On the Analysis of a Fractional Tuberculosis Model with the Effect of an Imperfect Vaccine and Exogenous Factors under the Mittag–Leffler Kernel
Abstract
1. Introduction
2. Basic Results
3. Existence Theory
4. Numerical Approach
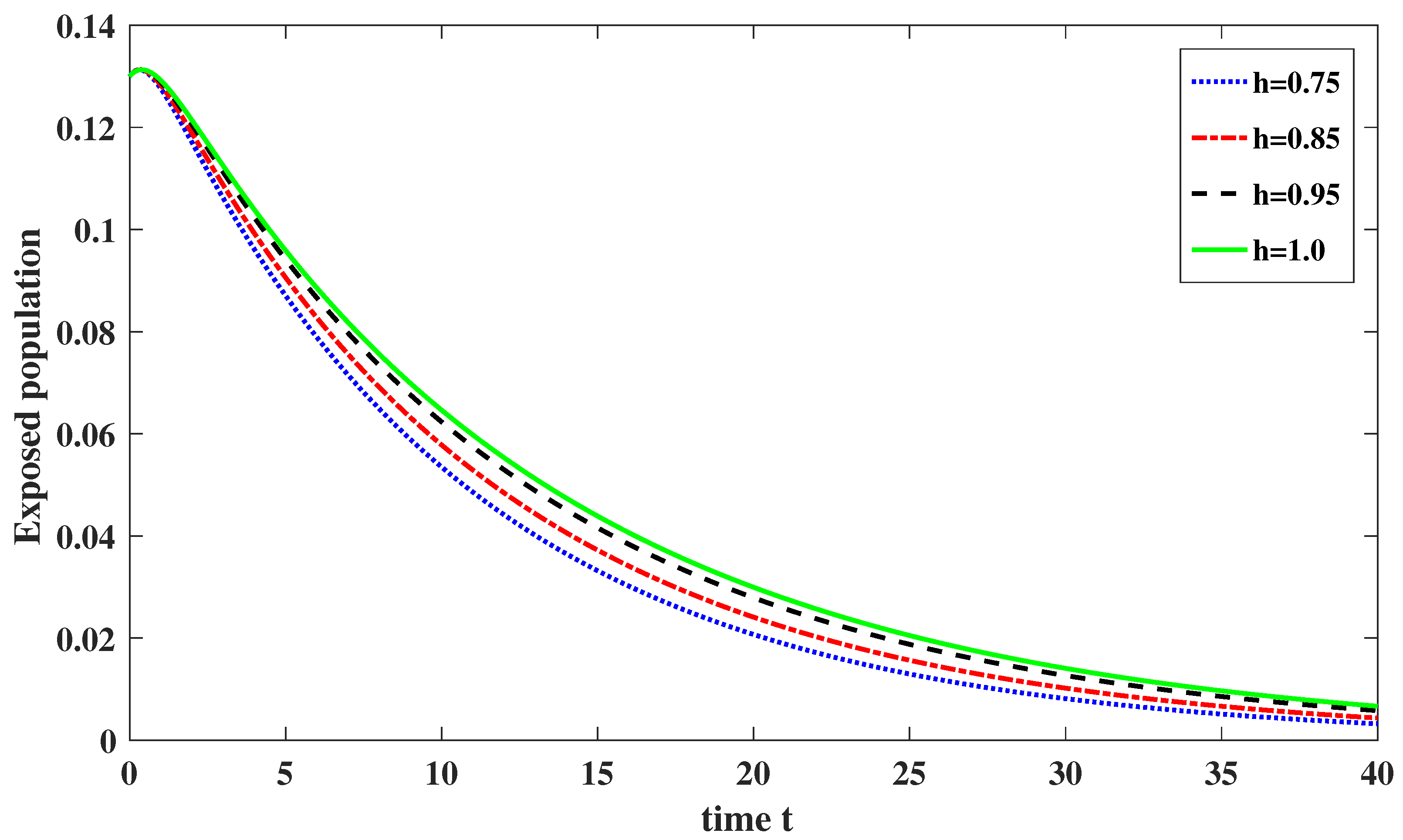
4.1. Numerical Simulation Results of the Model and Discussion
4.2. Sensitivity of the Parameters
5. Conclusions
Author Contributions
Funding
Data Availability Statement
Conflicts of Interest
References
- World Health Organisation. Global Tuberculosis Report; World Health Organisation: Geneva, Switzerland, 2018; p. 214. [Google Scholar]
- Wangari, I.M.; Stephen, D.; Stone, L. Backward bifurcation in epidemic models: Problems arising with aggregated bifurcation parameters. Appl. Math. Model. 2016, 40, 1669–1675. [Google Scholar] [CrossRef]
- Rie, A.V.; Warren, R.; Richardson, M.; Victor, T.C.; Gie, R.P.; Enarson, D.A.; Beyers, N.; Helden, P.D.V. Exogenous reinfection as a cause of recurrent tuberculosis after curative treatment. N. Engl. J. Med. 1999, 341, 1174–1179. [Google Scholar] [PubMed]
- Barberis, I.; Bragazzi, N.L.; Galluzzo, L.; Martini, M. The history of tuberculosis: From the first historical records to the isolation of Koch’s bacillus. J. Prev. Med. Hyg. 2017, 58, E9. [Google Scholar] [PubMed]
- Adebiyi, A.O. Mathematical Modeling of the Population Dynamics of Tuberculosis. Master Thesis, University of the Western Cape, Cape Town, South Africa, 2016. [Google Scholar]
- Khan, M.M.; Naqvi, H.; Thaver, D.; Prince, M. Epidemiology of suicide in Pakistan: Determining rates in six cities. Arch. Suicide Res. 2008, 12, 155–160. [Google Scholar] [CrossRef] [PubMed]
- Ullah, S.; Ullah, O.; Khan, M.K.; Gul, T. Optimal control analysis of tuberculosis (TB) with vaccination and treatment. Eur. Phys. J. Plus 2020, 135, 1–27. [Google Scholar] [CrossRef]
- Andersen, P.; Doherty, T.M. The success and failure of BCG—Implications for a novel tuberculosis vaccine. Nat. Rev. Microbiol. 2005, 3, 656–662. [Google Scholar] [CrossRef]
- Nadolinskaia, N.I.; Karpov, D.S.; Goncharenko, A.V. Vaccines against Tuberculosis: Problems and Prospects. Appl. Biochem. Microbiol. 2020, 56, 497–504. [Google Scholar] [CrossRef]
- Fine, P.E.M.; Carneiro, I.A.M.; Milstien, J.B.; Clements, C.J. Issues Relating to the Use of BCG in Immunization Programmes: A Discussion Document (No. WHO/V and B/99.23); World Health Organization: Geneva, Switzerland, 1999. [Google Scholar]
- Anderson, R.M.; Robert, M.M. Infectious Diseases of Humans: Dynamics and Control; Oxford University Press: Oxford, UK, 1992. [Google Scholar]
- Feng, Z.; Chavez, C.C.; Capurro, A.F. A model for tuberculosis with exogenous reinfection. Theor. Popul. Biol. 2000, 57, 235–247. [Google Scholar] [CrossRef]
- Song, B.; Chavez, C.C.; Aparicio, J.P. Tuberculosis models with fast and slow dynamics: The role of close and casual contacts. Math. Biosci. 2002, 180, 187–205. [Google Scholar] [CrossRef]
