Abstract
This paper proposes a fractional order integral-derivative plus second-order derivative with low-pass filters and a tilt controller called IλDND2N2-T to improve the control performance of an automatic voltage regulator (AVR). In this study, equilibrium optimisation (EO), multiverse optimisation (MVO), and particle swarm optimisation (PSO) algorithms are used to optimise the parameters of the proposed controller and statistical tests are performed with the data obtained from the application of these three algorithms to the AVR problem. Afterwards, the performance of the IλDND2N2-T controller is demonstrated by comparing the transient responses with the results obtained in recently published papers. In addition, extra disturbances such as frequency deviation, load variation, and short circuit faults in the generator are applied to the AVR system. The proposed controller has outperformed the compared controller against these disturbances. Finally, a robustness test is performed in terms of deterioration in the system parameters. The results show that the IλDND2N2-T controller outperforms the compared controllers under all conditions and exhibits a robust effect on the perturbed system parameters.
1. Introduction
The primary expectation of consumers from power systems is to ensure electricity quality. Because voltage and frequency are the main factors indicating the electricity quality, they must always be within the desired range. Deviations in voltage not only damage equipment but also increase line losses as reactive power flows. In power systems, an automatic voltage regulator is a device that provides voltage control to maintain the terminal voltage of the synchronous generator at a precise level. However, the output voltage of the synchronous generator exhibits a fluctuating, unstable output with a high steady-state error due to reasons such as high alternator field winding inductance and load variation. Therefore, an effective control mechanism is required [1,2].
Advanced and complicated control methods such as artificial neural network (ANN) [3], adaptive neuro-fuzzy inference system (ANFIS) [4], fuzzy logic control (FLC) [5], and sliding mode control (SLC) [6] have been used to control AVR systems. However, these control methods have high computational load, expert knowledge, and computational complexity. PID-type controllers without these drawbacks are still the most studied controllers in academia and the most preferred controllers in industry. As in many engineering systems, PID controllers are the most commonly used controllers in AVR systems.
When the studies in the literature are examined, it is seen that in order to improve the control of AVR systems, either a new controller is proposed, a new optimisation algorithm is tried to optimally tune the parameters of the existing controllers, or a modified objective function is specified. First, it can be seen that proportional-integral-derivative (PID) [7,8,9], fractional order PID (FOPID) [9,10,11,12,13], and tilt-integral-derivative (TID) [14,15] controllers are widely used in the control of AVR systems. Fractional calculus-based FOPID and TID controllers can perform more successful control than PID controllers because they have more tuning parameters, and these tuning parameters have more flexible values. In addition to these, improved versions of PID and FOPID controllers, such as PID plus second-order derivative (PIDD2) [16,17,18], PID acceleration (PIDA) [7,19,20], sigmoid PID [21], sigmoid FOPID [22], FOPID with fractional filter (FOPIDFF) [23], FOPID plus fractional derivative (FOPIDD) [9,24], PID plus second-order derivative with filters (PIDND2N2) [25], cascaded real PID with second-order derivative and fractional order PI (RPIDD2-FOPI) [26], and tilt-fractional order integral-derivative with a second-order derivative and low-pass filters (TIλDND2N2) [27] have been proposed to enhance the control efficiency of AVR systems.
Second, better tuning of the parameters of the controllers allows them to exhibit better control capability. Therefore, researchers prefer optimization algorithms via an objective function (OF) instead of traditional parameter tuning methods. These algorithms are either newly introduced algorithms or hybrid/enhanced versions of existing algorithms. In previous studies, it is seen that the whale optimization algorithm (WOA) [7], water cycle algorithm (WCA) [8], symbiotic organism search (SOS) [9], marine predator algorithm [11], seagull optimization algorithm [13], particle swarm optimization (PSO) [14,15,16], multiverse optimization algorithm (MVO) [17], bat algorithm (BA) [19], harmony search (HS) [20], dandelion optimizer (DO) [22], sin-cosine algorithm (SCA) [23], equilibrium optimizer (EO) [27], and gradient-based optimization (GBO) [28] are used in optimization processes under the control of the AVR system. In addition, improved/hybrid optimization algorithms such as the improved Jaya algorithm (IJA) [10], improved whale optimization algorithm (IWO) [18], and nonlinear sine cosine algorithm (NSCA) [21], are also used.
The better performance of the optimization algorithm is highly dependent on the OF used. When an OF suitable for the characteristic structure of the problem is used, the optimization process is more likely to be successful. The OFs frequently used in tuning the controller parameters of the AVR systems can be listed as Zwe-Lee Gaing (ZLG) [23,27], integral time absolute error (ITAE) [28,29], and integral time square error (ITSE) [30].
As can be seen from the abovementioned literature summary, efforts to enhance the control performance of AVR systems are mainly based on controller improvement. It is understood that the recently introduced controllers are mostly based on fractional order-based controllers. The extra tuning parameters provided by fractional calculus and its flexible control capability are the most important contributions to this trend. On the other hand, although many studies have been conducted on the development of FOPID controllers, studies on TID controllers are limited. It is known that feedback is of great importance in control systems. In addition, diversity in feedback has not been sufficiently studied in AVR systems. Therefore, it is worth investigating further consideration of feedback diversity and fractional calculus in the design of TID controllers. In this study, an IλDND2N2-T controller is proposed to increase the control performance of AVR systems.
