Next Article in Journal
Modeling the Chemical Pollution of the Area by the Random-Addition Method
Next Article in Special Issue
Controllability of Fractional Stochastic Delay Systems Driven by the Rosenblatt Process
Previous Article in Journal
Different Stochastic Resonances Induced by Multiplicative Polynomial Trichotomous Noise in a Fractional Order Oscillator with Time Delay and Fractional Gaussian Noise
 
 
Font Type:
Arial Georgia Verdana
Font Size:
Aa Aa Aa
Line Spacing:
Column Width:
Background:
Article

Synchronization of Fractional Stochastic Chaotic Systems via Mittag-Leffler Function

1
Department of Mathematics, Guizhou University, Guiyang, Guizhou 550025, China
2
Institute of Actuarial Science and Data Analytics, UCSI University, Kuala Lumpur 56000, Malaysia
3
Department of Mathematical Analysis and Numerical Mathematics, Faculty of Mathematics, Physics and Informatics, Comenius University in Bratislava, Mlynská Dolina, 842 48 Bratislava, Slovakia
4
Mathematical Institute, Slovak Academy of Sciences, Štefánikova 49, 814 73 Bratislava, Slovakia
*
Author to whom correspondence should be addressed.
Fractal Fract. 2022, 6(4), 192; https://doi.org/10.3390/fractalfract6040192
Submission received: 18 February 2022 / Revised: 27 March 2022 / Accepted: 28 March 2022 / Published: 30 March 2022
(This article belongs to the Special Issue Fractional Order Systems: Deterministic and Stochastic Analysis II)

Abstract

:
This paper is involved with synchronization of fractional order stochastic systems in finite dimensional space, and we have tested its time response and stochastic chaotic behaviors. Firstly, we give a representation of solution for a stochastic fractional order chaotic system. Secondly, some useful sufficient conditions are investigated by using matrix type Mittag-Leffler function, Jacobian matrix via stochastic process, stability analysis and feedback control technique to assure the synchronization of stochastic error system. Thereafter, numerical illustrations are provided to verify the theoretical parts.

1. Introduction

A stochastic fractional-order chaotic system states that within the apparent randomness of chaotic complex systems, there are underlying patterns, interconnectedness, constant feedback loops, repetition, self-similarity, fractals, and self-organization. The synchronization of chaotic system has attracted many researchers by its potential applications in many areas: biological models and engineering systems (see [1,2]). Synchronization of two different pairs of fractional order systems with Lotka–Volterra chaotic system is studied in [3] using active control method. Chaos synchronization of two identical systems via a suitable linear controller applied to the response system was investigated in [4]. Based on the idea of tracking control and stability theory of fractional-order systems, a novel synchronization approach for fractional order chaotic systems is proposed in [5]. A modified chaotic system under the fractional operator with singularity has been studied in [6]. The global asymptotic synchronization problem of nonidentical fractional-order neural networks with Riemann–Liouville derivative is proposed in [7]. Fractional-order disturbance observer-based adaptive sliding mode synchronization control for a class of fractional-order chaotic systems with unknown bounded disturbances is studied in [8]. An adaptive control law consisting of fractional order feedback and sliding mode control is proposed for synchronization of fractional order chaotic systems with uncertain parameters in [9]. By employing appropriate methodology, some useful sufficient conditions for exponential synchronization of non-integer order chaotic systems is presented in [10]. On the theory and applications of the fractional-order chaotic system described by the Caputo, fractional derivative is presented in [11].
Extensions of deterministic synchronization concepts to stochastic systems have been discussed simplest in a restrained variety of publications. Synchronization among two solutions and among distinctive additives of answers beneath certain dissipative situations have been acquired in [12]. Based on the orthogonal polynomial expansion, modified projective synchronization of fractional order chaotic systems with random and uncertain parameters is analyzed in [13]. With the aid of the usage of suitable controllers and adaptive laws of the unknown parameters, adaptive synchronization of a stochastic fractional order device with unknown parameters is studied in [14]. Several sufficient conditions are derived for adaptive synchronization of neural networks with uncertainty and stochastic noise by utilizing adaptive feedback methods and linear matrix inequality in [15]. Exponential synchronization criteria for a new class of stochastic neural networks driven by fractional Brownian motion have been established in [16].
Recently, a new differentiation concept has been introduced where the operator has two orders such as: (1) fractional order and (2) fractal dimension. Only a few researchers have studied this type of differential and integral operators. Atangana et al. [17] considered the new generalization of integer order diffusion equations to second order fractional diffusion equation. Moreover, this kind of problem has been applied to model chaotic systems, and also biology models with much of success. Additionally, many studies exist on synchronization of fractional systems by using Lyapunov exponents technique, chaotic analysis, etc. The idea proposed in this paper is new, and it should also be mentioned that the stochastic Jacobian matrix is utilized to prove our main results.
In this paper, we study a fractional order stochastic chaotic system using the Mittag-Leffler functions. The main contributions of this paper are mentioned in this paragraph. A key problem of a nonlinear fractional stochastic chaotic system to prove the synchronization results by using convergence concept of Mittag-Leffler matrix functions. The main advantage of the proposed model is that the time response of master systems makes an impact in the slave systems. These kind of models are more interesting and meaningful to investigate the synchronization effects through feedback controller.
This paper is systematized as follows: In Section 2, some preliminary contents are given based on a nonlinear stochastic chaotic system. In Section 3, important Lemma and main Theorem are proved based on the right hypothesis on nonlinear stochastic term. Numerical examples are provided to verify the theoretical results, and to show the accuracy and effectiveness of the proposed method in Section 4. In the end, a conclusion is given in Section 5.