- Bhunu, C.P.; Garira, W.; Mukandavire, Z.; Zimba, M. Tuberculosis transmission model with chemoprophylaxis and treatment. Bull. Math. Biol. 2008, 70, 1163–1191. [Google Scholar] [CrossRef]
- Khajanchi, S.; Das, D.K.; Kar, T.K. Dynamics of tuberculosis transmission with exogenous reinfections and endogenous reactivation. Phys. Stat. Mech. Its Appl. 2018, 497, 52–71. [Google Scholar] [CrossRef]
- Ullah, S.; Khan, M.A.; Farooq, M.; Gul, T. Modeling and analysis of tuberculosis (tb) in Khyber Pakhtunkhwa, Pakistan. Math. Comput. Simul. 2016, 165, 181–199. [Google Scholar] [CrossRef]
- Kar, T.K.; Mondal, P.K. Global dynamics of a tuberculosis epidemic model and the influence of backward bifurcation. J. Math. Model. Algorithms 2012, 11, 433–459. [Google Scholar] [CrossRef]
- Lakshmikantham, V.; Leela, S. Nagumo-type uniqueness result for fractional differential equations. Nonlinear Anal. 2009, 71, 2886–2889. [Google Scholar] [CrossRef]
- Podlubny, I. Fractional Differential Equations: An Introduction to Fractional Derivatives, Fractional Differential Equations, to Methods of Their Solution and Some of Their Applications; Elsevier: Amsterdam, The Netherlands, 1998. [Google Scholar]
- Sun, H.; Zhang, Y.; Baleanu, D.; Chen, W.; Chen, Y. A new collection of real world applications of fractional calculus in science and engineering. Commun. Nonlinear Sci. Numer. Simul. 2018, 64, 213–231. [Google Scholar] [CrossRef]
- Singh, J.; Kumar, D.; Hammouch, Z.; Atangana, A. A fractional epidemiological model for computer viruses pertaining to a new fractional derivative. Appl. Math. Comput. 2018, 316, 504–515. [Google Scholar] [CrossRef]
- Jarad, F.; Abdeljawad, T.; Hammouch, Z. On a class of ordinary differential equations in the frame of Atangana–Baleanu fractional derivative. Chaos Solitons Fractals 2018, 117, 16–20. [Google Scholar] [CrossRef]
- Valério, D.; Machado, J.T.; Kiryakova, V. Some pioneers of the applications of fractional calculus. Fract. Calc. Appl. Anal. 2014, 17, 552–578. [Google Scholar] [CrossRef]
- Liu, Z.; Li, X. Approximate Controllability of Fractional Evolution Systems with Riemann-Liouville Fractional Derivatives. SIAM J. Control. Optim. 2015, 53, 1920–1933. [Google Scholar] [CrossRef]
- Petráš, I. Fractional-Order Nonlinear Systems: Modeling, Analysis and Simulation; Springer Science & Business Media: Berlin/Heidelberg, Germany, 2011. [Google Scholar]
- Baleanu, D.; Diethelm, K.; Scalas, E.; Trujillo, J.J. Fractional Calculus: Models and Numerical Methods; World Scientific: London, UK, 2012; Volume 3. [Google Scholar]
- Al-Refai, M.; Luchko, Y. Maximum principle for the fractional diffusion equations with the Riemann-Liouville fractional derivative and its applications. Fract. Calc. Appl. Anal. 2014, 17, 483–498. [Google Scholar] [CrossRef]