The major contributions of this study are summarized as follows:
- ✓
- IλDND2N2-T is proposed for the first time to maintain the terminal voltage of the AVR systems at the desired levels. The success of the controller in AVR systems reveals the potential for its use in solving many engineering problems.
- ✓
- The performances of the EO, MVO, and PSO algorithms in solving the AVR problem are analysed, statistical tests are performed, and their successes are compared.
- ✓
- The suitability of the EO algorithm, which gives better results than MVO and PSO, with the proposed controller and AVR systems is evaluated.
- ✓
- The performance of the proposed IλDND2N2-T controller is compared with PID-type controllers, such as PID, PIDD2, PIDA, and FOPID, and hybrid controllers, including sliding mode control, fuzzy logic, and optimisation algorithms.
- ✓
- The effectiveness of the proposed IλDND2N2-T controller against disturbances such as generator frequency variation, load variation, and short circuit faults, which may occur in AVR systems, is validated experimentally.
- ✓
- The robustness of the proposed controller on perturbed AVR system parameters is evaluated.
The remainder of this paper is organized as follows. Mathematical modelling of the AVR system is given in Section 2, a comprehensive definition of the proposed controller structure is provided in Section 3, used optimization algorithm and design of the objective function are presented in Section 4, results and discussion are reviewed in Section 5, and the conclusion is given in Section 6.
2. Mathematical Modelling of Automatic Voltage Regulator
The AVR is responsible for keeping the terminal voltage constant and steady and plays an important role in the safety of power systems. The linearization of nonlinear systems is one of the widely preferred methods in engineering because of its ease of implementation and diversity of applications. In the studies, it is seen that control applications are performed on linearised AVR systems. The block diagram of the linearised AVR system consisting of amplifier, exciter, generator, and sensor is shown in Figure 1 [7,14,15,17,20]. In Figure 1,
is the reference voltage. E denotes the error signal,
represents the output signal of sensor, and
indicates the output voltage. The transfer functions of the system components and the ranges of the gain constants and time constants are summarized in Table 1. In Table 1,
and
are the gain and time constants of the amplifier,
and
are the gain and time constants of the exciter,
and
are the gain and time constants of the generator, and
and
are the gain and time constants of the sensor.
Figure 1.
Block diagram of the linearized AVR system.
Table 1.
Details of the components of the AVR system.
The gain constants used for the amplifier, exciter, generator, and sensor are 10, 1, 1, and 1, respectively, and the time constants used for these components are 0.1, 0.4, 1, and 0.01. These values, selected from the gain and time constant ranges given in Table 1, are widely used in the literature [7,14,15,17,20]. Equation (1) gives the generalized closed-loop transfer function of the AVR system obtained using Figure 1.
Equation (2) gives the closed-loop transfer function of the AVR system derived from Table 1, Equation (1), and the values of the constants.
3. Design of Controller
3.1. Principle of Fractional Calculus
Although fractional calculus has a history of more than 300 years, fractional calculus-based controllers have been developed and implemented in recent years. Fractional order controllers (FOC) have better control capabilities than integer order controllers because they have more tuning parameters and behave more sensitively. The general description of FOC is given in Equation (3) [31].
where
and
are the bounds of operation.
and
is the fractional order of the integro-differential operator. The fractional derivative function can be stated with different mathematical expressions. The most preferred methods are Caputo, Grünwald–Letnikov (GL), and Riemann–Liouville (RL). rth order fractional derivative definition of Riemann–Liouville is given in Equation (4) [32,33].
where
is the integer section of
,
. The Γ(.) depicts the Euler’s Gamma function.
An approximation is needed to implement the mathematical expressions given above in real-time applications of FOC, computer simulations, and discretization. Oustaloup’s recursive approximation (ORA) finds a solution for this. The ORA is used to implement the integro-differential operators in frequency domain and given in given Equation (5). The zeros, poles, and gain of the filter are described in Equations (6)–(8) [32].
represents the differ-integration order, (2N + 1) is the analogue filter order, and
is the range. The filter limits are chosen as [10−3 103] in this paper.
3.2. Integer Order Controller-Based AVR Systems
The most commonly utilized controllers in controlling AVR systems are integer-order PID-type controllers. Table 2 presents the block diagrams and transfer function representations of the PI, PID, and PIDD2 controllers frequently used in AVR.
Table 2.
The block diagrams and transfer function representations of integer order controllers.
,
,
and
in the transfer function column of the Table 2 display the proportional, integral, derivative, and second-order derivative gains, respectively. Among these controllers, PI has two (KP, KI) PID has three (KP, KI, KD) and PIDD2 has four (KP, KI, KD, KDD) tuning parameters. The P, I, and D terms have different characteristics, and each of them has a different contribution to the control process. Therefore, as these parameters are added, the control functionality increases due to the increase in the number of tuning parameters and the contributions of the different characteristics.
