Local Stabilization of Delayed Fractional-Order Neural Networks Subject to Actuator Saturation
Abstract
:1. Introduction
- (1)
- According to the feature of actuator saturation, a dead-zone nonlinear function is used to design the feedback control gain matrix from the saturation function. Then, a novel closed-loop model is derived, which can contribute to the stability analysis.
- (2)
- In view of the fractional-order Lyapunov theory and the estimation technique of Mittag–Leffler function, an LMIs-based stability condition is derived for the closed-loop systems. On this basis, two optimization schemes, by applying convex optimization techniques, are respectively proposed to enlarge the region of admissible initial values and minimize the actuator costs.
2. Preliminaries and Problem Formulation
3. Main Results
4. Optimization Schemes
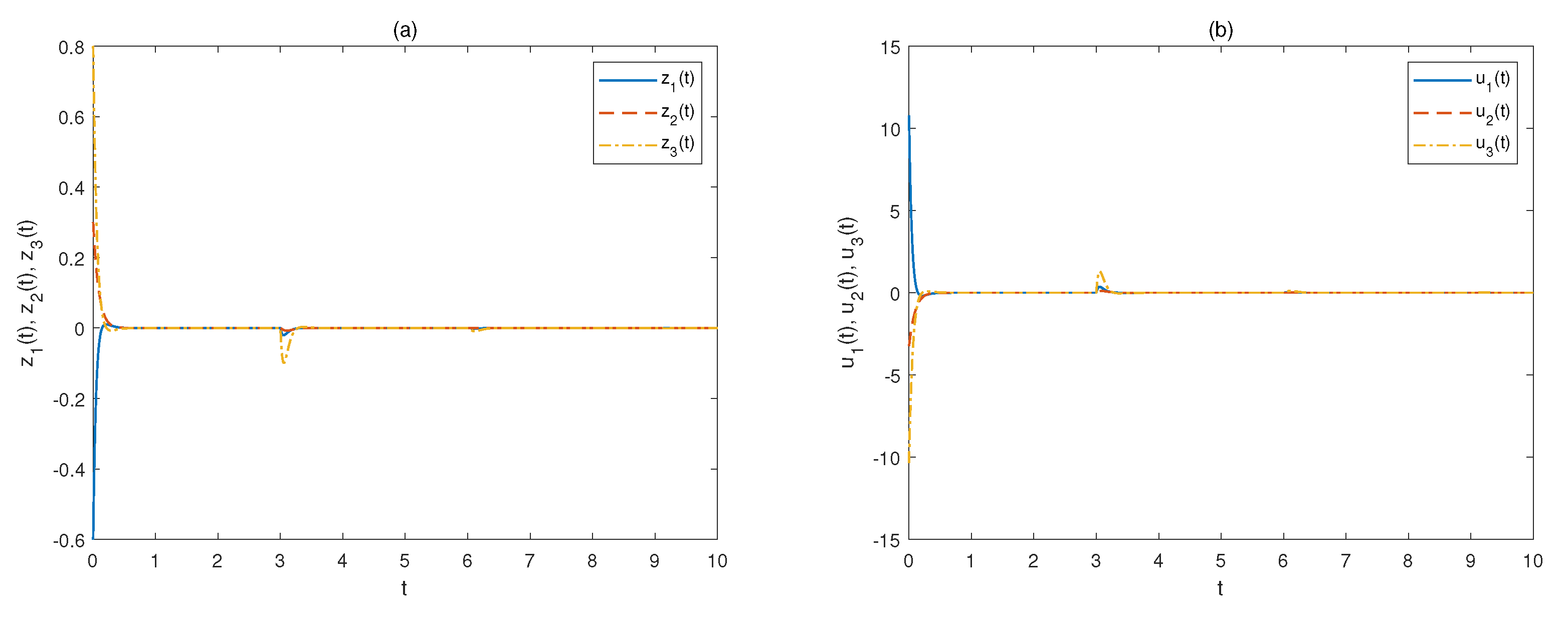
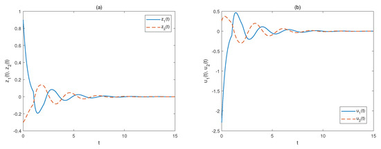
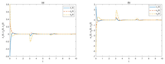
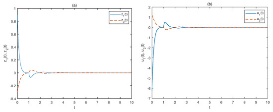
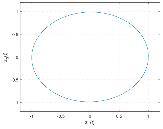
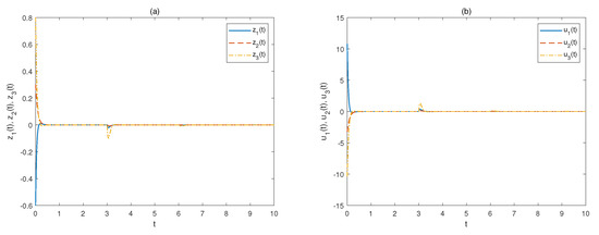
5. Numerical Examples
- I.
