An Investigation of Fractional One-Dimensional Groundwater Recharge by Spreading Using an Efficient Analytical Technique
Abstract
:1. Introduction
2. Research Basics Definitions
3. Mathematical Formulation
4. Discussions
4.1. Linear Diffusivity and Nonlinear Conductivity
4.2. Linear Diffusivity and Linear Conductivity
4.3. Non-Linear Diffusivity and Linear Conductivity
5. The Basic Concept of the q-HATM
5.1. Solution Procedure for the First Case of Richard’s Equation
5.2. Solution Procedure for the Second Case of Richard’s Equation
5.3. Solution Procedure for the Third Case of Richard’s Equation
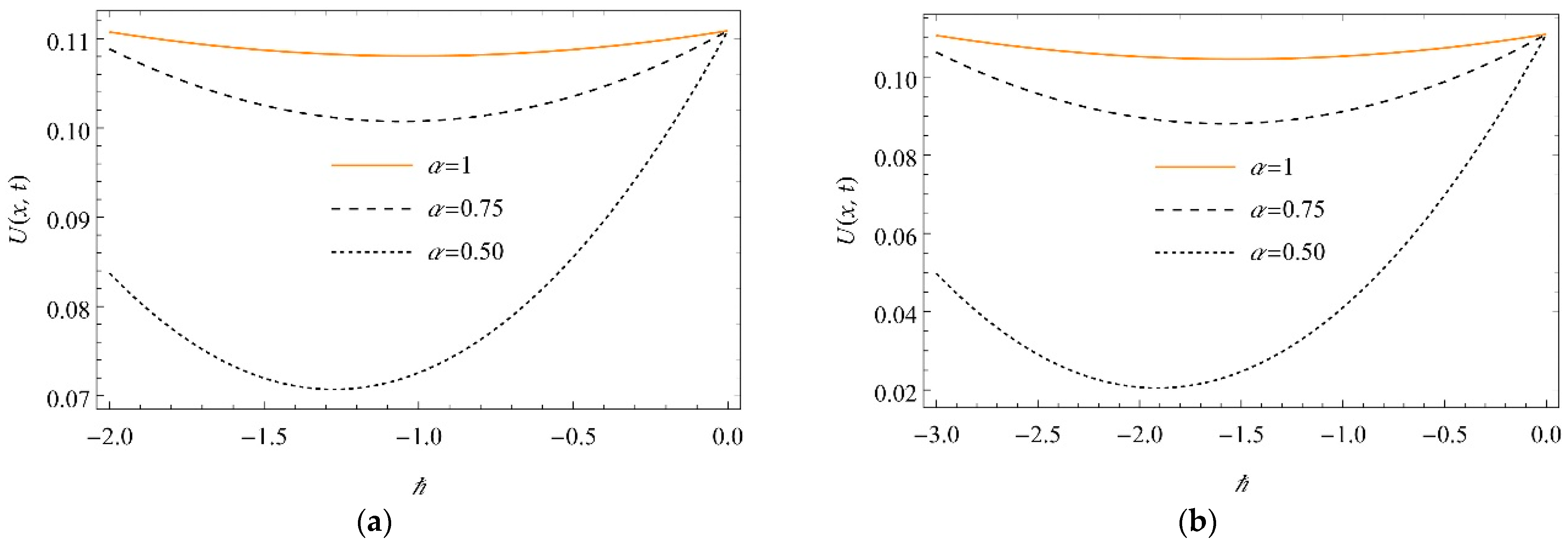
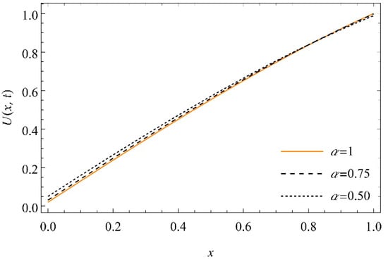
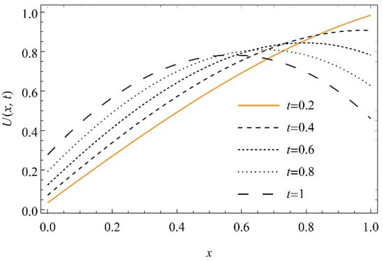
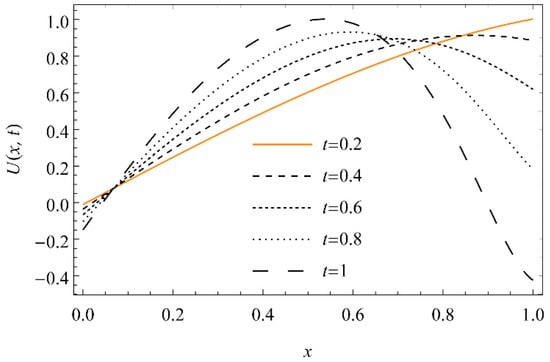
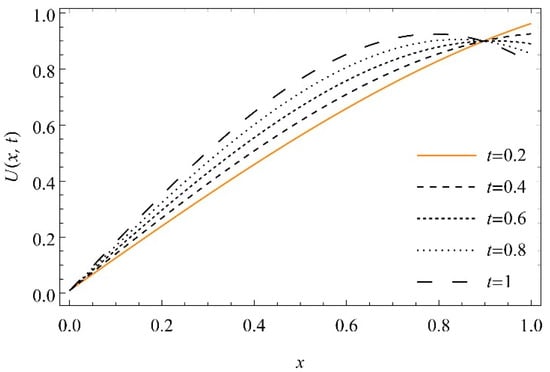
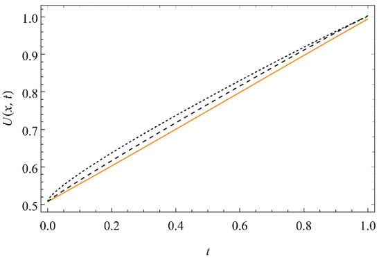
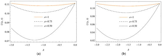
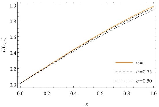
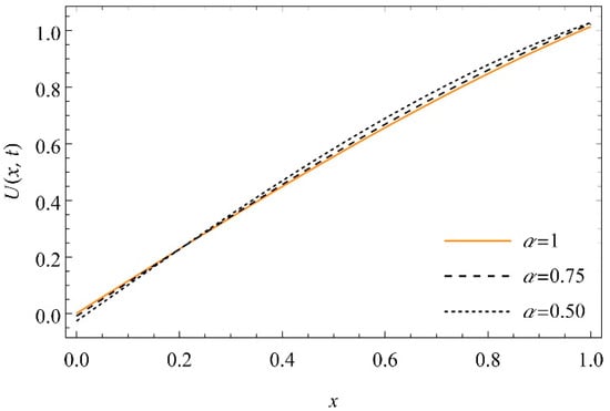
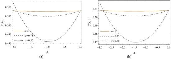
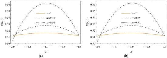
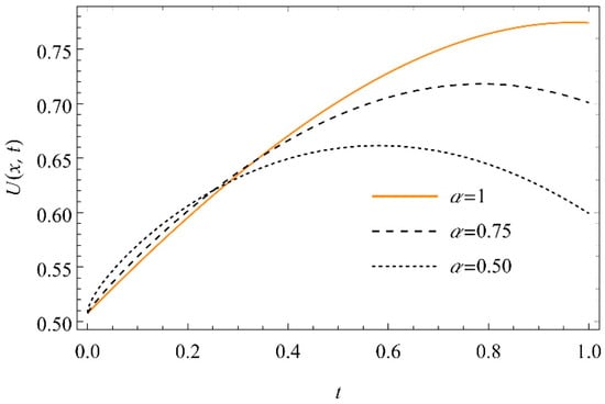
6. Numerical Results and Discussion
7. Conclusions
Author Contributions
Funding
Data Availability Statement
Conflicts of Interest
References
- Samko, S.G.; Kilbas, A.A.; Marichev, O. Fractional Integrals and Derivatives: Theory and Applications; Gordon and Breach: Philadelphia, PA, USA, 1993. [Google Scholar]
- Kilbas, A.; Srivastava, H.M.; Trujillo, J.J. Theory and Applications of Fractional Differential Equations; Elsevier Science Limited: Amsterdam, The Netherlands, 2006. [Google Scholar]
- Zaslavsky, G. Hamiltonian Chaos and Fractional Dynamics; Oxford University Press: Oxford, UK, 2005. [Google Scholar]
