Efficient Generators of the Generalized Fractional Gaussian Noise and Cauchy Processes
Abstract
1. Introduction
2. SRD, LRD and Self-Similarity
3. Generalized Self-Similar Gaussian Processes
3.1. Generalized Fractional Gaussian Noise
3.2. Generalized Cauchy Process
4. The M/G/∞ Process
- A1
- At start , the number of customers in the system follows a Poisson probability mass function with expected value .
- A2
- These customers have a service time given by a distributionwhich is that of the residual (or excess) life of S.
5. M/G/∞-Based Generation of Covariance Functions
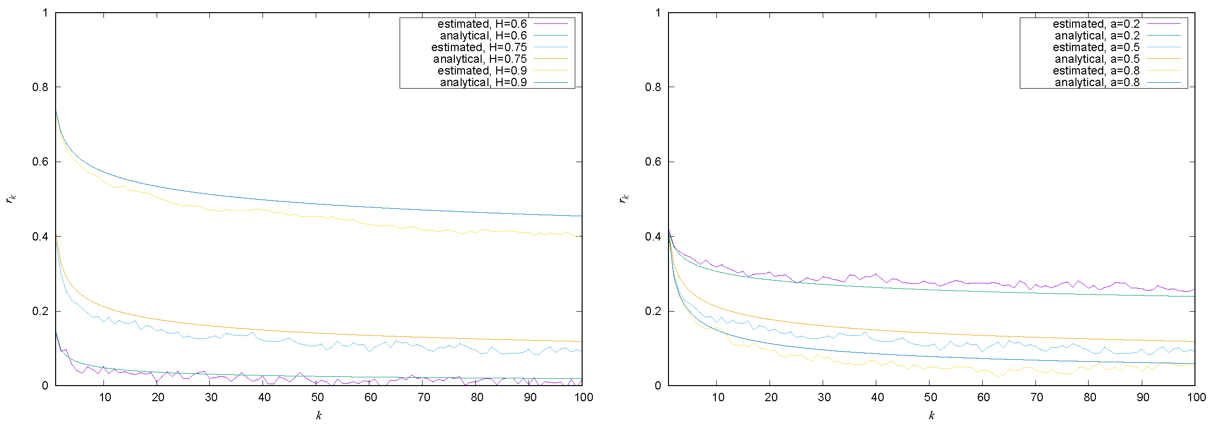
5.1. The gfGn Process
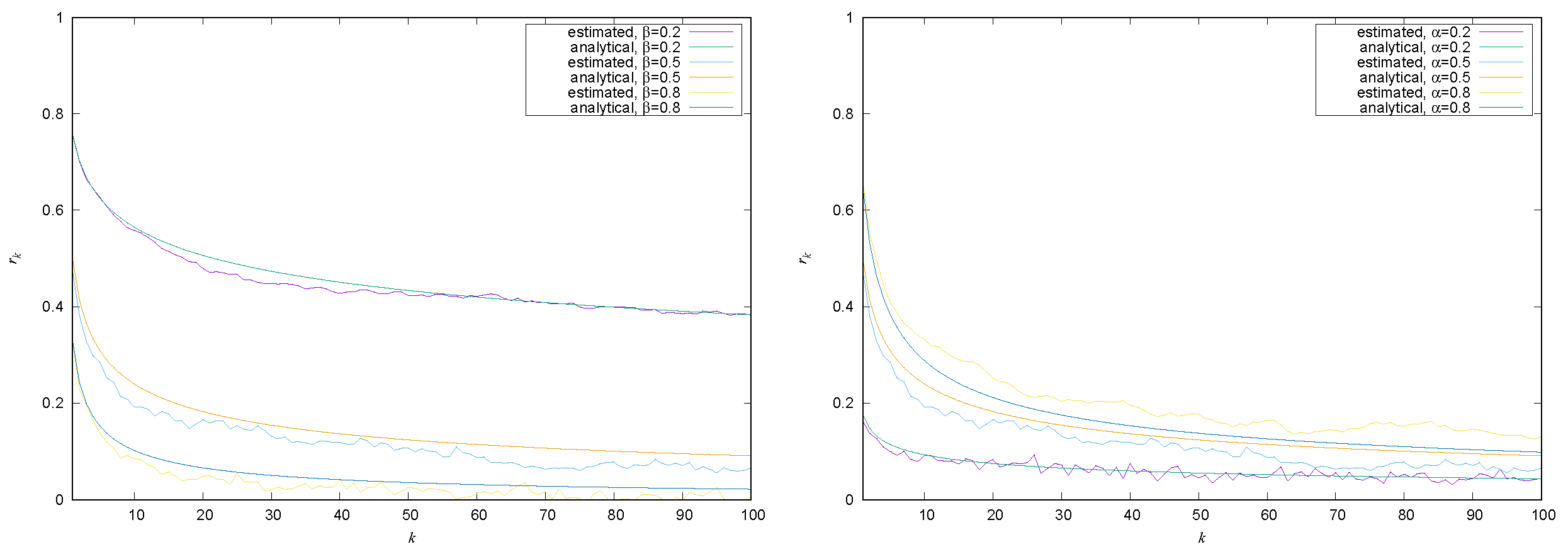
5.2. The Generalized Cauchy Process
5.3. Accuracy
6. Modeling Eempirical Traces
6.1. Whittle’s Estimator
6.2. Examples
- gFGN process: and .
- gGauchy process: and .
7. Discussion
Author Contributions
Funding
Data Availability Statement
Conflicts of Interest
References
- Adas, A. Traffic models in broadband networks. IEEE Commun. Mag. 1997, 35, 82–89. [Google Scholar] [CrossRef]
- Michiel, H.; Laevens, K. Traffic engineering in a broadband era. Proc. IEEE 1997, 81, 2007–2033. [Google Scholar] [CrossRef]
- Leland, W.E.; Taqqu, M.S.; Willinger, W.; Wilson, D.V. On the self-similar nature of Ethernet traffic (extended version). IEEE/ACM Trans. Netw. 1994, 2, 1–15. [Google Scholar] [CrossRef]
- Beran, J.; Sherman, R.; Taqqu, M.S.; Willinger, W. Long-range dependence in variable-bit-rate video traffic. IEEE Trans. Commun. 1995, 43, 1566–1579. [Google Scholar] [CrossRef]
- Paxson, V.; Floyd, S. Wide area traffic: The failure of Poisson modeling. IEEE/ACM Trans. Netw. 1995, 3, 226–244. [Google Scholar] [CrossRef]
- Crovella, M.E.; Bestavros, A. Self-similarity in World Wide Web traffic: Evidence and possible causes. IEEE/ACM Trans. Netw. 1997, 5, 835–846. [Google Scholar] [CrossRef]
- Willinger, W.; Taqqu, M.S.; Sherman, R.; Wilson, D. Self-similarity through high-variability: Statistical analysis of Ethernet LAN traffic at the source level. IEEE/ACM Trans. Netw. 1997, 5, 71–86. [Google Scholar] [CrossRef]
- Tsybakov, B.; Georganas, N.D. Self-similar processes in conmunications networks. IEEE Trans. Inf. Theory 1998, 44, 1713–1725. [Google Scholar] [CrossRef]
- Veres, A.; Kenesi, Z.; Molnár, S.; Vattay, G. TCP’s role in the propagation of self-similarity in the Internet. Comput. Commun. 2003, 26, 899–913. [Google Scholar] [CrossRef]