2. Preliminaries

In this section, we define the finite dimensional stochastic space and recall some basics of fractional calculus definitions, appropriate assumptions and useful lemmas that will be used in investigate our main results.
Let ( Ω , F , P ) be a probability space with probability measure P on Ω and let { F t | t R + : = [ 0 , ) } be a filtration generated by { w ( s ) : s 0 } and for every T > 0 , F = F T . Let L 2 ( Ω , F T , R n ) be the Hilbert space of all F T measurable square integrable variables with values in R n . Let B : = C ( R + , L 2 ( Ω , F T , P , R n ) ) be the Banach space of all square integrable and F t adapted processes x ( t ) with norm x C 2 = sup t R + E x ( t ) 2 . We consider the matrix norm A = sup x = 1 A x for the matrix A : R n R n .
Definition 1
([18]). The fractional integral of order q with the lower limit 0 for function f is defined as
I 0 q f ( t ) = 1 Γ ( q ) 0 t ( t s ) q 1 f ( s ) d s , t > 0 , q > 0
provided the right-hand side is pointwise defined on [ 0 , + ) , where Γ is the gamma function.
Definition 2
([18]). Caputo derivative of order q with the lower limit 0 for a function f: [ 0 , ) R can be written as
D ˜ ¯ 0 q f ( t ) = 1 Γ ( n q ) 0 t ( t s ) n q 1 f ( n ) ( s ) d s = I 0 n q f ( n ) ( t ) , t > 0 , 0 < n 1 < q n .
Particularly, when 0 < q < 1 , it holds
D ˜ ¯ 0 q f ( t ) = 1 Γ ( 1 q ) 0 t ( t s ) q f ( s ) d s = I 0 1 q f ( t ) , t > 0 .
The Laplace transform of Caputo fractional derivative D ˜ ¯ 0 q f ( t ) is
L [ D ˜ ¯ 0 q f ( t ) ; s ] = 0 e s t ( C D ˜ ¯ 0 q f ( t ) ) d t = s q f ¯ ( s ) k = 0 n 1 s q k 1 f ( k ) ( 0 ) , n 1 < q n ,
where f ¯ ( s ) is the Laplace transform of f ( t ) .
Especially, for 0 < q < 1 , it holds
0 e s t ( D ˜ ¯ 0 q f ( t ) ) d t = s q x ¯ ( s ) s q 1 x ( 0 ) .
Definition 3
([18]). The two-parameter Mittag-Leffler function is defined as
M p , q ( z ) = k = 0 z k Γ ( q k + p ) , ( q > 0 , p > 0 ) .
Laplace transform of the Mittag-Leffler function is
L t q k + p 1 M q , p ( k ) ( ± a t q ) ; s = 0 e s t t q k + p 1 M q , p ( k ) ( ± a t q ) d t = k ! s q p ( s q a ) k + 1 , ( R e ( s ) > | a | 1 q )
where Re(s) denotes the real part of s. In addition, the Laplace transform of t q 1 is
L t q 1 ; s = Γ ( q ) s q , R e ( s ) > 0 .
For t , s 0 , the converge properties of Mittag-Leffler functions are
(i) 
E q ( A t q ) N 1 e ω t , N 1 1
(ii) 
E q , q ( A ( t s ) q ) N 2 e ω ( t s ) , N 2 1
where ω is a eigenvalue of a matrix A .
Lemma 1
([19]). If the functions f L 2 ( R + × Ω , L 2 0 ) and ψ : R + L 2 0 satisfying for every T > 0
0 T ψ L 2 0 2 d s < ,
then we have the following inequalities
E 0 t f ( s ) d B ( s ) 2 0 t E f ( s ) L 2 0 2 d s
here E denote the mathematical expectation.
In our previous work, we have initiated to present a solution for fractional system of deterministic case by using matrix type Mittag-Leffler function and Jacobian matrix. Further, a series of required conditions are established for main system using stability analysis and feedback control techniques (see [20]). The main aim of the present work is extend to stochastic settings and prove the sufficient for synchronization between the following drive system:
C D ˜ ¯ 0 p Q ^ ¯ ( t ) = A ˇ ¯ Q ^ ¯ ( t ) + g ˇ ¯ ( Q ^ ¯ , Q ^ ¯ ) d w ( t ) d t , Q ^ ¯ ( 0 ) = Q ^ ¯ 0
and its corresponding response system of (1) is
C D ˜ ¯ 0 p P ^ ¯ ( t ) = A ˇ ¯ P ^ ¯ ( t ) + g ˇ ¯ ( Q ^ ¯ , P ^ ¯ ) d w ( t ) d t + C ˇ ( t ) , P ^ ¯ ( 0 ) = P ^ ¯ 0 ,
here t R + , p ( 0 , 1 ) , C D ˜ ¯ 0 p denotes the Caputo derivative [21] with lower limit at 0 , Q ^ ¯ ( t ) R n is a state, A ˇ ¯ is a matrix of dimension n × n , the function g ˇ ¯ : R n × R n R n × n is C 1 -smooth and C ˇ : R + R n is a controller. Set of all n dimensional Wiener process w = ( w 1 ( t ) , w 2 ( t ) , , w n ( t ) ) T is defined on probability space.
Define the feedback controller
C ˇ ( t ) = B E ( t )
for an n × n matrix B . Now, we define the error system E ( t ) = P ^ ¯ ( t ) Q ^ ¯ ( t )
C D ˜ ¯ 0 p E ( t ) = A ˇ ¯ + B + G ˇ ¯ ( P ^ ¯ , Q ^ ¯ ) d w ( t ) d t E ( t ) , E ( 0 ) = E 0 = P ^ ¯ 0 Q ^ ¯ 0
where
G ˇ ¯ ( Q ^ ¯ , P ^ ¯ ) = 0 1 g ˇ ¯ P ^ ¯ ( Q ^ ¯ , θ ˇ P ^ ¯ + ( 1 θ ˇ ) Q ^ ¯ ) d w ( s ) G ˇ ¯ ( Q ^ ¯ , P ^ ¯ ) 2 = 0 1 g ˇ ¯ P ^ ¯ ( Q ^ ¯ , θ ˇ P ^ ¯ + ( 1 θ ˇ ) Q ^ ¯ ) 2 d s
is a stochastic Jacobian matrix.
From [21,22], we represent the solution E ( · ) B of Equation (4) is given by
E ( t ) = M p ( D t p ) E 0 + 0 t ( t s ) p 1 M p , p ( D ( t s ) p ) G ˇ ¯ ( P ^ ¯ ( s ) , Q ^ ¯ ( s ) ) E ( s ) d w ( s )
where D = A ˇ ¯ + B , M p ( D ) and M p , p ( D ) are the well-known matrix type Mittag-Leffler functions for 1-parameter and 2-parameters, respectively, for more details one can refer [21,23] references therein.
Definition 4
([24]). The error system (4) is said to be stable if for every ϵ > 0 ∃ a δ > 0 such that E 0 E e < δ , then for every sup t 0 E ( t ) E e < ϵ for every t 0 , where E e is a equilibrium point.
Definition 5
([25]). System (1) is said to be synchronized with (2) if, for a suitable designed linear feedback controller. That is, the state of error system (4) E ( t ) E 0 < ϵ is said to be stable if ∃ E 0 E 0 < δ implies sup t 0 E ( t ) E 0 < ϵ , for every t 0 .
Expect that the following hypotheses for in addition process:
[ A 1 ] : The function satisfies sup ( Q ^ ¯ , P ^ ¯ ) R 2 n E G ˇ ¯ ( Q ^ ¯ , P ^ ¯ ) 2 = l < .
[ A 2 ] : Diagonal matrix D = A ˇ ¯ + B satisfies (7).