- Baleanu, D.; Diethelm, K.; Scala, E.; Trujillo, J.J. Fractional Calculus: Models and Numerical Methods, Series on Complexity, Nonlinearity and Chaos; World Scientific Publishing Company: Singapore, 2012. [Google Scholar]
- Mainardi, F. Fractional Calculus and Waves in Linear Viscoelasticity: An Introduction to Mathematical Models; World Scientific Publishing Company: Singapore, 2010. [Google Scholar]
- Tarasov, V.E. Fractional Dynamics: Applications of Fractional Calculus to Dynamics of Particles, Fields and Media; Springer Science & Business Media: Berlin/Heidelberg, Germany, 2011. [Google Scholar]
- Ortigueira, M.D. Fractional Calculus for Scientists and Engineers; Springer Science & Business Media: Berlin/Heidelberg, Germany, 2011. [Google Scholar]
- Monje, C.A.; Chen, Y.Q.; Vinagre, B.M.; Xue, D.; Feliu-Batlle, V. Fractional Order Systems and Controls; Springer Science & Business Media: Berlin/Heidelberg, Germany, 2010. [Google Scholar]
- Hifler, R. Applications of Fractional Calculus in Physics; World Scientific: Singapore, 2000. [Google Scholar]
- Klages, R.; Radons, G.; Sokolov, I.M. Anomalous Transport: Foundations and Applications; Wiley-VCH: Weinheim, Germany, 2008. [Google Scholar]
- Podlubny, I. Fractional Differential Equations; Academic Press: Cambridge, MA, USA, 1999. [Google Scholar]
- Prakash, A.; Goyal, M.; Gupta, S. Fractional variational iteration method for solving time-fractional Newell-Whitehead-Segel equation. Nonlinear Eng. 2019, 8, 164–171. [Google Scholar] [CrossRef]
- Yokus, A.; Bulut, H. Numerical simulation of KdV equation by finite difference method. Indian J. Phys. 2018, 92, 1571–1575. [Google Scholar] [CrossRef]