- Gong, W.B.; Liu, Y.; Misra, V.; Towsley, D. Self-similarity and long range dependence on the Internet: A second look at the evidence, origins and implications. Comput. Netw. 2005, 48, 377–399. [Google Scholar] [CrossRef]
- Park, C.; Hernández, F.; Le, L.; Marron, J.S.; Park, J.; Pipiras, V.; Smith, F.D.; Smith, L.R.; Trovero, M.; Zhu, Z. Long-range dependence analysis of Internet traffic. J. Appl. Stat. 2011, 38, 1407–1433. [Google Scholar] [CrossRef]
- Lee, J.S.R.; Ye, S.K.; Jeong, H.D.J. ATMSim: An anomaly teletraffic detection measurement analysis simulator. Simul. Model. Pract. Theory 2014, 49, 98–109. [Google Scholar] [CrossRef]
- Marchetti, M.; Pierazzi, F.; Colajanni, M.; Guido, A. Analysis of high volumes of network traffic for advanced persistent threat detection. Comput. Netw. 2016, 109, 127–141. [Google Scholar] [CrossRef]
- Fontugne, R.; Abry, P.; Fukuda, K.; Veitch, D.; Cho, K.; Borgnat, P.; Wendt, H. Scaling in Internet Traffic: A 14 year and 3 day longitudinal study, with multiscale analysis and random projections. IEEE/ACM Trans. Netw. 2017, 25, 2152–2165. [Google Scholar] [CrossRef]
- Norros, I. On the use of fractional Brownian motion in the theory of connectionless networks. IEEE J. Sel. Areas Commun. 1995, 13, 953–962. [Google Scholar] [CrossRef]
- Conti, M.; Gregori, E.; Larsson, A. Study of the impact of MPEG-1 correlations on video-sources statistical multiplexing. IEEE J. Sel. Areas Commun. 1996, 14, 1455–1471. [Google Scholar] [CrossRef]
- Erramilli, A.; Narayan, O.; Willinger, W. Experimental queueing analysis with long-range dependent packet traffic. IEEE/ACM Trans. Netw. 1996, 4, 209–223. [Google Scholar] [CrossRef]
- Tsybakov, B.; Georganas, N.D. Self-similar traffic and upper bounds to buffer overflow probability in an ATM queue. Perform. Eval. 1998, 32, 57–80. [Google Scholar] [CrossRef]
- Fonseca, N.L.S.; Mayor, G.S.; Melo, C.A.V. On the equivalent bandwidth of self similar source. ACM Trans. Model. Comput. Simul. 2000, 10, 104–124. [Google Scholar] [CrossRef]
- Ostrowsky, L.O.; Fonseca, N.L.S.; Melo, C.A.V. A multiscaling traffic model for UDP steams. Simul. Model. Pract. Theory 2012, 26, 32–48. [Google Scholar] [CrossRef]
- Vieira, P.H.T.; Rocha, F.G.C.; Santos, J.A. Loss probability estimation and control of OFDM/TDMA wireless systems considering multifractal traffic. Comput. Commun. 2012, 35, 263–271. [Google Scholar] [CrossRef]
- Hajjar, A.; Díaz, J.E.; Khalife, J. Network traffic application identification based on message size analysis. J. Netw. Comput. Appl. 2015, 58, 130–143. [Google Scholar] [CrossRef]