3. Main Results

In this section, we present the explicit solution, stability results and synchronization results for considered system.
Lemma 2.
Assume that the following diagonal matrix
D = diag λ 1 , λ 2 , , λ n ,
for 0 < λ 1 λ 2 λ n . Then, we have the following square norm estimation for Mittag-Leffler diagonal matrices
M p ( D t p ) 2 = M p 2 ( t p λ 1 ) , M p , p ( D ( t s ) p ) 2 = M p , p 2 ( ( t s ) p λ 1 ) .
Proof. 
From (7), the Mittag-Leffler diagonal matrix for 1-parameter and 2-parameters are give by
M p 2 ( D t p ) = diag ( M p 2 ( t p λ 1 ) , M p 2 ( t p λ 2 ) , , M p 2 ( t p λ n ) )
and
M p , p 2 ( D ( t s ) p ) = diag ( M p , p 2 ( ( t s ) p λ 1 ) , M p , p 2 ( ( t s ) p λ 2 ) , , M p , p 2 ( ( t s ) p λ n ) ) .
Since M p 2 ( z ) and M p , p 2 ( z ) are completely monotonous [23], one can have the following inequalities
0 < M p 2 ( t p λ i ) M p 2 ( t p λ 1 ) , 0 < M p , p 2 ( ( t s ) p λ i ) M p , p 2 ( ( t s ) p λ 1 )
for any i = 1 , 2 , , n and s [ 0 , t ] . The proof is completed. □
In this theorem, we prove some novel sufficient conditions to assure the synchronization of fractional stochastic system using Mittag-Leffler matrix functions.
Theorem 1.
Let the hypothesis [ A 1 ] [ A 2 ] hold. If l < λ 1 then system (1) is synchronized with (2) by (3).
Proof. 
The solution of systems (1) is
E ( t ) = M p ( D t p ) E 0 + 0 t ( t s ) p 1 M p , p ( D ( t s ) p ) G ˇ ¯ ( P ^ ¯ ( s ) , Q ^ ¯ ( s ) ) E ( s ) d w ( s )
we take square norm estimation on both sides for above equation
E E ( t ) 2 = E M p ( D t q ) E 0 + 0 t ( t s ) p 1 M p , p ( D ( t s ) p ) G ˇ ¯ ( P ^ ¯ ( s ) , Q ^ ¯ ( s ) ) E ( s ) d w ( s ) 2 2 E M p ( D t p ) E 0 2 + 2 E 0 t ( t s ) p 1 M p , p ( D ( t s ) p ) G ˇ ¯ ( P ^ ¯ ( s ) , Q ^ ¯ ( s ) ) E ( s ) d w ( s ) 2
By employing hypotheses [ A 1 ] , [ A 2 ] and Lemmas 1 and 2, we obtain
E E ( t ) 2 2 M p ( D t q ) 2 E E 0 2 + 2 0 t ( t s ) 2 ( p 1 ) M p , p ( D ( t s ) p ) 2 E G ˇ ¯ ( P ^ ¯ ( s ) , Q ^ ¯ ( s ) ) 2 E E ( s ) 2 d s 2 M p 2 ( t p λ 1 ) E E 0 2 + 2 l 0 t ( t s ) 2 ( p 1 ) M p , p 2 ( ( t s ) p λ 1 ) E E ( s ) 2 d s .
Define θ ˇ ¯ ( · ) = E E ( · ) 2 . Now, define a linear bounded operator Θ : B B as
( Θ θ ˇ ¯ ) ( t ) = 2 M p 2 ( t p λ 1 ) θ ˇ ¯ ( 0 ) + 2 l 0 t ( t s ) 2 ( p 1 ) M p , p 2 ( ( t s ) p λ 1 ) θ ˇ ¯ ( s ) d s .
Then, the Equation (8) becomes as follows:
θ ˇ ¯ ( t ) ( Θ θ ˇ ¯ ) ( t ) , t R + .
Here Θ is non-decreasing, we know that { Θ k θ ˇ ¯ } k = 0 is non-decreasing and its limit θ ˇ ¯ that satisfies θ ˇ ¯ = Θ θ ˇ ¯ . That is,
θ ˇ ¯ ( t ) = 2 M p 2 ( t p λ 1 ) θ ˇ ¯ ( 0 ) + 2 l 0 t ( t s ) 2 ( p 1 ) M p , p 2 ( ( t s ) p λ 1 ) θ ˇ ¯ ( s ) d s ,
and θ ˇ ¯ ( t ) θ ˇ ¯ ( t ) for any t R + . However, Equation (9) represents
C D ˜ ¯ 0 p θ ˇ ¯ ( t ) = 2 λ 1 θ ˇ ¯ ( t ) + 2 l θ ˇ ¯ ( t ) = 2 ( λ 1 + l ) θ ˇ ¯ ( t ) .
The above system has following solution
θ ˇ ¯ ( t ) = M p 2 ( t p ( l λ 1 ) ) θ ˇ ¯ ( 0 ) .
Summarizing, we obtain
E E ( t ) 2 M p 2 ( t p ( l λ 1 ) ) E M ( 0 ) 2 .
Moreover, the Equation (10) is reduces to the following (see, [26], Lemma 2.5)
E E ( t ) 2 m ( p , 1 , λ 1 l ) t p 2 E E ( 0 ) 2 ,
where
m ( p , 1 , λ 1 l ) = sin ( π ( 1 p ) ) 0 e ( η 1 p ) d η sin 2 ( π p ) π p ( λ 1 l ) .
Therefore, the error system (4) is stable with the above convergence rate (11), so one can conclude that the error system (1) is synchronized with the response system (2). Proof is completed. □