In order to obtain a more stable output voltage in AVR systems, the PIDD2 controller was derived by adding a second-order derivative part to the PID controller [16]. Thus, the acquired PIDD2 controller can be successfully applied not only to AVR systems but also to other engineering problems.
3.3. Fractional Order Controller-Based AVR Systems
As explained in Section 3.1, the control capabilities of the systems are increased by improving integer-order PID-type controllers to fractional order-based controllers. Table 3 presents the block diagrams and transfer function representations of Fractional Order PI (FOPI), Fractional Order PID (FOPID), Tilt-Integral-Derivative (TID), and Fractional order TID (FOTID) controllers.
Table 3.
The block diagrams and transfer function representations of fractional order controllers.
The parameters
,
and
in Table 3 represent proportional, integral, and derivative gains, respectively. λ and µ are differential-integro parameters. Thus, extra tuning parameters are acquired compared to integer-order PI and PID controllers. While FOPI has 3 tuning parameters consisting of
,
, and λ, FOPID has 5 tuning parameters consisting of
,
,
, λ, and µ. In addition, because the PID controller is obtained when λ and µ are 1 in FOPID, it can be concluded that the FOPID controller also includes the PID controller.
The TID controller is obtained by multiplying the
parameter of the integer-order-based PID controller by “
”. The resulting part is called the “tilt” compensator and causes the TID controller to become a fractional order controller. Although the parameter n added to this controller varies according to the structure of the problem, it is usually taken between 1 and 10. It is taken as an optimisation parameter to determine the appropriate value for the target problem. This means that the TID controller has 4 tuning parameters consisting of
,
,
and n.
The FOTID controller is a hybrid version of the FOPID and TID controllers. All three gain parameters have become fractional order based due to the n, λ, and µ parameters. Thus, the FOTID controller has 6 tuning parameters consisting of
,
,
, n, λ, and µ.
3.4. Proposed Modified and Improved TID Controller
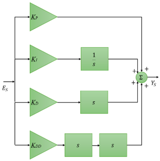
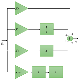
It is seen that well-controlled systems are desired by increasing the setting parameter and using the flexibility provided by fractional order. In this section, a new fractional order controller structure is proposed by modifying and improving the TID controller for the control of AVR systems. Figure 2 shows the block diagram of the proposed IλDND2N2-T controller integrated with the AVR system. The IλDND2N2 controller is positioned before the system, and the input of the controller is the error (the difference between the reference and the sensor output) as in classical systems. The T controller leaves before the sensor and is connected to the previous controller with negative feedback. The desired and outstanding features with this controller are given below with their reasons.
Figure 2.
AVR System with the proposed IλDND2N2-T controller.
- Since the proposed controller is a modified and improved version of the TID controller, it has the ease-of-use features of the TID controller and hence of the PID controller.
- Since the values of integro-differential parameters in fractional order controllers are in fractional degrees, they are capable of more sensitive tuning than integer order controllers.
- The PID controller has 3 tuning parameters, the TID controller has 4, the FOPID controller has 5, and the proposed controller has 8. Thus, controller intervention with different characteristics can be realized, and the system gains more precise control capability.
- The second-order derivative part in the proposed controller complies with the characteristic structure of AVR systems. Although this part improves the control of many engineering systems positively, improvements in the control of AVR come to the fore. The advantage of this part is used in the proposed controller.
- The filters used in both the first-order and second-order derivative term contribute to improved response, noise reduction, smoothing of the control action, and better stability.
Furthermore, the proposed controller includes integer order-based controllers. When n and λ values are 1, the “integral” (
) part and the “tilt” (
) part are converted to integer-order integral. As explained in Section 4, since the value of 1 is within the range of the lower and upper bound values of the coefficients of n and λ, this situation may occur after the optimization process.
4. Optimization Process and Objective Function
Equilibrium optimizer (EO) is a physics-based meta-heuristic algorithm and is proposed by Faramarzi [34]. EO attempts to achieve equilibrium states in the control volume. It imitates the dynamic and equilibrium cases associated with mass balance models where each concentration is randomly updated to reach the equilibrium case. The equation of mass balance is as follows:
where V is the control volume (CV), C represents the CV concentration, and
is the variety rate of mass in CV. Q depicts the volumetric flow rate in coming and going out the CV. G is the rate of mass produced in the CV.
is the equilibrium state within the CV. Taking
as a function of
and then applying some modifications, Equation (10) is obtained.
The λ given in Equation (10) is obtained during the adaptations and more details can be found in [34]. Where
is the starting time based on the integration space.
- Initialization
Like other meta-heuristic optimization algorithms, EO requires an initial population to start the process. The initial concentrations are arranged according to the size and number of particles, and this is shown in Equation (11).
is the initial concentration.
and
are the maximum and minimum amounts. The vector
is a value that varies randomly between 0 and 1.
depicts the population number.