- Optimization scheme A for Example 1
- II.
- Optimization scheme B for Example 1
- I.
- Optimization scheme A for Example 2
- II.
- Optimization Scheme B for Example 2
6. Conclusions
Author Contributions
Funding
Institutional Review Board Statement
Informed Consent Statement
Data Availability Statement
Acknowledgments
Conflicts of Interest
Abbreviation
| FNNs | fractional-order neural networks |
References
- Podlubny, I. Fractional Differential Equations; Academic Press: Cambridge, MA, USA, 1998. [Google Scholar]
- Chen, L.; Chen, Y.; Lopes, A.M.; Kong, H.; Wu, R. State of charge estimation of lithium-ion batteries based on fuzzy fractional-order unscented kalman filter. Fractal Fract. 2021, 5, 91. [Google Scholar] [CrossRef]
- Kaslik, E.; Sivasundaram, S. Nonlinear dynamics and chaos in fractional-order neural networks. Neural Net. 2012, 32, 245–256. [Google Scholar] [CrossRef] [PubMed]
- Si, X.; Wang, Z.; Song, Z.; Zhang, Z. Asymptotic stabilization of delayed linear fractional-order systems subject to state and control constraints. Fractal Fract. 2022, 6, 67. [Google Scholar] [CrossRef]
- Abdelouahab, M.S.; Lozi, R.; Chua, L.O. Memfractance: A mathematical paradigm for circuit elements with memory. Int. J. Bifurc. Chaos 2014, 24, 1430023. [Google Scholar] [CrossRef]
- Lundstrom, B.N.; Higgs, M.H.; Spain, W.J.; Fairhall, A.L. Fractional differentiation by neocortical pyramidal neurons. Nat. Neurosci. 2008, 11, 1335–1342. [Google Scholar] [CrossRef]
- Westerlund, S.; Ekstam, L. Capacitor theory. IEEE Trans. Dielect. Electron. Insul. 1994, 1, 826–839. [Google Scholar] [CrossRef]
- Yu, Y.; Zhang, Z. State estimation for complex-valued inertial neural networks with multiple time delays. Mathematics 2022, 10, 1725. [Google Scholar] [CrossRef]
- Ma, Q.; Xu, S. Consensus switching of second-order multiagent systems with time delay. IEEE Trans. Cybern. 2022, 52, 3349–3353. [Google Scholar] [CrossRef]
- Wang, Z.; Wang, X.; Li, Y.; Haung, X. Stability and hopf bifurcation of fractional-order complex-valued single neuron model with time delay. Int. J. Bifurc. Chaos 2018, 27, 1750209. [Google Scholar] [CrossRef]
- Yang, S.; Hu, C.; Yu, J.; Jiang, H. Exponential stability of fractional-order impulsive control systems with applications in synchronization. IEEE Trans. Cybern. 2020, 50, 3157–3168. [Google Scholar] [CrossRef]
- Rajchakit, G.; Chanthorn, P.; Niezabitowski, M.; Raja, R.; Baleanu, D.; Pratap, A. Impulsive effects on stability and passivity analysis of memristor-based fractional-order competitive neural networks. Neurocomputing 2020, 417, 290–301. [Google Scholar] [CrossRef]
- Wan, P.; Sun, D.; Zhao, M.; Zhao, H. Monostability and multistability for almost-periodic solutions of fractional-order neural networks with unsaturating piecewise linear activation functions. IEEE Trans. Neural Netw. Learn. Syst. 2020, 31, 5138–5152. [Google Scholar] [CrossRef]
- Phat, V.N.; Thanh, N.T. New criteria for finite-time stability of nonlinear fractional-order delay systems: A Gronwall inequality approach. Appl. Math. Lett. 2018, 83, 169–175. [Google Scholar] [CrossRef]