4. Examples

In this section, two numerical examples are given to test the effectiveness obtained theoretical results.
Example 1.
Let us consider the following error system:
C D ˜ ¯ 0 p Q ^ ¯ ( t ) = A ˇ ¯ Q ^ ¯ ( t ) + g ˇ ¯ ( Q ^ ¯ , Q ^ ¯ ) d w ( t ) d t , t 0 , p ( 0 , 1 ) , Q ^ ¯ ( 0 ) = Q ^ ¯ 0 ,
where
A ˇ ¯ = 10 3 0 40 5 0 0 0 2.5 ,
Q ^ ¯ ( t ) = ( Q ^ ¯ 1 ( t ) , Q ^ ¯ 2 ( t ) , Q ^ ¯ 3 ( t ) ) T ,
g ˇ ¯ ( Q ^ ¯ , Q ^ ¯ ) d w ( t ) d t = 0.1 0.3 e Q ^ ¯ 0.5 Q ^ ¯ .
Remark 1.
The state trajectories of the system (12) is manifestly stable for the fractional power p < 0.818 . In addition, the chaotic behaviors are accrue for the fractional power p [ 0.818 , 1 ] , that is, the system is unstable. Consequently, it is required to comprise the control parameter C ˇ ( t ) to synchronize the error system (14), it is shown in instance Example 2.
Remark 2.
Based on the following inequality, one can study our results via the usual fixed point approach instead of Jacobian matrix. That is, the hypothesis [ A 1 ] can be enfeebled in Theorem 1 to
g ˇ ¯ ( Q ^ ¯ , P ^ ¯ 1 ) g ˇ ¯ ( Q ^ ¯ , P ^ ¯ 2 ) 2 l P ^ ¯ 1 P ^ ¯ 2 2
for any Q ^ ¯ , P ^ ¯ 1 , P ^ ¯ 2 R n .
Example 2.
Consider the following system:
C D ˜ ¯ 0 p P ^ ¯ ( t ) = A ˇ ¯ P ^ ¯ ( t ) + g ˇ ¯ ( Q ^ ¯ , P ^ ¯ ) d w ( t ) d t + C ˇ ( t ) , t 0 , p ( 0 , 1 ) , P ^ ¯ ( 0 ) = P ^ ¯ 0 ,
and the errors between (12) and (13) satisfying
C D ˜ ¯ 0 p E ( t ) = ( A ˇ ¯ + B + G ˇ ¯ ( P ^ ¯ , Q ^ ¯ ) d w ( t ) d t ) E ( t ) , t 0 , p ( 0 , 1 ) , E ( 0 ) = E 0 = P ^ ¯ 0 Q ^ ¯ 0 ,
where D = A ˇ ¯ + B = 1 0 0 0 3 0 0 0 2 and ( λ 1 , λ 2 , λ 3 ) = ( 1 , 3 , 2 ) ,
g ˇ ¯ ( Q ^ ¯ , P ^ ¯ ) d w ( t ) d t = 0.1 + P ^ ¯ 2 Q ^ ¯ 4 0.3 e Q ^ ¯ 0.5 Q ^ ¯ .
The values of A ˇ ¯ & g ˇ ¯ ( Q ^ ¯ , Q ^ ¯ ) have been already defined in Example 1. From Remark 2, one can enfeebled in Theorem 1 to
g ˇ ¯ ( Q ^ ¯ , P ^ ¯ 1 ) g ˇ ¯ ( Q ^ ¯ , P ^ ¯ 2 ) 2 1 4 P ^ ¯ 1 P ^ ¯ 2 2 .
Set, l = 1 4 and satisfies the Theorem 1 i.e., l < λ 1 = 1 .
Let us choose the control function C ˇ ( t ) = B E ( t ) , step size h ^ = 0.01 and p = 0.9 ,
C ˇ ( t ) = ( C ˇ 1 ( t ) , C ˇ 2 ( t ) , C ˇ 3 ( t ) ) T , B = 11 3 0 40 8 0 0 0 4.5 , E i ( t ) = P ^ ¯ i ( t ) Q ^ ¯ i ( t ) , i = 1 , 2 , 3 .
Here,
