Nonlinear Filter-Based Adaptive Output-Feedback Control for Uncertain Fractional-Order Nonlinear Systems with Unknown External Disturbance
Abstract
:1. Introduction
- (1)
- An adaptive fuzzy output-feedback control-strategy-based disturbance-observer for strict-feedback FO nonlinear systems with unknown external disturbances is achieved for the first time. It should be noted that the authors in [25,26,27,28] have considered a related topic. However, the references [25,26,27,28] are based on the complete measurement of system state information.
- (2)
- A novel FO nonlinear filter based on an auxiliary function is constructed to approximately replace the virtual control functions together with the corresponding fractional derivative, which not only erases the issue of complexity explosion, but also completely compensates for the effects of the boundary errors induced by the constructed filters. Although the authors of [40,41,42] considered adaptive control based on a filter signal for FO nonlinear systems, these results were obtained on the basis of a linear filter, and cannot directly compensate for the aforementioned effects.
2. Preliminaries and Problem Formulations
2.1. Preliminaries
2.2. System Descriptions and Control Objective
3. Nonlinear Filter-Based Adaptive Fuzzy Output-Feedback Control Design
3.1. Fractional-Order Fuzzy Observer Design
3.2. Fractional-Order Nonlinear Filter Design
3.3. Disturbance Observer-Based Controller Design
3.4. Stability Analysis
- (1)
- Construct the IF-THEN rules, select fuzzy membership functions, and generate the FLS (9).
- (2)
- Choose the observer gains such that A is Hurwitz.
- (3)
- Select the matrix , and, by solving (14), the symmetric matrix is acquired.
- (4)
- Choose appropriate parameters to ensure , , , , , and construct the FO state observer (11), the virtual controller and the actual controller (24), the parameter adaptation law (26), the disturbance observer (28), and the FO nonlinear filter (20), respectively.
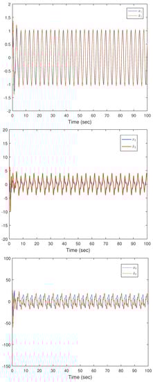
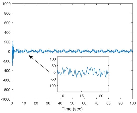
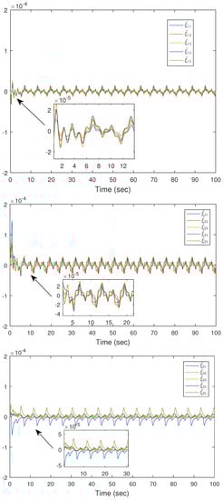
4. Simulation Study
5. Conclusions
Author Contributions
Funding
Data Availability Statement
Conflicts of Interest
References
- Wang, J.C. Realizations of generalized Warburg impedance with RC ladder networks and transmission lines. J. Electrochem. Soc. 1987, 134, 1915. [Google Scholar] [CrossRef]
- Kirichenko, L.; Lavrynenko, R. Probabilistic Machine Learning Methods for Fractional Brownian Motion Time Series Forecasting. Fractal Fract. 2023, 7, 517. [Google Scholar] [CrossRef]
- Pommier, V.; Sabatier, J.; Lanusse, P.; Oustaloup, A. CRONE control of a nonlinear hydraulic actuator. Control Eng. Pract. 2002, 10, 391–402. [Google Scholar] [CrossRef]
- Podlubny, I. Fractional-order systems and PIλDμ controllers. IEEE Trans. Autom. Control 1999, 44, 208–214. [Google Scholar] [CrossRef]
- Wei, Y.H.; Chen, Y.Q.; Liang, S.; Wang, Y. A novel algorithm on adaptive backstepping control of fractional order systems. Neurocomputing 2015, 165, 395–402. [Google Scholar] [CrossRef]
- Trigeassou, J.C.; Maamri, N.; Sabatier, J.; Oustaloup, A. A Lyapunov approach to the stability of fractional differential equations. Signal Process. 2011, 91, 437–445. [Google Scholar] [CrossRef]
- Li, Y.; Chen, Y.Q.; Podlubny, I. Mittag–Leffler stability of fractional order nonlinear dynamic systems. Automatica 2009, 45, 1965–1969. [Google Scholar] [CrossRef]
- Aguila-Camacho, N.; Duarte-Mermoud, M.A.; Gallegos, J.A. Lyapunov functions for fractional order systems. Commun. Nonlinear Sci. Numer. Simul. 2014, 19, 2951–2957. [Google Scholar] [CrossRef]
- Ding, D.S.; Qi, D.L.; Peng, J.M.; Wang, Q. Asymptotic pseudo-state stabilization of commensurate fractional-order nonlinear systems with additive disturbance. Nonlinear Dyn. 2015, 81, 667–677. [Google Scholar] [CrossRef]