- Sousa, E.; Li, C. A weighted finite difference method for the fractional diffusion equation based on the Riemann–Liouville derivative. Appl. Numer. Math. 2015, 90, 22–37. [Google Scholar] [CrossRef]
- Atangana, A.; Baleanu, D. New fractional derivatives with nonlocal and non-singular kernel: Theory and application to heat transfer model. Therm. Sci. 2016, 20, 763–769. [Google Scholar] [CrossRef]
- Djida, J.D.; Atangana, A.; Area, I. Numerical computation of a fractional derivative with non-local and non-singular kernel. Math. Model. Nat. Phenom. 2017, 12, 4–13. [Google Scholar] [CrossRef]
- Pskhu, A.V. On the theory of the continual integro-differentiation operator. Differ. Equ. 2004, 40, 128–136. [Google Scholar] [CrossRef]
- Jiang, X.; Li, J.; Li, B.; Yin, W.; Sun, L.; Chen, X. Bifurcation, chaos, and circuit realisation of a new four-dimensional memristor system. Int. J. Nonlinear Sci. Numer. Simul. 2022. [Google Scholar] [CrossRef]
- Pérez, A.G.C.; Oluyori, D.A. A model for COVID-19 and bacterial pneumonia coinfection with community-and hospital-acquired infections. Math. Model. Numer. Simul. Appl. 2022, 2, 197–210. [Google Scholar] [CrossRef]
- Li, B.; Eskandari, Z.; Avazzadeh, Z. Strong resonance bifurcations for a discrete-time prey-predator model. J. Appl. Math. Comput. 2023, 69, 2421–2438. [Google Scholar] [CrossRef]
- Rahman, M.u.; Arfan, M.; Baleanu, D. Piecewise fractional analysis of the migration effect in plant-pathogen-herbivore interactions. Bull. Biomath. 2023, 1, 1–23. [Google Scholar] [CrossRef]
- Xu, C.; Rahman, M.u.; Fatima, B.; Karaca, Y. Theoretical and numerical investigation of complexities in fractional-order chaotic system having torus attractors. Fractals 2022, 30, 2250164. [Google Scholar] [CrossRef]
- Abdeljawad, T.; Baleanu, D. Integration by parts and its applications of a new nonlocal fractional derivative with Mittag-Leffler nonsingular kernel. J. Nonlinear Sci. Appl. 2017, 10, 1098–1107. [Google Scholar] [CrossRef]
- Ghanbari, B.; Atangana, A. A new application of fractional Atangana–Baleanu derivatives: Designing ABC-fractional masks in image processing. Phys. Stat. Mech. Its Appl. 2020, 542, 123516. [Google Scholar] [CrossRef]
- Eskandari, Z.; Avazzadeh, Z.; Ghaziani, R.K.; Li, B. Dynamics and bifurcations of a discrete-time Lotka—Volterra model using nonstandard finite difference discretization method. In Mathematical Methods in the Applied Sciences; John Wiley & Sons, Ltd.: Hoboken, NJ, USA, 2022. [Google Scholar]
- Li, B.; Liang, H.; Shi, L.; He, Q. Complex dynamics of Kopel model with nonsymmetric response between oligopolists. Chaos Solitons Fractals 2022, 156, 111860. [Google Scholar] [CrossRef]
- Ahmad, S.; Qiu, D.; Rahman, M.u. Dynamics of a fractional-order COVID-19 model under the nonsingular kernel of Caputo-Fabrizio operator. Math. Model. Numer. Simul. Appl. 2022, 2, 228–243. [Google Scholar] [CrossRef]