C ˇ 1 ( t ) = b 11 E 1 ( t ) + b 12 E 2 ( t ) + b 13 E 3 ( t ) ; b 11 = 11 , b 12 = 3 , b 13 = 0 , C ˇ 2 ( t ) = b 21 E 1 ( t ) + b 22 E 2 ( t ) + b 23 E 3 ( t ) ; b 21 = 40 , b 22 = 8 , b 23 = 0 , C ˇ 3 ( t ) = b 31 E 1 ( t ) + b 32 E 2 ( t ) + b 33 E 3 ( t ) ; b 31 = 0 , b 32 = 0 , b 33 = 4.5 .
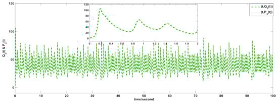
The chaotic behavior of the states ( Q ^ ¯ 1 ( t ) , Q ^ ¯ 2 ( t ) ) , ( Q ^ ¯ 1 ( t ) , Q ^ ¯ 3 ( t ) ) and ( Q ^ ¯ 2 ( t ) , Q ^ ¯ 3 ( t ) ) of the drive system (12) and response system (13) with fractional power p = 0.9 are shown in Figure 1, Figure 2 and Figure 3. The graphical representation of chaotic behaviors in three dimensional is shown in Figure 4. The time response of the state trajectories ( Q ^ ¯ 1 ( t ) , P ^ ¯ 1 ( t ) ) , ( Q ^ ¯ 2 ( t ) , P ^ ¯ 2 ( t ) ) and ( Q ^ ¯ 3 ( t ) , P ^ ¯ 3 ( t ) ) of the error system (12) for fractional power p = 0.9 are shown in Figure 5, Figure 6 and Figure 7, respectively.
From the assumed matrices in the examples g ˇ ¯ ( Q ^ ¯ , Q ^ ¯ ) and g ˇ ¯ ( Q ^ ¯ , P ^ ¯ ) one can get E G ˇ ¯ ( Q ^ ¯ , P ^ ¯ ) 2 = l = 1 4 .Thus, [ A 1 ] is tested by adapting the stochastic Jacobian matrix (5). Further, the Figure 8 shows that the time response of the state trajectory ( E 1 ( t ) , E 2 ( t ) , E 3 ( t ) ) of the error system (14) for fractional power p = 0.9 .
We have given synchronized time response for ( t , Q ^ ¯ 1 ( t ) ) , ( t , P ^ ¯ 1 ( t ) ) , ( t , Q ^ ¯ 2 ( t ) ) , ( t , P ^ ¯ 2 ( t ) ) , ( t , Q ^ ¯ 3 ( t ) ) and ( t , P ^ ¯ 3 ( t ) ) of the drive system (12) and response system (13) with fractional power p = 0.9 in Figure 8, Figure 9, Figure 10 and Figure 11. Finally, the synchronized time response of the states ( E 1 ( t ) , E 2 ( t ) , E 3 ( t ) ) for the error system (14) with fractional power p = 0.9 is given in Figure 12.
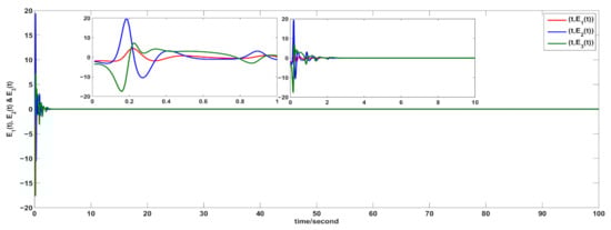
So, we conclude from Theorem 1 that system (12) is synchronized with (13) under the control C ˇ ( t ) as shown in the Figure 8, Figure 9 and Figure 10. Figure 11 says that the time responses of synchronization of errors between Equations (12) and (13) from that one can understand that the convergence of the synchronization errors goes to 0. Herewith all the assumptions of our main Theorem 1 is tested numerically.