- Zhang, L.L.; Che, W.W.; Chen, B.; Lin, C. Adaptive fuzzy output-feedback consensus tracking control of nonlinear multi-agent systems in prescribed performance. IEEE Trans. Cybern. 2023, 53, 1932–1942. [Google Scholar] [CrossRef]
- Zhang, L.L.; Che, W.W.; Deng, C.; Wu, Z.G. Prescribed performance control for multi-agent systems via fuzzy adaptive event-triggered strategy. IEEE Trans. Fuzzy Syst. 2022, 30, 5078–5090. [Google Scholar] [CrossRef]
- Tong, S.C.; Zhou, H.D.; Li, Y.M. Neural network event-triggered formation fault-tolerant control for nonlinear multiagent systems with actuator faults. IEEE Trans. Syst. Man Cybern. Syst. 2023, 1–12. [Google Scholar] [CrossRef]
- Tong, S.C.; Li, Y.M.; Liu, Y.J. Observer-based adaptive neural networks control for large-scale interconnected systems with nonconstant control gains. IEEE Trans. Neural Netw. Learn. Syst. 2020, 32, 1575–1585. [Google Scholar] [CrossRef]
- Kavikumar, R.; Kwon, O.M.; Lee, S.H.; Sakthivel, R. Input-output finite-time IT2 fuzzy dynamic sliding mode control for fractional-order nonlinear systems. Nonlinear Dyn. 2022, 108, 3745–3760. [Google Scholar] [CrossRef]
- Kavikumar, R.; Ma, Y.K.; Ren, Y.; Anthoni, S.M. Observer-Based H∞ Repetitive Control for Fractional-Order Interval Type-2 TS Fuzzy Systems. IEEE Access 2018, 6, 49828–49837. [Google Scholar]
- Garg, A.; Mukhopadhyay, T.; Belarbi, M.O.; Li, L. Random forest-based surrogates for transforming the behavioral predictions of laminated composite plates and shells from FSDT to Elasticity solutions. Compos. Struct. 2023, 309, 116756. [Google Scholar] [CrossRef]
- Pantic, I.; Valjarevic, S.; Cumic, J.; Paunkovic, I.; Terzic, T.; Corridon, P.R. Gray level Co-occurrence matrix, fractal and wavelet analyses of discrete changes in cell nuclear structure following osmotic stress: Focus on machine learning methods. Fractal Fract. 2023, 7, 272. [Google Scholar] [CrossRef]
- Garg, A.; Mukhopadhyay, T.; Belarbi, M.O.; Chalak, H.D.; Singh, A.; Zenkourf, A.M. On accurately capturing the through-thickness variation of transverse shear and normal stresses for composite beams using FSDT coupled with GPR. Compos. Struct. 2023, 305, 116551. [Google Scholar] [CrossRef]
- Wang, J.; Ghosh, D.B.; Zhang, Z. Computational materials design for ceramic nuclear waste forms using machine learning, first-principles calculations, and kinetics rate theory. Materials 2023, 16, 4985. [Google Scholar] [CrossRef]
- Muhr, D.; Affenzeller, M.; Küng, J. A probabilistic transformation of distance-based outliers. Mach. Learn. Knowl. Extr. 2023, 5, 782–802. [Google Scholar] [CrossRef]
- Zirkohi, M.M. Robust adaptive backstepping control of uncertain fractional-order nonlinear systems with input time delay. Math. Comput. Simul. 2022, 196, 251–272. [Google Scholar] [CrossRef]
- Liu, H.; Pan, Y.P.; Li, S.G.; Chen, Y. Adaptive fuzzy backstepping control of fractional-order nonlinear systems. IEEE Trans. Syst. Man Cybern. Syst. 2017, 47, 2209–2217. [Google Scholar] [CrossRef]
- Gong, P.; Lan, W. Adaptive robust tracking control for multiple unknown fractional-order nonlinear systems. IEEE Trans. Cybern. 2019, 49, 1365–1376. [Google Scholar] [CrossRef] [PubMed]
- Wei, Y.H.; Sheng, D.; Chen, Y.Q.; Wang, Y. Fractional order chattering-free robust adaptive backstepping control technique. Nonlinear Dyn. 2019, 95, 2383–2394. [Google Scholar] [CrossRef]
- Yu, J.Z.; Li, S.G.; Liu, H. Command-filtered adaptive neural network backstepping quantized control for fractional-order nonlinear systems with asymmetric actuator dead-zone via disturbance observer. Nonlinear Dyn. 2023, 111, 6449–6467. [Google Scholar] [CrossRef]
- Shao, S.Y.; Chen, M.; Chen, S.D.; Wu, Q.X. Adaptive neural control for an uncertain fractional-order rotational mechanical system using disturbance observer. IET Control Theory Appl. 2016, 10, 1972–1980. [Google Scholar] [CrossRef]