- Equilibrium Pool and Candidates (Ceq)
In the EO algorithm, there are five candidate equilibrium particles, four of which are the best so far and one of which is the average of these four best particles. The vector formed by these five particles is shown in Equation (12).
- Exponential Term
Equation (13), derived by modifications to Equation (10), is responsible for updating the concentration.
and
are vectors that vary randomly in the range 0–1.
and
indicate the maximum number of iterations and the current number of iteration, respectively.
and
are constant values related to the exploration and exploitation phases, respectively. In simulations, the effectiveness of the exploration and exploitation phases on the solution can be increased or decreased by increasing or decreasing the constant values
and
.
determines the action of the exploitation and exploration.
- Generation Rate
The generation rate (G) improves the exploitation step to encounter better results. Expression of G is given in Equation (14).
and
are randomly varying numbers between 0 and 1. GP is the possibility of generation. This value was taken as 0.5 in this study in order to balance between the exploration and exploitation stages. Updating procedure of the EO is given in Equation (15).
The values taken for the experiments of the EO algorithm in this study are given in Table 4. Figure 3 shows the flowchart of the EO algorithm.
Table 4.
Experimental values of the EO algorithm.
Figure 3.
Flowchart of the EO algorithm for the AVR problem.
An objective function is required for applying optimization methods to problems. Optimum controller parameters are obtained during the maximization or minimization of a selected objective function. In engineering problems, there are integral-based objective functions such as the integral absolute error (IAE), integral time absolute error (ITAE), integral square error (ISE), and integral time square error (ITSE), which are calculated directly from the error value (reference input-feedback), as well as objective functions obtained in accordance with the structure of the problem.
The objective function utilized in this study is widely used in AVR systems and provides successful results. The objective function is given in Equation (16) [35].
β is the weight coefficient,
represents the overshoot, and
denotes steady-state error.
and
are rise time and settling time, respectively. β is generally taken between 0.5 and 1.5 in the literature. In the case of β > 0.7, steady-state error and overshoot drop and in the case of β < 0.7, the settling and rise time drop. It was taken as 0.5 in this study. Optimization parameters are
,
,
, λ,
,
,
and n, for the IλDND2N2-T controller. The lower and upper limits of these parameters are [0, 0, 0, 0.1, 10, 10, 0, 1], [5, 5, 5, 1.5, 500, 1000, 5, 10], respectively.
5. Results and Discussion
In this section, first, the parameters of the proposed controller are optimized using the EO, MVO, and PSO algorithms, and the most compatible optimization algorithm with the controller and AVR is determined. Then, the results of the proposed IλDND2N2-T-EO are compared with the results presented in previous studies. In the following sections, the impact of possible disturbances on the AVR system outcome and the robustness test of the AVR system under perturbed system parameters are performed, respectively.
Matlab 2023a and Simulink were utilized in the realization of the experiments. The properties of the computer on which this study is conducted are intel i5-10400 CPU, 2.9 Ghz, 16 GB ram.
5.1. Achievement of the EO, MVO, and PSO Algorithms in AVR Systems with IλDND2N2-T Controller
Firstly, the parameters of the proposed controller are optimized using the PSO, MVO, and EO algorithms. MVO stands out with its features, such as including parameters that increase the accuracy of local searches, emphasising local searches throughout the optimisation process, and increasing the convergence success by performing local searches proportionally to the number of iterations [36]. PSO is applied to many engineering problems with the advantages of having fewer tuning parameters and a high convergence speed [37,38]. In the EO algorithm, the random variation of the concentrations of the search agents allows the algorithm to avoid local optima throughout the optimisation process by improving the exploratory search in the initial iterations and the exploitative behaviour in the final iterations [34].
In this study, the experiments were repeated 30 times for each algorithm and the population and iteration numbers were taken as 50. Figure 4 shows the convergence curves of the utilized algorithms. Accordingly, while the MVO algorithm draws attention with its lower starting value, the EO algorithm falls to the lowest levels the fastest. The fact that the EO algorithm quickly converges to low objective function values shows that it will be successful at lower iteration numbers, but PSO and MVO cannot provide the same performance at low iteration numbers.
Figure 4.
Convergence curves of the utilized optimization algorithms.
Table 5 presents the statistical tests of the PSO, MVO, and EO algorithms utilized in solving the AVR system problem. All optimization algorithms are run 30 times for each simulation study to contribute satisfying and powerful acceptance in the statistical analysis. Accordingly, it is seen that the EO algorithm exhibits better values in minimum, maximum, standard deviation, and mean values. Although MVO has a clear superiority over PSO in terms of minimum, maximum, and mean values, they are close to each other in terms of standard deviation. These results demonstrate that these two algorithms give similar results in terms of distances from the mean values.
Table 5.
Statistical tests of utilized optimization algorithms.
Since the EO algorithm outperformed the PSO and MVO in this study, the controller parameters obtained with EO were used in the rest of this study.
