On Finite-Time Blow-Up Problem for Nonlinear Fractional Reaction Diffusion Equation: Analytical Results and Numerical Simulations
Abstract
1. Introduction
2. Formulation of the Problem
3. Finite-Time Blow-Up Solution
3.1. Analytical Estimation
3.2. Numerical Simulation of Explosion Phenomena
3.2.1. The Explicit Scheme
3.2.2. The Linear Implicit Scheme
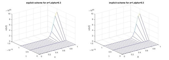
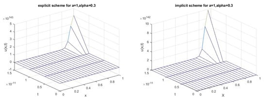
3.3. Numerical Experiment
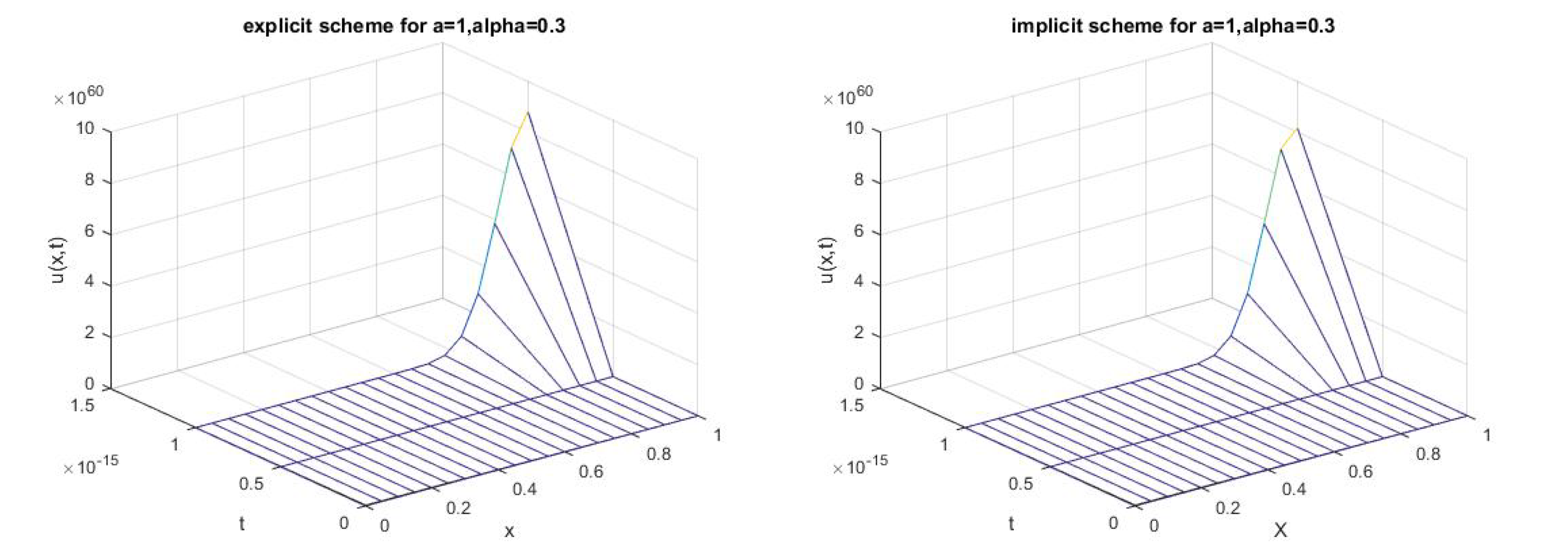
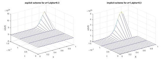
3.3.1. Example 1
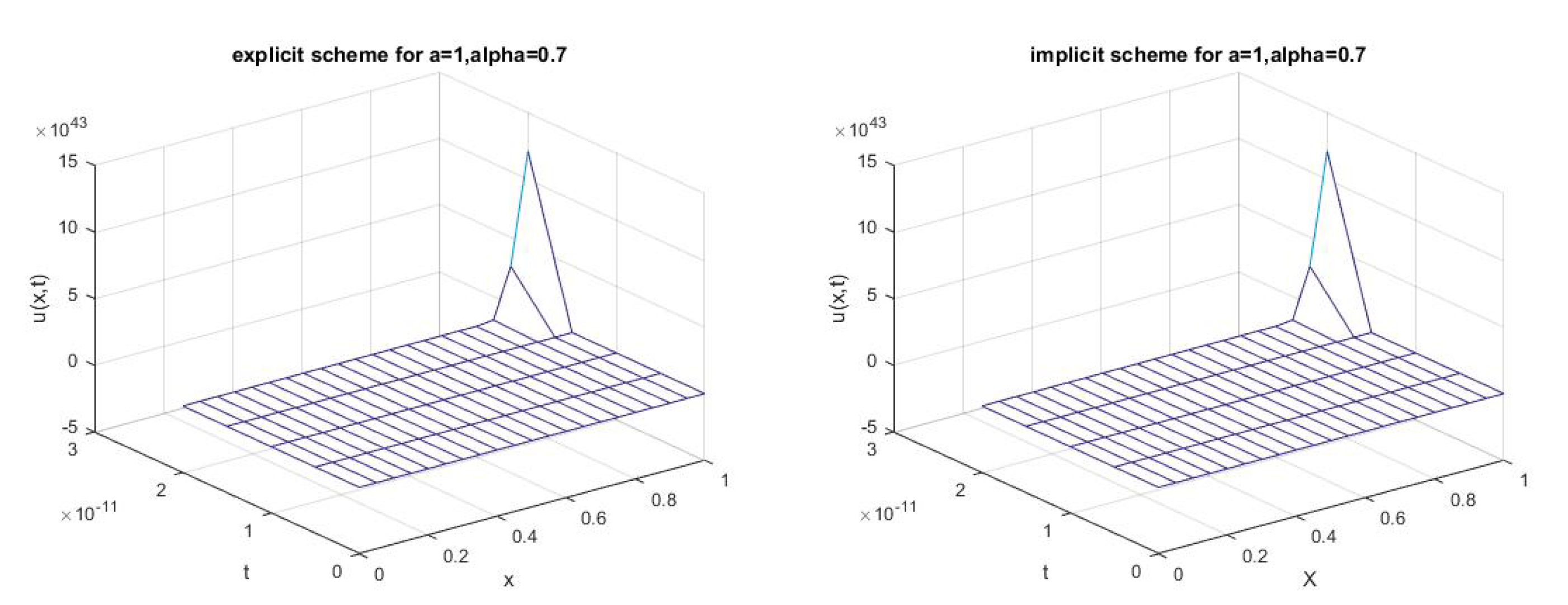
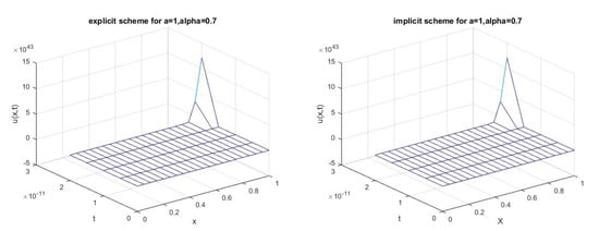
3.3.2. Example 2
3.3.3. Example 3
4. Comparison Results between Integer and Fractional Problems
4.1. Comparison Example 1
4.2. Comparison Example 2
4.3. Comparison Example 3
5. Conclusions
Author Contributions
Funding
Institutional Review Board Statement
Informed Consent Statement
Data Availability Statement
Conflicts of Interest
References
- Samarskii, A.A. Some problems of the theory of differential equations. Differ. Uravn. 1980, 16, 1925–1935. [Google Scholar]
- Coddigton, E.A.; Levinson, N. Theory of Ordinary Differential Equations; McGraw–Hill: New York, NY, USA; Toronto, ON, USA; London, UK, 1955. [Google Scholar]
- Cartan, H. Cours de Calcul Différentiel, Hermann Paris, Collection Méthodes; Editeurs des Sciences et Arts: Paris, France, 1967; ISBN 9782705667023. [Google Scholar]
- Cannon, J.R. The solution of the heat equation anubject to the specification of energy. Q. Appl. Math. 1963, 21, 155–160. [Google Scholar] [CrossRef]
- Demailly, J.P. Analyse numérique et équations diff érentielles, in Presses Universitaires de Grenoble . EDP Sci. 2006, 237–243. [Google Scholar]
- Zheng, S. Nonlinear Evolution Equations; CRC Press: Boca Raton, FL, USA, 2004. [Google Scholar]
- Alsaedi, A.; Ahmad, B.; Kirane, M.; Musalhi, F.; Alzahrani, F. Blowing-up solutions for a nonlinear time-fractional system. Bull. Math. Sci. 2017, 7, 201–210. [Google Scholar] [CrossRef]