- Delgado, R. A packet-switched network with on/off sources and a bandwidth sharing policy: State space collapse and heavy-traffic. Telecommun. Syst. 2016, 62, 461–479. [Google Scholar] [CrossRef]
- Lokshina, I. Study on estimating probabilities of buffer overflow in high-speed communication networks. Telecommun. Syst. 2016, 62, 289–302. [Google Scholar] [CrossRef]
- Schwefel, H.P.; Antonios, I.; Lipsky, L. Understanding the relationship between network traffic correlation and queueing behavior: A review based on the N-Burst ON/OFF model. Perform. Eval. 2017, 115, 68–91. [Google Scholar] [CrossRef]
- Pinchas, M. Cooperative multiple PTP slaves for timing improvement in a fGn environment. IEEE Commun. Lett. 2018, 22, 1366–1369. [Google Scholar] [CrossRef]
- Eliazar, I.; Klafter, J. A unified and universal explanation for Lévy laws and 1/f noises. Proc. Natl. Acad. Sci. USA 2009, 106, 12251–12254. [Google Scholar] [CrossRef]
- Novak, M. Thinking in Patterns: Fractals and Related Phenomena in Nature; World Scientific Publishing: Singapore, 2004; p. 336. [Google Scholar] [CrossRef]
- Feng, S.; Wang, X.; Sun, H.; Zhang, Y.; Li, L. A better understanding of long-range temporal dependence of traffic flow time series. Phys. Stat. Mech. Its Appl. 2018, 492, 639–959. [Google Scholar] [CrossRef]
- Li, M. Generalized fractional Gaussian noise and its application to traffic modeling. Phys. Stat. Mech. Its Appl. 2021, 579, 126138. [Google Scholar] [CrossRef]
- Gallardo, J.R.; Makrakis, D.; Orozco, L. Use of α-stable self-similar stochastic processes for modeling traffic in broadband networks. Perform. Eval. 2000, 40, 71–98. [Google Scholar] [CrossRef]
- Li, M.; Lim, S.C. Modeling network traffic using generalized Cauchy process. Phys. Stat. Mech. Its Appl. 2008, 387, 2584–2594. [Google Scholar] [CrossRef]
- López, J.C.; López, C.; Suárez, A.; Fernández, M.; Rodríguez, R. On the use of self-similar processes in network simulation. ACM Trans. Model. Comput. Simul. 2000, 10, 125–151. [Google Scholar] [CrossRef]
- Krunz, M.M.; Makowski, A.M. Modeling video traffic using M/G/∞ input processes: A compromise between Markovian and LRD models. IEEE J. Sel. Areas Commun. 1998, 16, 733–748. [Google Scholar] [CrossRef]
- Abry, P.; Veitch, D. Wavelet analysis of long-range-dependent traffic. IEEE Trans. Inf. Theory 1998, 44, 2–15. [Google Scholar] [CrossRef]