- Gómez-Aguilar, J.F. Irving–Mullineux oscillator via fractional derivatives with Mittag-Leffler kernel. Chaos Solitons Fractals 2017, 95, 179–186. [Google Scholar] [CrossRef]
- Baleanu, D.; Fernandez, A. On some new properties of fractional derivatives with Mittag-Leffler kernel. Commun. Nonlinear Sci. Numer. Simul. 2018, 59, 444–462. [Google Scholar] [CrossRef]
- Yavuz, M.; Ozdemir, N.; Baskonus, H.M. Solutions of partial differential equations using the fractional operator involving Mittag-Leffler kernel. Eur. Phys. J. Plus 2018, 133, 215. [Google Scholar] [CrossRef]
- Li, B.; Liang, H.; He, Q. Multiple and generic bifurcation analysis of a discrete Hindmarsh-Rose model. Chaos Solitons Fractals 2021, 146, 110856. [Google Scholar] [CrossRef]
- Mahmood, T.; Al-Duais, F.S.; Sun, M. Dynamics of Middle East Respiratory Syndrome Coronavirus (MERS-CoV) involving fractional derivative with Mittag-Leffler kernel. Phys. Stat. Mech. Its Appl. 2022, 606, 128144. [Google Scholar] [CrossRef] [PubMed]
- Qu, H.; Liu, X.; Lu, X.; Rahman, M.u.; She, Z.H. Neural network method for solving nonlinear fractional advection-diffusion equation with spatiotemporal variable-order. Chaos Solitons Fractals 2022, 156, 111856. [Google Scholar] [CrossRef]
- He, Q.; Xia, P.; Hu, C.; Li, B. Public information, actual intervention and inflation expectations. Transform. Bus. Econ. 2022, 21, 644–666. [Google Scholar]
- Li, B.; Zhang, Y.; Li, X.; Eskandari, Z.; He, Q. Bifurcation analysis and complex dynamics of a Kopel triopoly model. J. Comput. Appl. Math. 2023, 426, 115089. [Google Scholar] [CrossRef]
- Joshi, H.; Yavuz, M. Transition dynamics between a novel coinfection model of fractional-order for COVID-19 and tuberculosis via a treatment mechanism. Eur. Phys. J. Plus 2023, 138, 468. [Google Scholar] [CrossRef] [PubMed]
- Shah, K.; Abdalla, B.; Abdeljawad, T.; Gul, R. Analysis of multipoint impulsive problem of fractional-order differential equations. Bound. Value Probl. 2023, 2023, 1. [Google Scholar] [CrossRef]
- Yavuz, M.; Özköse, F.; Susam, M.; Kalidass, M. A new modeling of fractional-order and sensitivity analysis for hepatitis-b disease with real data. Fractal Fract. 2023, 7, 165. [Google Scholar] [CrossRef]
- Asif, M.; Shah, K.; Abdalla, B.; Abdeljawad, T. Numerical solution of Bagley–Torvik equation including Atangana–Baleanu derivative arising in fluid mechanics. Results Phys. 2023, 49, 106468. [Google Scholar]
- ur Rahman, M. Generalized fractal—Fractional order problems under non-singular Mittag-Leffler kernel. Results Phys. 2022, 35, 105346. [Google Scholar] [CrossRef]
- Sulayman, F.; Abdullah, F.A.; Mohd, M.H. An SVEIRE model of tuberculosis to assess the effect of an imperfect vaccine and other exogenous factors. Mathematics 2021, 9, 327. [Google Scholar] [CrossRef]