- Argun, R.; Gorbachev, A.; Lukyanenko, D.; Shishlenin, M. On Some Features of the Numerical Solving of Coefficient Inverse Problems for an Equation of the Reaction-Diffusion-Advection-Type with Data on the Position of a Reaction Front. Mathematics 2021, 9, 2894. [Google Scholar] [CrossRef]
- Alotaibi, M.; Jleli, M.; Samet, B. Blow-Up of Solutions to Fractional-in-Space Burgers-Type Equations. Fractal Fract. 2021, 5, 249. [Google Scholar] [CrossRef]
- Oussaeif, T.E.; Antara, B.; Ouannas, A.; Batiha, I.M.; Saad, K.M.; Jahanshahi, H.; Aljuaid, A.M.; Aly, A.A. Existence and uniqueness of the solution for an inverse problem of a fractional diffusion equation with integral condition. J. Funct. Spaces 2022, 2022, 7667370. [Google Scholar] [CrossRef]
- Lukyanenko, D.; Borzunov, A.; Shishlenin, M. Solving coefficient inverse problems for nonlinear singularly perturbed equations of the reaction-diffusion-advection-type with data on the position of a reaction front. Commun. Nonlinear Sci. Numer. Simul. 2021, 99, 105824. [Google Scholar] [CrossRef]
- Saadeh, R.; Abbes, A.; Al-Husban, A.; Ouannas, A.; Grassi, G. The Fractional Discrete Predator–Prey Model: Chaos, Control and Synchronization. Fractal Fract. 2023, 7, 120. [Google Scholar] [CrossRef]
- Dababneh, A.; Djenina, N.; Ouannas, A.; Grassi, G.; Batiha, I.M.; Jebril, I.H. A New Incommensurate Fractional-Order Discrete COVID-19 Model with Vaccinated Individuals Compartment . Fractal Fract. 2022, 6, 456. [Google Scholar] [CrossRef]
- Alam, M.N.; Tunç, C. The new solitary wave structures for the (2 + 1)-dimensional time-fractional Schrodinger equation and the space-time nonlinear conformable fractional Bogoyavlenskii equations. Alex. Eng. J. 2020, 59, 2221–2232. [Google Scholar] [CrossRef]
- Ahmad, H.; Alam, M.N.; Rahim, M.A.; Alotaibi, M.F.; Omri, M. The unified technique for the nonlinear time-fractional model with the beta-derivative. Results Phys. 2021, 29, 104785. [Google Scholar] [CrossRef]
- Lions, J.L.; Magenes, E. Problémes Aux Limites non Homogènes et Applications; Dunod: Paris, France, 1968; Volume 1. [Google Scholar]