- Ding, Z.; Zeng, Z.; Wang, L. Robust finite-time stabilization of fractional-order neural networks with discontinuous and continuous activation functions under uncertainty. IEEE Trans. Neural Netw. Learn. Syst. 2018, 29, 1477–1490. [Google Scholar] [CrossRef]
- Rajchakit, G.; Chanthorn, P.; Kaewmesri, P.; Sriraman, R.; Lim, C.P. Global Mittag-Leffler stability and stabilization analysis of fractional-order quaternion-valued memristive neural networks. Mathematics 2020, 8, 42. [Google Scholar] [CrossRef]
- Yang, Z.; Zhang, J. Global stabilization of fractional-order bidirectional associative memory neural networks with mixed time delays via adaptive feedback control. Int. J. Comput. Math. 2020, 97, 2074–2090. [Google Scholar] [CrossRef]
- Bao, H.; Park, J.; Cao, J. Adaptive synchronization of fractional-order output-coupling neural networks via quantized output control. IEEE Trans. Neural Netw. Learn. Syst. 2020, 32, 3230–3239. [Google Scholar] [CrossRef]
- Zhang, S.; Yu, Y.; Yu, J. LMI conditions for global stability of fractional-order neural networks. IEEE Trans. Neural Netw. Learn. Syst. 2017, 28, 2423–2433. [Google Scholar] [CrossRef]
- Fan, Y.; Huang, X.; Wang, Z.; Li, Y. Global dissipativity and quasi-synchronization of asynchronous updating fractional-order memristor-based neural networks via interval matrix method. J. Frankl. Inst. 2018, 355, 5998–6025. [Google Scholar] [CrossRef]
- Chen, L.; Yin, H.; Wu, R.; Yin, L.; Chen, Y. Robust dissipativity and dissipation of a class of fractional-order uncertain linear systems. IET Control Theory Appl. 2019, 13, 1454–1465. [Google Scholar] [CrossRef]
- Zhang, F.; Zeng, Z. Asymptotic stability and synchronization of fractional-order neural networks with unbounded time-varying delays. IEEE Trans. Syst. Man Cybern. Syst. 2021, 51, 5547–5556. [Google Scholar] [CrossRef]
- Jia, J.; Wang, F.; Zeng, Z. Global stabilization of fractional-order memristor-based neural networks with incommensurate orders and multiple time-varying delays: A positive-system-based approach. Nonlinear Dyn. 2021, 104, 2303–2329. [Google Scholar] [CrossRef]
- Gomes da Silva, M.; Tarbouriech, S. Anti-windup design with guaranteed region of stability: An LMI-based approach. IEEE Trans. Autom. Control 2005, 50, 1698–1711. [Google Scholar]
- Seuret, A.; da Silva, M.G. Taking into account period variations and actuator saturation in sampled-data systems. Syst. Control Lett. 2012, 61, 1286–1293. [Google Scholar] [CrossRef]
- Fan, Y.; Huang, X.; Wang, Z.; Xia, J.; Shen, H. Discontinuous event-triggered control for local stabilization of memristive neural networks with actuator saturation: Discrete-time and continuous-time Lyapunov methods. IEEE Trans. Neural Netw. Learn. Syst. 2021, 1–13. [Google Scholar] [CrossRef]
- Chen, Y.; Wang, Z.; Shen, B.; Dong, H. Exponential synchronization for delayed dynamical networks via intermittent control: Dealing with actuator saturations. IEEE Trans. Neural Netw. Learn. Syst. 2019, 30, 1000–1012. [Google Scholar] [CrossRef]
- Sun, W.; Wu, Y.; Lv, X. Adaptive neural network control for full-state constrained robotic manipulator with actuator saturation and time-varying delays. IEEE Trans. Neural Netw. Learn. Syst. 2022, 33, 3331–3342. [Google Scholar] [CrossRef]