5. Conclusions

In this manuscript, we have employed a new type of sufficient results for synchronization of fractional order stochastic system by using feedback controller and stochastic Jacobian matrix. These kinds of results are more interesting and useful to show the responses and behaviors of the considered system numerically. Numerous numerical assessments are given to demonstrate the effectiveness of the acquired theoretical effects. By using the same methodology and ideas as discussed in this paper, one can extended the result to fractal fractional stochastic differential equations to model chaotic systems, biology models, Rift Valley Fever model, etc.

Author Contributions

Conceptualization, T.S., M.F. and J.W.; Methodology, J.W.; Software T.S.; Validation, T.S., M.F. and J.W.; Formal Analysis and Investigation J.W.; Resources J.W. and M.F.; Data Curation J.W., T.S. and M.F.; Writing—original draft preparation, J.W. and T.S.; Writing—review and editing, T.S. and J.W.; Visualization and Supervision J.W.; Project administration and funding acquisition, J.W. and M.F. All authors have read and agreed to the published version of the manuscript.

Funding

The authors thank the referees for their careful reading of the article and insightful comments. This work is partially supported by Training Object of High Level and Innovative Talents of Guizhou Province ((2016)4006), Major Research Project of Innovative Group in Guizhou Education Department ([2018]012), the Slovak Research and Development Agency under the contract No. APVV-18-0308, and the Slovak Grant Agency VEGA No. 1/0358/20 and No. 2/0127/20.

Institutional Review Board Statement

Not applicable.

Informed Consent Statement

Not applicable.

Data Availability Statement

Not applicable.

Conflicts of Interest

The authors declare no conflict of interest.