- Chebana, Z.; Oussaeif, T.E.; Ouannas, A. Solvability of Dirichlet Problem For a Fractional Partial Differential equation by using energy inequality and Faedo-Galerkin method. Innov. J. Math. (IJM) 2022, 1, 34–44. [Google Scholar] [CrossRef]
- Fu, K.; Zeng, X.; Li, X.; Du, J. A Convolution Method for Numerical Solution of Backward Stochastic Differential Equations Based on the Fractional FFT. Fractal Fract. 2023, 7, 44. [Google Scholar] [CrossRef]
- Wu, F.; Ding, D.; Yin, J.; Lu, W.; Yuan, G. Total Value Adjustment of Multi-Asset Derivatives under Multivariate CGMY Processes. Fractal Fract. 2023, 7, 308. [Google Scholar] [CrossRef]
- Wu, Z.; Zhao, J.; Yin, J.; Li, H. Nonlinear Diffusion Equations; World Scientific: Hackensack, NJ, USA, 2001. [Google Scholar] [CrossRef]
- Fujita, H. On the blowing up of solutions to the Cauchy problem for ut=Δu +u1+α. J. Fac. Sci. Univ. Tokyo Sect. IA Math. 1966, 13, 109–124. [Google Scholar]
- Galaktionov, V.A.; Vazquez, J.L. The problem of blow up in nonlinear parabolic equation. Discret. Contin. Dyn. 2002, 8, 399–433. [Google Scholar] [CrossRef]
- Chen, Y.P. The blow-up profile for a nonlocal nonlinear parabolic equation with a nonlocal boundary condition . Quart. Appl. Math. 2012, 70, 759–772. [Google Scholar] [CrossRef]
- Bouziani, A.; Bensaid, S.; Dehilis, S. A second order accurate difference scheme for the diffusion equation with nonlocal nonlinear boundary conditions . J. Phys. Math. 2020, 11, 1–7. [Google Scholar]
- Rahman, Z.; Ali, M.Z.; Harun-Or-Roshid; Ullah, M.S. Analytical Solutions of two space-time fractional nonlinear models using Jacobi elliptic function expansion method . Contemp. Math. 2021, 2(3), 173–188. [Google Scholar] [CrossRef]
- Oussaeif, T.; Bouziani, A. Solvability of Nonlinear Goursat Type Problem for Hyperbolic Equation with Integral Condition. Khayyam J. Math. 2018, 4, 198–213. [Google Scholar] [CrossRef]
- Oussaeif, T.-E.; Bouziani, A. Existence and uniqueness of solutions to parabolic fractional differential equations with integral conditions. Electron. J. Differ. Equ. 2014, 2014, 1–10. [Google Scholar]
- Shi, L.; Cheng, W.; Mao, J.; Xu, T. Blow-Up and Global Existence of Solutions for the Time Fractional Reaction–Diffusion Equation. Mathematics 2021, 9, 3248. [Google Scholar] [CrossRef]