- Suárez, A.; López, J.C.; López, C.; Fernández, M.; Rodríguez, R.; Sousa, M.E. A new heavy-tailed discrete distribution for LRD M/G/∞ sample generation. Perform. Eval. 2002, 47, 197–219. [Google Scholar] [CrossRef]
- Sousa, M.E.; Suárez, A.; López, C.; Fernández, M.; López, J.C.; Rodríguez, R.F. Fast simulation of self-similar and correlated processes. Math. Comput. Simul. 2010, 80, 2040–2061. [Google Scholar] [CrossRef]
- Li, M. Modeling autocorrelation functions of long-range dependent teletraffic series based on optimal approximation in Hilbert space: A further study. Appl. Math. Model. 2007, 31, 625–631. [Google Scholar] [CrossRef]
- Gneiting, T.; Schlather, M. Stochastic models that separate fractal dimension and the Hurst effect. SIAM Rev. 2004, 46, 269–282. [Google Scholar] [CrossRef]
- Hall, P.; Roy, R. On the relationship between fractal dimension and fractal index for stationary stochastic processes. Ann. Appl. Probab. 1994, 4, 241–253. [Google Scholar] [CrossRef]
- Whittle, P. Estimation and information in stationary time series. Ark. Mat. 1953, 2, 423–434. [Google Scholar] [CrossRef]
- Beran, J.; Feng, Y.; Ghosh, S.; Kulik, R. Long-Memory Processes. Probabilistic Properties and Statistical Methods; Springer: Berlin/Heidelberg, Germany, 2013. [Google Scholar] [CrossRef]
- Chen, Y.; Sun, R.; Zhou, A. An improved Hurst parameter estimator based on fractional Fourier transform. Telecommun. Syst. 2009, 43, 197–206. [Google Scholar] [CrossRef]
- Pipiras, V.; Taqqu, S.M. Long Range Dependence & Self-Similarity; Cambridge University Press: Cambridge, UK, 2017; p. 688. [Google Scholar] [CrossRef]
- Hurst, H.E. Long-term storage capacity of reservoirs. Trans. Am. Soc. Civ. Eng. 1951, 116, 770–799. [Google Scholar] [CrossRef]
- Kent, J.T.; Wood, A.T.A. Estimating the fractal dimension of a locally self-similar Gaussian process by using increments. J. R. Stat. Soc. Ser. B-Methodol. 1997, 59, 679–699. [Google Scholar]
- Mandelbrot, B.B.; Ness, J.W.V. Fractional brownian motions, fractional noises and applications. SIAM Rev. 1968, 10, 422–437. [Google Scholar] [CrossRef]
- Samorodnitsky, G. Stable Non-Gaussian Random Processes; Chapman & Hall: Boca Raton, FL, USA, 1994; p. 632. [Google Scholar] [CrossRef]
- Taqqu, M.S.; Willinger, W.; Sherman, R. Proof of a fundamental result in self-similar traffic modeling. ACM SIGCOMM Comput. Commun. Rev. 1997, 27, 5–23. [Google Scholar] [CrossRef]
- Li, M. Power Spectrum of Generalized Fractional Gaussian Noise. Adv. Math. Phys. 2013, 2013, 315979. [Google Scholar] [CrossRef]