References

  1. Milanovic, V.; Zaghloul, M.E. Synchronization of chaotic neural networks and applications to communications. Int. J. Bifurc. Chaos 1996, 6, 2571–2585. [Google Scholar] [CrossRef]
  2. Pecora, L.M.; Carroll, T.L. Synchronization in chaotic systems. Phys. Rev. Lett. 1990, 64, 821–825. [Google Scholar] [CrossRef] [PubMed]
  3. Agrawal, S.K.; Srivastava, M.; Das, S. Synchronization of fractional order chaotic systems using active control method. Chaos Solitons Fractals 2012, 45, 737–752. [Google Scholar] [CrossRef]
  4. Odibat, Z.M.; Corson, N.; Aziz-Alaoui, M.A.; Bertelle, C. Synchronization of chaotic fractional-order systems via linear control. Int. J. Bifurc. Chaos 2010, 20, 81–97. [Google Scholar] [CrossRef] [Green Version]
  5. Zhou, P.; Ding, R. Chaotic synchronization between different fractional-order chaotic systems. J. Frankl. Inst. 2011, 348, 2839–2848. [Google Scholar] [CrossRef]
  6. Sene, N. Qualitative analysis of class of fractional-order chaotic system via bifurcation and Lyapunov exponents notions. J. Math. 2021, 2021, 5548569. [Google Scholar] [CrossRef]
  7. Hu, T.; Zhang, X.; Zhong, S. Global asymptotic synchronization of nonidentical fractional-order neural networks. Neurocomputing 2018, 313, 39–46. [Google Scholar] [CrossRef]
  8. Shao, S.; Chen, M.; Yan, X. Adaptive sliding mode synchronization for a class of fractional-order chaotic systems with disturbance. Nonlinear Dyn. 2016, 83, 1855–1866. [Google Scholar] [CrossRef]
  9. Wang, Q.; Qi, D.L. Synchronization for fractional order chaotic systems with uncertain parameters. Int. J. Control Autom. Syst. 2016, 14, 211–216. [Google Scholar] [CrossRef]
  10. Mathiyalagan, K.; Park, J.H.; Sakthivel, R. Exponential synchronization for fractional-order chaotic systems with mixed uncertainties. Complexity 2015, 21, 114–125. [Google Scholar] [CrossRef]
  11. Sene, N. Study of a fractional-order chaotic system represented by the Caputo operator. Complexity 2021, 2021, 5534872. [Google Scholar] [CrossRef]
  12. Gu, A. Synchronization of coupled stochastic systems driven by α-stable Lévy noises. Math. Probl. Eng. 2013, 2013, 685798. [Google Scholar] [CrossRef] [Green Version]
  13. Ma, S.J.; Shen, Q.; Hou, J. Modified projective synchronization of stochastic fractional order chaotic systems with uncertain parameters. Nonlinear Dyn. 2013, 73, 93–100. [Google Scholar] [CrossRef]
  14. Liu, X. Adaptive synchronization of a stochastic fractional-order system. Appl. Mech. Mater. 2015, 733, 939–942. [Google Scholar] [CrossRef]
  15. Tong, D.; Zhang, L.; Zhou, W.; Zhou, J.; Xu, Y. Asymptotical synchronization for delayed stochastic neural networks with uncertainty via adaptive control. Int. J. Control Autom. Syst. 2016, 14, 706–712. [Google Scholar] [CrossRef]
  16. Zhou, W.; Zhou, X.; Yang, J.; Liu, Y.; Zhang, X.; Ding, X. Exponential synchronization for stochastic neural networks driven by fractional Brownian motion. J. Frankl. Inst. 2016, 353, 1689–1712. [Google Scholar] [CrossRef]
  17. Atangana, A.; Akul, A.; Owolabi, K.M. Analysis of fractal fractional differential equations. Alex. Eng. J. 2020, 59, 1117–1134. [Google Scholar] [CrossRef]
  18. Podlubny, I. Fractional Differential Equations; Academic Press: New York, NY, USA, 1993. [Google Scholar]
  19. Mao, X. Stochastic Differential Equations and Applications; Chichester: Oxford, UK, 1997. [Google Scholar]
  20. Fečkan, M.; Sathiyaraj, T.; Wang, J. Synchronization of Butterfly fractional order chaotic system. Mathematics 2020, 8, 446. [Google Scholar] [CrossRef] [Green Version]
  21. Kilbas, A.A.; Srivastava, H.M.; Trujillo, J.J. Theory and Applications of Fractional Differential Equations; North-Holland Mathematics Studies; Elsevier: Amsterdam, The Netherlands, 2006. [Google Scholar]