- Atangana, A.; Owolabi, K.M. New numerical approach for fractional differential equations. Math. Model. Nat. Phenom. 2018, 13, 3. [Google Scholar] [CrossRef]













| Value | Details | 
|---|---|
| constant rate of birth | |
| rate of diminished for each compartment | |
| the rate at which vaccine wanes over time | |
| the rate at which class becomes infected | |
| death rate of TB induced | |
| the rate of vaccine at which moves to | |
| the rate of transmission | |
| the rate at which class become recovered | |
| the rate of viability of vaccine | |
| rate of new infection | |
| the rate at which class become infected | |
| the rate of low immunity | 
| Parameter | Value | Parameter | Value | 
|---|---|---|---|
| 0.6 | 0.17 | ||
| 0.13 | 0.05 | ||
| 0.005 | 0.15 | ||
| 5 | 0.2 | ||
| 0.12 | 0.3 | ||
| 0.8 | 3 | ||
| 0.8 | 0.17 | ||
| 0.02 | 0.7 | 
| Parameter | Value | Parameter | Value | 
|---|---|---|---|
| 0.6 | 0.17 | ||
| 0.13 | 0.05 | ||
| 0.005 | 0.1 | ||
| 0.23 | 0.2 | ||
| 0.1 | 0.3 | ||
| 0.2 | 2 | ||
| 0.2 | 0.17 | ||
| 0.02 | 0.7 | 
| Disclaimer/Publisher’s Note: The statements, opinions and data contained in all publications are solely those of the individual author(s) and contributor(s) and not of MDPI and/or the editor(s). MDPI and/or the editor(s) disclaim responsibility for any injury to people or property resulting from any ideas, methods, instructions or products referred to in the content. | 
© 2023 by the authors. Licensee MDPI, Basel, Switzerland. This article is an open access article distributed under the terms and conditions of the Creative Commons Attribution (CC BY) license (https://creativecommons.org/licenses/by/4.0/).
Share and Cite
Ahmad, S.; Pak, S.; Rahman, M.u.; Al-Bossly, A. On the Analysis of a Fractional Tuberculosis Model with the Effect of an Imperfect Vaccine and Exogenous Factors under the Mittag–Leffler Kernel. Fractal Fract. 2023, 7, 526. https://doi.org/10.3390/fractalfract7070526
Ahmad S, Pak S, Rahman Mu, Al-Bossly A. On the Analysis of a Fractional Tuberculosis Model with the Effect of an Imperfect Vaccine and Exogenous Factors under the Mittag–Leffler Kernel. Fractal and Fractional. 2023; 7(7):526. https://doi.org/10.3390/fractalfract7070526
Chicago/Turabian StyleAhmad, Saeed, Sedat Pak, Mati ur Rahman, and Afrah Al-Bossly. 2023. "On the Analysis of a Fractional Tuberculosis Model with the Effect of an Imperfect Vaccine and Exogenous Factors under the Mittag–Leffler Kernel" Fractal and Fractional 7, no. 7: 526. https://doi.org/10.3390/fractalfract7070526
APA StyleAhmad, S., Pak, S., Rahman, M. u., & Al-Bossly, A. (2023). On the Analysis of a Fractional Tuberculosis Model with the Effect of an Imperfect Vaccine and Exogenous Factors under the Mittag–Leffler Kernel. Fractal and Fractional, 7(7), 526. https://doi.org/10.3390/fractalfract7070526
 
        


 
       