- Lim, S.C.; Li, M. A generalized Cauchy process and its application to relaxation phenomena. J. Phys. Math. Gen. 2006, 39, 2935–2951. [Google Scholar] [CrossRef]
- Li, M.; Lim, S.C. Power spectrum of generalized Cauchy process. Telecommun. Syst. 2010, 43, 219–222. [Google Scholar] [CrossRef]
- Cox, D.R. Point Processes; Chapman & Hall: Boca Raton, FL, USA, 1980; p. 188. [Google Scholar]
- Sousa, M.E. Efficient online generation of the correlation structure of the fGn process. J. Simul. 2013, 7, 83–89. [Google Scholar] [CrossRef]
- Sousa, M.E.; Suárez, A.; Fernández, M.; López, J.C.; López, C. Model selection for long-memory processes in the spectral domain. Comput. Commun. 2013, 36, 1436–1449. [Google Scholar] [CrossRef]
- Ethernet Trace. Available online: ita.ee.lbl.gov/html/traces.html (accessed on 3 April 2023).
- TCP Trace. Available online: pma.nlanr.net (accessed on 3 April 2023).
- VBR Encoded Trace. Available online: trace.eas.asu.edu (accessed on 3 April 2023).









Disclaimer/Publisher’s Note: The statements, opinions and data contained in all publications are solely those of the individual author(s) and contributor(s) and not of MDPI and/or the editor(s). MDPI and/or the editor(s) disclaim responsibility for any injury to people or property resulting from any ideas, methods, instructions or products referred to in the content. |
© 2023 by the authors. Licensee MDPI, Basel, Switzerland. This article is an open access article distributed under the terms and conditions of the Creative Commons Attribution (CC BY) license (https://creativecommons.org/licenses/by/4.0/).
Share and Cite
Sousa-Vieira, M.E.; Fernández-Veiga, M. Efficient Generators of the Generalized Fractional Gaussian Noise and Cauchy Processes. Fractal Fract. 2023, 7, 455. https://doi.org/10.3390/fractalfract7060455
Sousa-Vieira ME, Fernández-Veiga M. Efficient Generators of the Generalized Fractional Gaussian Noise and Cauchy Processes. Fractal and Fractional. 2023; 7(6):455. https://doi.org/10.3390/fractalfract7060455
Chicago/Turabian StyleSousa-Vieira, María Estrella, and Manuel Fernández-Veiga. 2023. "Efficient Generators of the Generalized Fractional Gaussian Noise and Cauchy Processes" Fractal and Fractional 7, no. 6: 455. https://doi.org/10.3390/fractalfract7060455
APA StyleSousa-Vieira, M. E., & Fernández-Veiga, M. (2023). Efficient Generators of the Generalized Fractional Gaussian Noise and Cauchy Processes. Fractal and Fractional, 7(6), 455. https://doi.org/10.3390/fractalfract7060455