- Xue, G.M.; Qin, B.; Zhang, X.L.; Cherif, B.; Li, S.G. Adaptive tracking control for fractional-order nonlinear uncertain systems with state constraints via command-filtering and disturbance observe. Fractals 2022, 30, 2240245. [Google Scholar] [CrossRef]
- Hou, C.J.; Liu, X.P.; Wang, H.Q. Adaptive fault tolerant control for a class of uncertain fractional-order systems based on disturbance observe. Int. J. Robust Nonlinear Control. 2020, 30, 3436–3450. [Google Scholar] [CrossRef]
- Hua, C.C.; Guan, X.P.; Shi, P. Robust output feedback tracking control for time-delay nonlinear systems using neural network. IEEE Trans. Neural Netw. 2007, 18, 495–505. [Google Scholar] [CrossRef]
- Hua, C.C.; Wang, Q.G.; Guan, X.P. Adaptive fuzzy output-feedback controller design for nonlinear time-delay systems with unknown control direction. IEEE Trans. Syst. Man, Cybern. Part (Cybern.) 2008, 39, 363–374. [Google Scholar]
- Tong, S.C.; Li, Y.M. Observer-based fuzzy adaptive control for strict-feedback nonlinear systems. Fuzzy Sets Syst. 2009, 160, 1749–1764. [Google Scholar] [CrossRef]
- Li, Y.M.; Wang, T.C.; Liu, W.; Tong, S.C. Neural network adaptive output-feedback optimal control for active suspension systems. IEEE Trans. Syst. Man Cybern. Syst. 2021, 52, 4021–4032. [Google Scholar] [CrossRef]
- Thanh, H.L.N.N.; Huynh, T.T.; Vu, M.T.; Mung, N.X.; Phi, N.N.; Hong, S.K.; Vu, T.N.L. Quadcopter UAVs extended states/disturbance observer-based nonlinear robust backstepping control. Sensors 2022, 22, 5082. [Google Scholar] [CrossRef] [PubMed]
- Xuan-Mung, N.; Golestani, M.; Nguyen, H.T.; Nguyen, N.A.; Fekih, A. Output feedback control for spacecraft attitude system with practical predefined-time stability based on anti-windup compensator. Mathematics 2023, 11, 2149. [Google Scholar] [CrossRef]
- Swaroop, D.; Hedrick, J.K.; Yip, P.P.; Gerdes, J.C. Dynamic surface control for a class of nonlinear systems. IEEE Trans. Autom. Control 2000, 45, 1893–1899. [Google Scholar] [CrossRef]
- Li, Y.M.; Li, K.W.; Tong, S.C. Finite-time adaptive fuzzy output feedback dynamic surface control for MIMO nonstrict feedback systems. IEEE Trans. Fuzzy Syst. 2018, 27, 96–110. [Google Scholar] [CrossRef]
- Tong, S.C.; Sui, S.; Li, Y.M. Fuzzy adaptive output feedback control of MIMO nonlinear systems with partial tracking errors constrained. IEEE Trans. Fuzzy Syst. 2014, 23, 729–742. [Google Scholar] [CrossRef]
- Tong, S.C.; Li, Y.M.; Feng, G.; Li, T.S. Observer-based adaptive fuzzy backstepping dynamic surface control for a class of MIMO nonlinear systems. IEEE Trans. Syst. Man Cybern. B Cybern. 2011, 41, 1124–1135. [Google Scholar] [CrossRef] [PubMed]
- Li, T.S.; Wang, D.; Feng, G.; Tong, S.C. A DSC approach to robust adaptive NN tracting control for strict-feedback nonlinear systems. IEEE Trans. Syst. Man Cybern. B Cybern. 2010, 40, 915–927. [Google Scholar]
- Liu, H.; Pan, Y.P.; Cao, J.D. Composite learning adaptive dynamic surface control of fractional-order nonlinear systems. IEEE Trans. Cybern. 2020, 50, 2557–2567. [Google Scholar] [CrossRef]
- Liu, H.; Pan, Y.P.; Cao, J.D.; Wang, H.X.; Zhou, Y. Adaptive neural network backstepping control of fractional-order nonlinear systems with actuator faults. IEEE Trans. Neural Netw. Learn. Syst. 2020, 31, 5166–5177. [Google Scholar] [CrossRef] [PubMed]
- Song, S.; Park, J.H.; Zhang, B.; Song, X.; Zhang, Z. Adaptive command filtered neuro-fuzzy control design for fractional-order nonlinear systems with unknown control directions and input quantization. IEEE Trans. Syst. Man Cybern. Syst. 2021, 51, 7238–7249. [Google Scholar] [CrossRef]
- Song, S.; Zhang, B.Y.; Song, X.N.; Zhang, Z.Q. Adaptive neuro-fuzzy backstepping dynamic surface control for uncertain fractional-order nonlinear systems. Neurocomputing 2019, 360, 172–184. [Google Scholar] [CrossRef]