5.2. Evaluation of IλDND2N2-T Controller Performance
In this section, the achievement of the proposed IλDND2N2-T EO controller is approved by comparing it with the PID-improved whale optimization algorithm (IWOA) [39], PID-multiverse optimizer (MVO) [17], PID-sin-cosine algorithm (SCA) [40], PID-artificial rabbits optimization algorithm (ARO) [41], PIDA-harmony search algorithm (HSA) [42], PIDA-teaching learned-based optimization (TLBO) [42], PIDA-WOA [7], PIDD2-PSO [16], PIDD2-EO [24], FOPID- marine predator optimization algorithm (MPA) [11], FOPID-heap-based optimization (HBO) [11], FOPID-hybridization of MPA and safe experimentation dynamics algorithm (MP-SEDA) [12], FOPID-seagull optimization algorithm (SOA) [13], FOPID-SCA [40], Fuzzy-PID [43], sliding mode control with grey wolf optimizer (SMC-GWO) [6], and sliding mode control with SCA (SMC-SCA) [6].
The methods chosen for comparison are derived from studies carried out in recent years. Table 6 presents the parameters of the related controllers.
Table 6.
Parameters of related controllers.
Table 7 lists the time domain specifications, such as settling time, rise time, and overshoot of the terminal voltages of the AVR systems with different controllers. In Table 7, it can be seen that transient responses are high in AVR systems controlled by PID, whereas these values are lower in AVR systems controlled by FOPID. This is the main indicator of the increase in control performance from integer order to fractional order.
Table 7.
Transient response of the AVR system for various controllers.
Also, it can be mentioned that the PIDA controllers perform slightly better than the PID controllers. This situation can be difficult to understand when the PID and PIDA controllers are directly compared in Table 7, but if the PID WOA and PIDA WOA controllers are compared, the superiority of PIDA over PID can be seen because the comparison conditions are equal. Considering the systems with PIDD2 controller, it is seen that it exhibits better control ability than PID, FOPID, and PIDA due to the contribution of the second-order derivative term.
On the other hand, among the compared controllers, the proposed IλDND2N2-T controller has the lowest settling time of 0.0564 s and the lowest rise time of 0.0357 s. In addition, it is one of the controllers with the lowest overshoot. The main reasons for this achievement are the extra second-order derivative term, the low-pass filters in both the first and second-order derivative parts, and the feedback tilt compensator.
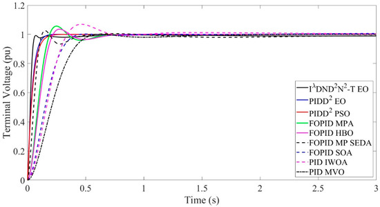
Figure 5 shows the step response of the AVR system controlled by the proposed IλDND2N2-T controller in this study and the proposed controllers in recently published papers. Since showing more studies in the same graph would make it difficult to understand the graph, only the studies whose controller parameters are given in Table 6 are shown in Figure 5. It is clear from Figure 5 that PID MVO decreases the overshoot of the terminal voltage and increases the settling time, whereas PID IWOA exhibits the opposite effect. It is also seen that FOPID controllers perform better than PID controllers, but they are not as successful as PIDD2 controllers in terms of overshoot, settling time, and rise time values. On the other hand, it can be clearly observed that the proposed controller outperforms the compared controllers in terms of time domain specifications.
Figure 5.
Step response of the AVR system with different controllers.
5.3. Controller Behaviour Against the Disturbance Effects
The controllers must maintain the stability of the system against disturbances in extraordinary situations. In simulation studies, disturbances are also taken as inputs in the systems. The difference between these disturbing inputs and the reference input of the system is that they are unpredictable regarding when and how large they are. Therefore, we investigated the impact of sufficiently large disturbances on the system and how the proposed controller copes with these disturbance effects.
Some effects that are likely to occur in AVR systems have been modelled as step functions and applied to the system. These effects are as follows:
- Disturbance 1: Disturbance 1 is considered as an input to model the deviation in the generator frequency and the effects of other generators in a multi-machine system. Disturbance 1 is applied at the 10th second with an amplitude of −1 pu and is performed before the generator as shown in Figure 6.
Figure 6. Block diagram of the AVR system with the controller and disturbance effects. - Disturbance 2: Disturbance 2 is evaluated to model the load changes. Disturbance 2 is applied at the 20th second with an amplitude of +1 pu and is practiced after the generator as shown in Figure 6.
- Disturbance 3: Disturbance 3 is designed to model short circuit faults in the output voltage. Disturbance 3 is practiced at the 30th second with an amplitude of −1 pu and is applied after the generator as shown in Figure 6.
Figure 7 shows the step response of the AVR system’s terminal voltage against the modelled disturbances. In Figure 7, the AVR system is controlled by the proposed controller and FOPID MP SEDA, and the terminal voltage outputs are compared. According to the time domain characteristics in Table 7, the system controlled by FOPID MP SEDA was selected for comparison because it has the lowest rise time. It is clear from Figure 7 that after the Disturbance_1 is applied at t = 10 s, the proposed controller successfully restores the terminal voltage to the reference level. It reacts faster to disturbance than FOPID MP SEDA. The proposed controller has shown more favourable results than FOPID MP SEDA in terms of shortness of settling time and low fluctuation after the disturbance inputs applied at t = 20 s and t = 30 s. The proposed controller provides superior control against undesired and unexpected disturbance inputs.