- Wei, Z.; Li, Q.; Che, J. Initial value problems for fractional differential equations involving riemann-liouville sequential fractional derivative. J. Math. Anal. Appl. 2010, 367, 260–272. [Google Scholar] [CrossRef]
- Wang, D.; Xiao, A.; Liu, H. Dissipativity and stability analysis for fractional functional differential equations. Fract. Calc. Appl. Anal. 2015, 18, 1399–1422. [Google Scholar] [CrossRef]
- Wu, Z.; Shi, P.; Su, H.; Chu, J. Local synchronization of chaotic neural networks with sampled-data and saturating actuators. IEEE Trans. Cybern. 2014, 44, 2635–2645. [Google Scholar]
- Chen, G.; Sun, J.; Xia, J. Estimation of domain of attraction for aperiodic sampled-data switched delayed neural networks subject to actuator saturation. IEEE Trans. Neural Netw. Learn. Syst. 2020, 31, 1489–1503. [Google Scholar] [CrossRef]
- Fan, Y.; Huang, X.; Wang, Z.; Li, Y. Quantised control for local Mittag-Leffler stabilization of fractional-order neural networks with input saturation: A refined sector condition. IET Contr. Theory Appl. 2021, 16, 366–376. [Google Scholar] [CrossRef]
- Duarte-Mermoud, M.A.; Aguila-Camacho, N.; Gallegos, J.A.; Castro-Linares, R. Using general quadratic Lyapunov functions to prove Lyapunov uniform stability for fractional order systems. Commun. Nonlinear Sci. Numer. Simul. 2015, 22, 650–659. [Google Scholar] [CrossRef]








| Notation | Description |
|---|---|
| diag | a block diagonal matrix |
| LMIs | linear matrix inequalities |
| E is a positive | |
| (or | definite (or semi-definite) matrix |
| transpose (or inverse) of matrix E | |
| ∗ | the symmetric element |
| the i-th row of matrix E | |
| the maximum eigenvalue of matrix E | |
| 0 | zero (or identity) matrices |
| of appropriate dimensions |
Publisher’s Note: MDPI stays neutral with regard to jurisdictional claims in published maps and institutional affiliations. |
© 2022 by the authors. Licensee MDPI, Basel, Switzerland. This article is an open access article distributed under the terms and conditions of the Creative Commons Attribution (CC BY) license (https://creativecommons.org/licenses/by/4.0/).
Share and Cite
Fan, Y.; Huang, X.; Wang, Z. Local Stabilization of Delayed Fractional-Order Neural Networks Subject to Actuator Saturation. Fractal Fract. 2022, 6, 451. https://doi.org/10.3390/fractalfract6080451
Fan Y, Huang X, Wang Z. Local Stabilization of Delayed Fractional-Order Neural Networks Subject to Actuator Saturation. Fractal and Fractional. 2022; 6(8):451. https://doi.org/10.3390/fractalfract6080451
Chicago/Turabian StyleFan, Yingjie, Xia Huang, and Zhen Wang. 2022. "Local Stabilization of Delayed Fractional-Order Neural Networks Subject to Actuator Saturation" Fractal and Fractional 6, no. 8: 451. https://doi.org/10.3390/fractalfract6080451
APA StyleFan, Y., Huang, X., & Wang, Z. (2022). Local Stabilization of Delayed Fractional-Order Neural Networks Subject to Actuator Saturation. Fractal and Fractional, 6(8), 451. https://doi.org/10.3390/fractalfract6080451