- Liao, S. On the homotopy analysis method for nonlinear problems. Appl. Math. Comput. 2004, 147, 499–513. [Google Scholar] [CrossRef]
- Khan, M.; Gondal, M.A. Homotopy perturbation pade transform method for blasius flow equation using He’s polynomials. Int. J. Nonlinear Sci. Numer. Simul. 2011, 12, 1–7. [Google Scholar] [CrossRef]
- Liu, Z.J.; Adamu, M.Y.; Suleiman, E.; He, J.H. Hybridization of homotopy perturbation method and Laplace transformation for the partial differential equations. Therm. Sci. 2017, 21, 1843–1846. [Google Scholar] [CrossRef] [Green Version]
- Prakash, A.; Veeresha, P.; Prakasha, D.G.; Goyal, M. A homotopy technique for a fractional order multi-dimensional telegraph equation via the Laplace transform. Eur. Phys. J. Plus 2019, 134, 19. [Google Scholar] [CrossRef]
- Malagi, N.S.; Veeresha, P.; Prasannakumara, B.C.; Prasanna, G.D.; Prakasha, D.G. A new computational technique for the analytic treatment of time-fractional Emden Fowler equations. Math. Comput. Simul. 2021, 190, 362–376. [Google Scholar] [CrossRef]
- Prakasha, D.G.; Malagi, N.S.; Veeresha, P. New approach for fractional Schrödinger-Boussinesq equations with Mittag-Leffler kernel. Math. Meth. Appl. Sci. 2020, 43, 9654–9670. [Google Scholar] [CrossRef]
- Patil, S.B.; Chore, H.S. Contaminant transport through porous media: An overview of experimental and numerical studies. Adv. Environ. Res. 2014, 3, 45–69. [Google Scholar] [CrossRef] [Green Version]
- Raji, J.; Anitha, R.; Niranjan, C.M.; Sudheendra, S.R. Mathematical Solutions of Transport of Pollutants through Unsaturated Porous Media with Adsorption in a Finite Domain. January 2014. Available online: http://13.232.72.61:8080/jspui/handle/123456789/546 (accessed on 10 March 2022).