Figure 7.
Terminal voltage of the AVR system against the modelled disturbance effects.
5.4. Robustness Tests
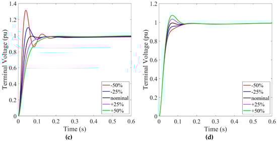
Like all engineering systems, the AVR may not always work as desired, and due to external or internal effects, the time constants of its components may change. In order to examine the success of the proposed controller against such deteriorations in the system parameters, a robustness test is applied to the system. For this purpose, the time constants of the components are changed at the rates of
25% and
50%, and the time domain specifications obtained as a result of the changes are given in Table 8 and the step response is given in Figure 8.
Table 8.
Transient response of the AVR system under perturbed system parameters.

Figure 8.
Step response of the AVR system under perturbed (a)
, (b)
, (c)
and (d)
parameters.
According to Table 8, the highest value of the terminal voltage is 1.3155, where
changes by −50%. The highest value of the settling time is 0.3851 s, where
changes by −50% and the highest value of the rise time is 0.1870 s, where
changes by +50%. As can be seen, the greatest effect on the rise and settling times is the change in
, while the change in the time constant
in the sensor is not as effective as that of the other components.
The results indicate that even under the worst conditions, the AVR system with the proposed controller gives better results than an AVR system with PID and FOPID controllers operating under nominal conditions.
As can be seen in Figure 8, the distortions in
lead to the highest peak value. After the deterioration caused by the changes in
, the highest deterioration is caused by the changes in
and
, respectively. However, it should be clearly stated that there is not much difference between the nominal values of the AVR system components and the degraded system parameters.
6. Conclusions
In this paper, a fractional order integral-derivative plus second-order derivative with low-pass filters and tilt controller (IλDND2N2-T) is proposed to keep the terminal voltage output at a constant value in AVR systems. In this study, EO, MVO, and PSO algorithms are used to optimise the controller parameters, among which the EO algorithm with the lowest objective function value and the best statistical test result is selected for this study. The superiority of the proposed controller in transient responses, such as settling time, rise time, and overshoot is demonstrated by comparing it with controllers proposed in previous studies. Afterwards, the achievement of the IλDND2N2-T controller against disturbances such as generator frequency deviation, load variation, and short circuit current that may occur in AVR systems is expressed by simulations. Finally, the superior performance of the proposed controller against disturbances in the time constants of the amplifier, exciter, generator, and sensor in the AVR system is given in graphs and tables. As a result, the proposed controller can be successfully used to control AVR systems and can be used to control other engineering problems. In addition, the successful results of the proposed controller in this study may pave the way for testing it first on a prototype AVR system and then on a real-scale system. In future studies, the proposed controller will be applied to other problems in electrical and electronics engineering.
Funding
This research received no external funding.
Data Availability Statement
No new data were created or analyzed in this study. Data sharing is not applicable to this article.
Conflicts of Interest
The author declares no conflict of interest.
References
- Boldea, I. Synchronous Generators, 2nd ed.; CRC Press: Boca Raton, FL, USA, 2016. [Google Scholar]
- Lipo, T.A. Analysis of Synchronous Machines, 2nd ed.; CRC Press: Boca Raton, FL, USA, 2012. [Google Scholar]
- Bal, G.; Kaplan, O.; Yalcin, S.S. Artificial neural network based automatic voltage regulator for a stand-alone synchronous generator. In Proceedings of the 8th International Conference on Renewable Energy Research and Applications, ICRERA, Brasov, Romania, 3–6 November 2019; pp. 1032–1037. [Google Scholar] [CrossRef]
- Mohammed, A.N.; Umar, S.; Chatterjee, S. ANFIS SYSTEMATIC ROBUSTNESS INVESTIGATION FOR AVR SYSTEM. e-Prime-Adv. Electr. Eng. Electron. Energy 2024, 9, 100670. [Google Scholar] [CrossRef]
