difference technique. Chaos Solit. Fractals 2021, 144, 11076. [Google Scholar] [CrossRef]
- Saw, V.; Kumar, S. Second Kind Chebyshev Polynomials for Solving Space Fractional Advection-Dispersion Equation Using Collocation Method. Iran. J. Sci. Technol. A 2019, 43, 1027–1037. [Google Scholar] [CrossRef]
- Ali Shah, F.; Kamran; Boulila, W.; Koubaa, A.; Mlaiki, N. Numerical Solution of Advection–Diffusion Equation of Fractional Order Using Chebyshev Collocation Method. Fractal Fract. 2023, 7, 762. [Google Scholar] [CrossRef]
- Wang, X.; Liu, F.; Chen, X. Novel second-order accurate implicit numerical methods for the Riesz space distributed-order advection-dispersion equations. Adv. Math. Phys. 2015, 2015, 590435. [Google Scholar] [CrossRef]
- Mason, J.C.; Handscomb, D.C. Chebyshev Polynomials; Chapman and Hall (CRC Press): Boca Raton, FL, USA, 2003. [Google Scholar]
- Shen, J.; Tang, T.; Wang, L. Spectral Methods: Algorithms, Analysis and Applications; Springer Science & Business Media: Hoboken, NJ, USA, 2011. [Google Scholar]






| x | ||||
|---|---|---|---|---|
| 0.1 | 8.7871 | 2.1968 | 3.4316 | 3.6289 |
| 0.3 | 2.3710 | 5.9274 | 9.2593 | 9.0721 |
| 0.5 | 2.9598 | 7.3745 | 1.1520 | 1.1371 |
| 0.7 | 2.3710 | 5.9274 | 9.2593 | 9.0721 |
| 0.9 | 8.7871 | 2.1968 | 3.4316 | 3.6289 |
| Proposed Method | FVM [24] | FDM [42] | ||||
|---|---|---|---|---|---|---|
| Error | Order | Error | Order | Error | Order | |
| 1/20 | 1.1520 | - | 4.8471 | - | 5.1540 | - |
| 1/40 | 2.8805 | 2.000 | 1.2238 | 1.986 | 1.2470 | 2.047 |
| 1/80 | 7.2016 | 2.000 | 3.0745 | 1.993 | 3.0210 | 2.045 |
| 1/160 | 1.8004 | 2.000 | 7.7034 | 1.997 | 7.3070 | 2.048 |
| Error | Order | Error | Order | Error | Order | |
|---|---|---|---|---|---|---|
| 1/20 | 1.4341 | - | 1.4158 | - | 1.4141 | - |
| 1/40 | 3.5883 | 1.9988 | 3.5420 | 1.9990 | 3.5381 | 1.9988 |
| 1/80 | 8.9791 | 1.9987 | 8.8631 | 1.9987 | 8.8531 | 1.9987 |
| 1/160 | 2.2470 | 1.9986 | 2.2180 | 1.9986 | 2.2152 | 1.9987 |
| 1/320 | 5.6232 | 1.9984 | 5.5505 | 1.9986 | 5.5406 | 1.9993 |
| x | |||
|---|---|---|---|
| 0.1 | 1.1814 | 1.5147 | 2.1337 |
| 0.3 | 3.1855 | 4.0690 | 5.7312 |
| 0.5 | 3.9624 | 5.0563 | 5.7312 |
| 0.7 | 3.1855 | 4.0690 | 2.4606 |
| 0.9 | 1.1814 | 1.5147 | 2.1337 |
Disclaimer/Publisher’s Note: The statements, opinions and data contained in all publications are solely those of the individual author(s) and contributor(s) and not of MDPI and/or the editor(s). MDPI and/or the editor(s) disclaim responsibility for any injury to people or property resulting from any ideas, methods, instructions or products referred to in the content. |
© 2024 by the authors. Licensee MDPI, Basel, Switzerland. This article is an open access article distributed under the terms and conditions of the Creative Commons Attribution (CC BY) license (https://creativecommons.org/licenses/by/4.0/).
Share and Cite
Wang, F.; Chen, Y.; Liu, Y. Finite Difference and Chebyshev Collocation for Time-Fractional and Riesz Space Distributed-Order Advection–Diffusion Equation with Time-Delay. Fractal Fract. 2024, 8, 700. https://doi.org/10.3390/fractalfract8120700
Wang F, Chen Y, Liu Y. Finite Difference and Chebyshev Collocation for Time-Fractional and Riesz Space Distributed-Order Advection–Diffusion Equation with Time-Delay. Fractal and Fractional. 2024; 8(12):700. https://doi.org/10.3390/fractalfract8120700
Chicago/Turabian StyleWang, Fang, Yuxue Chen, and Yuting Liu. 2024. "Finite Difference and Chebyshev Collocation for Time-Fractional and Riesz Space Distributed-Order Advection–Diffusion Equation with Time-Delay" Fractal and Fractional 8, no. 12: 700. https://doi.org/10.3390/fractalfract8120700
APA StyleWang, F., Chen, Y., & Liu, Y. (2024). Finite Difference and Chebyshev Collocation for Time-Fractional and Riesz Space Distributed-Order Advection–Diffusion Equation with Time-Delay. Fractal and Fractional, 8(12), 700. https://doi.org/10.3390/fractalfract8120700