- Sen, T.K. Processes in Pathogenic Biocolloidal Contaminants Transport in Saturated and Unsaturated Porous Media: A Review. Water Air Soil Pollut. 2011, 216, 239–256. [Google Scholar] [CrossRef]
- Xu, S.; Qi, J.; Chen, X.; Lazouskaya, V.; Zhuang, J.; Jin, Y. Coupled effect of extended DLVO and capillary interactions on the retention and transport of colloids through unsaturated porous media. Sci. Total Environ. 2016, 573, 564–572. [Google Scholar] [CrossRef] [PubMed]
- Bear, J. Dynamics of Fluids in Porous Media; American Elasevier Publishing Co. Inc.: New York, NY, USA, 1972. [Google Scholar]
- Corey, A.T. Mechanics of Immiscible Fluids in Porous Media; Water Resources Publication: Fort Collins, CO, USA, 1994. [Google Scholar]
- Nasseri, M.; Daneshbod, Y.; Pirouz, M.D.; Rakshandehroo, G.R.; Shirzad, A. New analytical solution to water content simulation in porous media. J. Irrig. Drain. Eng. 2012, 138, 328–335. [Google Scholar] [CrossRef]
- Witelski, T. Motion of wetting fronts moving into partially pre-wet soil. Adv. Water Resour. 2005, 28, 1133–1141. [Google Scholar] [CrossRef]



















| 0.2 | 0.1252 | 0.2394 | 0.3510 | 0.4590 | 0.5620 | 0.6590 | 0.7486 | 0.8299 | 0.9015 |
| 0.4 | 0.1399 | 0.2681 | 0.3915 | 0.5077 | 0.6145 | 0.7095 | 0.7905 | 0.8549 | 0.9007 |
| 0.6 | 0.1542 | 0.2960 | 0.4307 | 0.5549 | 0.6653 | 0.7583 | 0.8307 | 0.8789 | 0.8997 |
| 0.8 | 0.1682 | 0.3232 | 0.4689 | 0.6009 | 0.7147 | 0.8056 | 0.8697 | 0.9021 | 0.8984 |
| 1 | 0.1820 | 0.3500 | 0.5065 | 0.6420 | 0.7632 | 0.8523 | 0.9079 | 0.9246 | 0.8970 |
| 0.2 | 0.1538 | 0.2705 | 0.3838 | 0.4925 | 0.5954 | 0.6914 | 0.7794 | 0.8582 | 0.9267 |
| 0.4 | 0.2088 | 0.3388 | 0.4605 | 0.5717 | 0.6704 | 0.7545 | 0.8221 | 0.8712 | 0.9000 |
| 0.6 | 0.2748 | 0.4130 | 0.5363 | 0.6422 | 0.7281 | 0.7919 | 0.8311 | 0.8438 | 0.8280 |
| 0.8 | 0.3512 | 0.4903 | 0.6069 | 0.6989 | 0.7642 | 0.8010 | 0.8075 | 0.7819 | 0.7222 |
| 1 | 0.4366 | 0.5667 | 0.6667 | 0.7359 | 0.7742 | 0.7808 | 0.7550 | 0.6955 | 0.5988 |
| 0.2 | 0.1195 | 0.2476 | 0.3720 | 0.4910 | 0.6030 | 0.7062 | 0.7992 | 0.8806 | 0.9489 |
| 0.4 | 0.1308 | 0.2924 | 0.4442 | 0.5817 | 0.7003 | 0.7962 | 0.8655 | 0.9049 | 0.9119 |
| 0.6 | 0.1446 | 0.3459 | 0.5278 | 0.6813 | 0.7985 | 0.8719 | 0.8940 | 0.8585 | 0.7634 |
| 0.8 | 0.1619 | 0.4101 | 0.6239 | 0.7900 | 0.8968 | 0.9317 | 0.8790 | 0.7264 | 0.4690 |
| 1 | 0.1848 | 0.4872 | 0.7326 | 0.9054 | 0.9939 | 0.9784 | 0.8214 | 0.4826 | −0.0152 |
Publisher’s Note: MDPI stays neutral with regard to jurisdictional claims in published maps and institutional affiliations. |
© 2022 by the authors. Licensee MDPI, Basel, Switzerland. This article is an open access article distributed under the terms and conditions of the Creative Commons Attribution (CC BY) license (https://creativecommons.org/licenses/by/4.0/).
Share and Cite
Javare Gowda, R.; Singh, S.; Padmarajaiah, S.S.; Khan, U.; Zaib, A.; Weera, W. An Investigation of Fractional One-Dimensional Groundwater Recharge by Spreading Using an Efficient Analytical Technique. Fractal Fract. 2022, 6, 249. https://doi.org/10.3390/fractalfract6050249
Javare Gowda R, Singh S, Padmarajaiah SS, Khan U, Zaib A, Weera W. An Investigation of Fractional One-Dimensional Groundwater Recharge by Spreading Using an Efficient Analytical Technique. Fractal and Fractional. 2022; 6(5):249. https://doi.org/10.3390/fractalfract6050249
Chicago/Turabian StyleJavare Gowda, Rekha, Sandeep Singh, Suma Seethakal Padmarajaiah, Umair Khan, Aurang Zaib, and Wajaree Weera. 2022. "An Investigation of Fractional One-Dimensional Groundwater Recharge by Spreading Using an Efficient Analytical Technique" Fractal and Fractional 6, no. 5: 249. https://doi.org/10.3390/fractalfract6050249
APA StyleJavare Gowda, R., Singh, S., Padmarajaiah, S. S., Khan, U., Zaib, A., & Weera, W. (2022). An Investigation of Fractional One-Dimensional Groundwater Recharge by Spreading Using an Efficient Analytical Technique. Fractal and Fractional, 6(5), 249. https://doi.org/10.3390/fractalfract6050249