- Gupta, T.; Sambariya, D.K. Optimal design of fuzzy logic controller for automatic voltage regulator. In Proceedings of the IEEE International Conference on Information, Communication, Instrumentation and Control, ICICIC, Indore, India, 17–19 August 2017; pp. 1–6. [Google Scholar] [CrossRef]
- Türksoy, Ö.; Türksoy, A. A fast and robust sliding mode controller for automatic voltage regulators in electrical power systems. Eng. Sci. Technol. Int. J. 2024, 53, 101697. [Google Scholar] [CrossRef]
- Mosaad, A.M.; Attia, M.A.; Abdelaziz, A.Y. Whale optimization algorithm to tune PID and PIDA controllers on AVR system. Ain Shams Eng. J. 2019, 10, 755–767. [Google Scholar] [CrossRef]
- Pachauri, N. Water cycle algorithm-based PID controller for AVR. COMPEL—Int. J. Comput. Math. Electr. Electron. Eng. 2020, 39, 551–567. [Google Scholar] [CrossRef]
- Çavdar, B.; Şahin, E.; Sesli, E. On the assessment of meta-heuristic algorithms for automatic voltage regulator system controller design: A standardization process. Electr. Eng. 2024, 106, 5801–5839. [Google Scholar] [CrossRef]
- Bhookya, J.; Jatoth, R.K. Improved Jaya algorithm-based FOPID/PID for AVR system. COMPEL—Int. J. Comput. Math. Electr. Electron. Eng. 2020, 39, 775–790. [Google Scholar] [CrossRef]
- Noman, A.M.; Almutairi, S.Z.; Aly, M.; Alqahtani, M.H.; Aljumah, A.S.; Mohamed, E.A. A Marine-Predator-Algorithm-Based Optimum FOPID Controller for Enhancing the Stability and Transient Response of Automatic Voltage Regulators. Fractal Fract. 2023, 7, 690. [Google Scholar] [CrossRef]
- Tumari, M.Z.M.; Ahmad, M.A.; Suid, M.H.; Hao, M.R. An Improved Marine Predators Algorithm-Tuned Fractional-Order PID Controller for Automatic Voltage Regulator System. Fractal Fract. 2023, 7, 561. [Google Scholar] [CrossRef]
- Jegatheesh, A.; Thiyagarajan, V.; Selvan, N.B.M.; Raj, M.D. Voltage Regulation and Stability Enhancement in AVR System Based on SOA-FOPID Controller. J. Electr. Eng. Technol. 2023, 19, 31–44. [Google Scholar] [CrossRef]
- Miavagh, F.M.; Miavaghi, E.A.A.; Ghiasi, A.R.; Asadollahi, M. Applying of PID, FPID, TID and ITID controllers on AVR system using particle swarm optimization (PSO). In Proceedings of the 2015 2nd International Conference on Knowledge-Based Engineering and Innovation (KBEI), Tehran, Iran, 5–6 November 2016; pp. 866–871. [Google Scholar] [CrossRef]
- Shukla, H.; Nikolovski, S.; Raju, M.; Rana, A.S.; Kumar, P. A Particle Swarm Optimization Technique Tuned TID Controller for Frequency and Voltage Regulation with Penetration of Electric Vehicles and Distributed Generations. Energies 2022, 15, 8225. [Google Scholar] [CrossRef]
- Sahib, M.A. A novel optimal PID plus second order derivative controller for AVR system. Eng. Sci. Technol. Int. J. 2015, 18, 194–206. [Google Scholar] [CrossRef]
- Tabak, A. Maiden application of fractional order PID plus second order derivative controller in automatic voltage regulator. Int. Trans. Electr. Energy Syst. 2021, 31, e13211. [Google Scholar] [CrossRef]
- Mokeddem, D.; Mirjalili, S. Improved Whale Optimization Algorithm applied to design PID plus second-order derivative controller for automatic voltage regulator system. J. Chin. Inst. Eng. 2020, 43, 541–552. [Google Scholar] [CrossRef]
- Sambariya, D.K.; Paliwal, D. Design of PIDA Controller Using Bat Algorithm for AVR Power System. Adv. Energy Power 2016, 4, 1–6. [Google Scholar] [CrossRef]
- Sambariya, D.K.; Paliwal, D. Optimal design of PIDA controller using harmony search algorithm for AVR power system. In Proceedings of the 2016 IEEE 6th International Conference on Power Systems (ICPS), New Delhi, India, 4–6 March 2016; pp. 1–6. [Google Scholar] [CrossRef]
- Suid, M.H.; Ahmad, M.A. Optimal tuning of sigmoid PID controller using Nonlinear Sine Cosine Algorithm for the Automatic Voltage Regulator system. ISA Trans. 2022, 128, 265–286. [Google Scholar] [CrossRef]
- Sahin, A.K.; Cavdar, B.; Ayas, M.S. An adaptive fractional controller design for automatic voltage regulator system: Sigmoid-based fractional-order PID controller. Neural Comput. Appl. 2024, 36, 14409–14431. [Google Scholar] [CrossRef]
- Ayas, M.S.; Sahin, E. FOPID controller with fractional filter for an automatic voltage regulator. Comput. Electr. Eng. 2020, 90, 106895. [Google Scholar] [CrossRef]
- Tabak, A. A novel fractional order PID plus derivative (PIλDµDµ2) controller for AVR system using equilibrium optimizer. COMPEL—Int. J. Comput. Math. Electr. Electron. Eng. 2021, 40, 722–743. [Google Scholar] [CrossRef]
- Ekinci, S.; Çetin, H.; Izci, D.; Köse, E. A Novel Balanced Arithmetic Optimization Algorithm-Optimized Controller for Enhanced Voltage Regulation. Mathematics 2023, 11, 4810. [Google Scholar] [CrossRef]