- Podlubny, I. Fractional Differential Equations; Academic Press: San Diego, CA, USA, 1999. [Google Scholar]
- Ma, Z.Y.; Ma, H.J. Reduced-order observer-based adaptive backstepping control for fractional-order uncertain nonlinear systems. IEEE Trans. Fuzzy Syst. 2020, 28, 3287–3301. [Google Scholar] [CrossRef]
- Bemrie, D.S. Matrix Mathematics: Theory, Facts, and Formulas; Princeton University Press: Princeton, NJ, USA, 2009. [Google Scholar]
- Zuo, Z.Y. Adaptive trajectory tracking control of output constrained multi-rotors systems. IET Control Theory Appl. 2014, 8, 1163–1174. [Google Scholar] [CrossRef]
- Ma, Z.Y.; Ma, H.J. Adaptive fuzzy backstepping dynamic surface control of strict-feedback fractional-order uncertain nonlinear systems. IEEE Trans. Fuzzy Syst. 2020, 28, 122–133. [Google Scholar] [CrossRef]
- Sui, S.; Chen, C.L.P.; Tong, S.C. Neural-network-based adaptive DSC design for switched fractional-order nonlinear systems. IEEE Trans. Neural Netw. Learn. Syst. 2020, 32, 4703–4712. [Google Scholar] [CrossRef]
- Liu, Y.H. Adaptive dynamic surface asymptotic tracking for a class of uncertain nonlinear systems. Int. J. Robust Nonlin. Control 2018, 28, 1233–1245. [Google Scholar] [CrossRef]
- Bai, Z.Y.; Li, S.G.; Liu, H.; Zhang, X.L. Adaptive fuzzy backstepping control of fractional-order chaotic system synchronization using event-triggered mechanism and disturbance observer. Fractal Fract. 2022, 6, 714. [Google Scholar] [CrossRef]
- Wang, L.X. Stable adaptive fuzzy control of nonlinear systems. IEEE Trans. Fuzzy Syst. 1993, 1, 146–155. [Google Scholar] [CrossRef]
- Wang, W.; Tong, S.C. Observer-based adaptive fuzzy containment control for multiple uncertain nonlinear systems. IEEE Trans. Fuzzy Syst. 2019, 27, 2079–2089. [Google Scholar] [CrossRef]
- Li, Y.M.; Li, Y.X.; Tong, S.C. Event-based finite-time control for nonlinear multi-agent systems with asymptotic tracking. IEEE Trans. Autom. Control 2022, 68, 3790–3797. [Google Scholar] [CrossRef]
- Petráš, I. A note on the fractional-order Chua’s system. Chaos Solitons Fractals 2008, 38, 140–147. [Google Scholar] [CrossRef]






Disclaimer/Publisher’s Note: The statements, opinions and data contained in all publications are solely those of the individual author(s) and contributor(s) and not of MDPI and/or the editor(s). MDPI and/or the editor(s) disclaim responsibility for any injury to people or property resulting from any ideas, methods, instructions or products referred to in the content. |
© 2023 by the authors. Licensee MDPI, Basel, Switzerland. This article is an open access article distributed under the terms and conditions of the Creative Commons Attribution (CC BY) license (https://creativecommons.org/licenses/by/4.0/).
Share and Cite
Ma, Z.; Sun, K. Nonlinear Filter-Based Adaptive Output-Feedback Control for Uncertain Fractional-Order Nonlinear Systems with Unknown External Disturbance. Fractal Fract. 2023, 7, 694. https://doi.org/10.3390/fractalfract7090694
Ma Z, Sun K. Nonlinear Filter-Based Adaptive Output-Feedback Control for Uncertain Fractional-Order Nonlinear Systems with Unknown External Disturbance. Fractal and Fractional. 2023; 7(9):694. https://doi.org/10.3390/fractalfract7090694
Chicago/Turabian StyleMa, Zhiyao, and Ke Sun. 2023. "Nonlinear Filter-Based Adaptive Output-Feedback Control for Uncertain Fractional-Order Nonlinear Systems with Unknown External Disturbance" Fractal and Fractional 7, no. 9: 694. https://doi.org/10.3390/fractalfract7090694
APA StyleMa, Z., & Sun, K. (2023). Nonlinear Filter-Based Adaptive Output-Feedback Control for Uncertain Fractional-Order Nonlinear Systems with Unknown External Disturbance. Fractal and Fractional, 7(9), 694. https://doi.org/10.3390/fractalfract7090694