Disclaimer/Publisher’s Note: The statements, opinions and data contained in all publications are solely those of the individual author(s) and contributor(s) and not of MDPI and/or the editor(s). MDPI and/or the editor(s) disclaim responsibility for any injury to people or property resulting from any ideas, methods, instructions or products referred to in the content. |
© 2023 by the authors. Licensee MDPI, Basel, Switzerland. This article is an open access article distributed under the terms and conditions of the Creative Commons Attribution (CC BY) license (https://creativecommons.org/licenses/by/4.0/).
Share and Cite
Hamadneh, T.; Chebana, Z.; Abu Falahah, I.; AL-Khassawneh, Y.A.; Al-Husban, A.; Oussaeif, T.-E.; Ouannas, A.; Abbes, A. On Finite-Time Blow-Up Problem for Nonlinear Fractional Reaction Diffusion Equation: Analytical Results and Numerical Simulations. Fractal Fract. 2023, 7, 589. https://doi.org/10.3390/fractalfract7080589
Hamadneh T, Chebana Z, Abu Falahah I, AL-Khassawneh YA, Al-Husban A, Oussaeif T-E, Ouannas A, Abbes A. On Finite-Time Blow-Up Problem for Nonlinear Fractional Reaction Diffusion Equation: Analytical Results and Numerical Simulations. Fractal and Fractional. 2023; 7(8):589. https://doi.org/10.3390/fractalfract7080589
Chicago/Turabian StyleHamadneh, Tareq, Zainouba Chebana, Ibraheem Abu Falahah, Yazan Alaya AL-Khassawneh, Abdallah Al-Husban, Taki-Eddine Oussaeif, Adel Ouannas, and Abderrahmane Abbes. 2023. "On Finite-Time Blow-Up Problem for Nonlinear Fractional Reaction Diffusion Equation: Analytical Results and Numerical Simulations" Fractal and Fractional 7, no. 8: 589. https://doi.org/10.3390/fractalfract7080589
APA StyleHamadneh, T., Chebana, Z., Abu Falahah, I., AL-Khassawneh, Y. A., Al-Husban, A., Oussaeif, T.-E., Ouannas, A., & Abbes, A. (2023). On Finite-Time Blow-Up Problem for Nonlinear Fractional Reaction Diffusion Equation: Analytical Results and Numerical Simulations. Fractal and Fractional, 7(8), 589. https://doi.org/10.3390/fractalfract7080589