- Ekinci, S.; Snášel, V.; Rizk-Allah, R.M.; Izci, D.; Salman, M.; Youssef, A.A.F. Optimizing AVR system performance via a novel cascaded RPIDD2-FOPI controller and QWGBO approach. PLoS ONE 2024, 19, e0299009. [Google Scholar] [CrossRef]
- Tabak, A. Novel TIλDND2N2 Controller Application with Equilibrium Optimizer for Automatic Voltage Regulator. Sustainability 2023, 15, 11640. [Google Scholar] [CrossRef]
- Altbawi, S.M.A.; Mokhtar, A.S.B.; Jumani, T.A.; Khan, I.; Hamadneh, N.N.; Khan, A. Optimal design of Fractional order PID controller based Automatic voltage regulator system using gradient-based optimization algorithm. J. King Saud Univ.-Eng. Sci. 2024, 36, 32–44. [Google Scholar] [CrossRef]
- Paliwal, N.; Srivastava, L.; Pandit, M. Equilibrium optimizer tuned novel FOPID-DN controller for automatic voltage regulator system. Int. Trans. Electr. Energy Syst. 2021, 31, e12930. [Google Scholar] [CrossRef]
- Gozde, H.; Taplamacioglu, M.C. Comparative performance analysis of artificial bee colony algorithm for automatic voltage regulator (AVR) system. J. Frankl. Inst. 2011, 348, 1927–1946. [Google Scholar] [CrossRef]
- Chen, Y.Q.; Petráš, I.; Xue, D. Fractional order control—A tutorial. In Proceedings of the 2009 American Control Conference, St. Louis, MO, USA, 10–12 June 2009; pp. 1397–1411. [Google Scholar] [CrossRef]
- Pan, I.; Das, S. Kriging based surrogate modeling for fractional order control of microgrids. IEEE Trans. Smart Grid 2014, 6, 36–44. [Google Scholar] [CrossRef]
- Monje, C.A.; Chen, Y.Q.; Vinagre, B.M.; Xue, D.; Feliu-Batlle, V. Fractional-Order Systems and Controls: Fundamentals and Applications; Springer Science & Business Media: Berlin, Germany, 2010. [Google Scholar]
- Faramarzi, A.; Heidarinejad, M.; Stephens, B.; Mirjalili, S. Equilibrium optimizer: A novel optimization algorithm. Knowl.-Based Syst. 2019, 191, 105190. [Google Scholar] [CrossRef]
- Gaing, Z. A Particle Swarm Optimization Approach for Optimum Design of PID Controller in AVR System. IEEE Trans. Energy Convers. 2004, 19, 384–391. [Google Scholar] [CrossRef]
- Mirjalili, S.; Mirjalili, S.M.; Hatamlou, A. Multi-Verse Optimizer: A nature-inspired algorithm for global optimization. Neural Comput. Appl. 2015, 27, 495–513. [Google Scholar] [CrossRef]
- Wang, F.; Zhang, H.; Zhou, A. A particle swarm optimization algorithm for mixed-variable optimization problems. Swarm Evol. Comput. 2020, 60, 100808. [Google Scholar] [CrossRef]
- Gad, A.G. Particle Swarm Optimization Algorithm and Its Applications: A Systematic Review. Arch. Comput. Methods Eng. 2022, 29, 2531–2561. [Google Scholar] [CrossRef]
- Habib, S.; Abbas, G.; Jumani, T.A.; Bhutto, A.A.; Mirsaeidi, S.; Ahmed, E.M. Improved Whale Optimization Algorithm for Transient Response, Robustness, and Stability Enhancement of an Automatic Voltage Regulator System. Energies 2022, 15, 5037. [Google Scholar] [CrossRef]
- Bhookya, J.; Jatoth, R.K. Optimal FOPID/PID controller parameters tuning for the AVR system based on sine–cosine-algorithm. Evol. Intell. 2019, 12, 725–733. [Google Scholar] [CrossRef]
- Saravanan, G.; Suresh, K.P.; Pazhanimuthu, C.; Kumar, R.S. Artificial rabbits optimization algorithm based tuning of PID controller parameters for improving voltage profile in AVR system using IoT. e-Prime-Adv. Electr. Eng. Electron. Energy 2024, 8, 100523. [Google Scholar] [CrossRef]
- Mosaad, A.M.; Attia, M.A.; Abdelaziz, A.Y. Comparative Performance Analysis of AVR Controllers Using Modern Optimization Techniques. Electr. Power Components Syst. 2018, 46, 2117–2130. [Google Scholar] [CrossRef]
- Dogruer, T.; Can, M.S. Design and robustness analysis of fuzzy PID controller for automatic voltage regulator system using genetic algorithm. Trans. Inst. Meas. Control 2022, 44, 1862–1873. [Google Scholar] [CrossRef]
Disclaimer/Publisher’s Note: The statements, opinions and data contained in all publications are solely those of the individual author(s) and contributor(s) and not of MDPI and/or the editor(s). MDPI and/or the editor(s) disclaim responsibility for any injury to people or property resulting from any ideas, methods, instructions or products referred to in the content. |
© 2024 by the author. Licensee MDPI, Basel, Switzerland. This article is an open access article distributed under the terms and conditions of the Creative Commons Attribution (CC BY) license (https://creativecommons.org/licenses/by/4.0/).