  22. Li, K.; Peng, J. Laplace transform and fractional differential equations. Appl. Math. Lett. 2011, 24, 2019–2023. [Google Scholar]
  23. Goreno, R.; Kilbas, A.A.; Mainardi, F.; Rogosin, S.V. Mittag-Leffler Functions, Related Topics and Applications; Springer: Berlin, Germany, 2014. [Google Scholar]
  24. He, Y.; Liu, G.P.; Rees, D.; Wu, M. Stability analysis for neural networks with time-varying interval delay. IEEE Trans. Neural Netw. 2007, 18, 1850–1854. [Google Scholar] [CrossRef] [PubMed]
  25. Li, C.; Liao, X.; Yu, J. Synchronization of fractional order chaotic systems. Phys. Rev. E 2003, 68, 067203. [Google Scholar] [CrossRef] [PubMed] [Green Version]
  26. Peng, S.; Wang, J. Existence and Ulam-Hyers stability of ODEs involving two Caputo fractional derivatives. Electron. J. Qual. Theory Differ. Equ. 2015, 52, 1–16. [Google Scholar] [CrossRef]
Figure 1. Chaotic behavior of ( Q ^ ¯ 1 ( t ) , Q ^ ¯ 2 ( t ) ) with fractional power p = 0.9 .
Figure 1. Chaotic behavior of ( Q ^ ¯ 1 ( t ) , Q ^ ¯ 2 ( t ) ) with fractional power p = 0.9 .
Fractalfract 06 00192 g001
Figure 2. Chaotic behavior of ( Q ^ ¯ 1 ( t ) , Q ^ ¯ 3 ( t ) ) with fractional power p = 0.9 .
Figure 2. Chaotic behavior of ( Q ^ ¯ 1 ( t ) , Q ^ ¯ 3 ( t ) ) with fractional power p = 0.9 .
Fractalfract 06 00192 g002
Figure 3. Chaotic behavior of ( Q ^ ¯ 2 ( t ) , Q ^ ¯ 3 ( t ) ) with fractional power p = 0.9 .
Figure 3. Chaotic behavior of ( Q ^ ¯ 2 ( t ) , Q ^ ¯ 3 ( t ) ) with fractional power p = 0.9 .
Fractalfract 06 00192 g003
Figure 4. 3-D phase figure of ( Q ^ ¯ 1 ( t ) , Q ^ ¯ 2 ( t ) , Q ^ ¯ 3 ( t ) ) of the error system (12) with fractional power p = 0.9 .
Figure 4. 3-D phase figure of ( Q ^ ¯ 1 ( t ) , Q ^ ¯ 2 ( t ) , Q ^ ¯ 3 ( t ) ) of the error system (12) with fractional power p = 0.9 .
Fractalfract 06 00192 g004
Figure 5. The time response of ( Q ^ ¯ 1 ( t ) , P ^ ¯ 1 ( t ) ) with fractional power p = 0.9 .
Figure 5. The time response of ( Q ^ ¯ 1 ( t ) , P ^ ¯ 1 ( t ) ) with fractional power p = 0.9 .
Fractalfract 06 00192 g005
Figure 6. The time reaction of ( Q ^ ¯ 2 ( t ) , P ^ ¯ 2 ( t ) ) with fractional power p = 0.9 .
Figure 6. The time reaction of ( Q ^ ¯ 2 ( t ) , P ^ ¯ 2 ( t ) ) with fractional power p = 0.9 .
Fractalfract 06 00192 g006
Figure 7. The time reaction of ( Q ^ ¯ 3 ( t ) , P ^ ¯ 3 ( t ) ) with fractional power p = 0.9 .
Figure 7. The time reaction of ( Q ^ ¯ 3 ( t ) , P ^ ¯ 3 ( t ) ) with fractional power p = 0.9 .
Fractalfract 06 00192 g007
Figure 8. Time reaction of the unsynchronized error states ( E 1 ( t ) , E 2 ( t ) , E 3 ( t ) ) with fractional power p = 0.9 .
Figure 8. Time reaction of the unsynchronized error states ( E 1 ( t ) , E 2 ( t ) , E 3 ( t ) ) with fractional power p = 0.9 .
Fractalfract 06 00192 g008
Figure 9. Synchronized time reaction of ( t , Q ^ ¯ 1 ( t ) ) and ( t , P ^ ¯ 1 ( t ) ) of the drive system and response system (12) and (13) with fractional power p = 0.9 .
Figure 9. Synchronized time reaction of ( t , Q ^ ¯ 1 ( t ) ) and ( t , P ^ ¯ 1 ( t ) ) of the drive system and response system (12) and (13) with fractional power p = 0.9 .
Fractalfract 06 00192 g009
Figure 10. Synchronized time reaction of ( t , Q ^ ¯ 2 ( t ) ) and ( t , P ^ ¯ 2 ( t ) ) of the drive system and response system (12) and (13) with fractional power p = 0.9 .
Figure 10. Synchronized time reaction of ( t , Q ^ ¯ 2 ( t ) ) and ( t , P ^ ¯ 2 ( t ) ) of the drive system and response system (12) and (13) with fractional power p = 0.9 .
Fractalfract 06 00192 g010
Figure 11. Synchronized time reaction of ( t , Q ^ ¯ 3 ( t ) ) and ( t , P ^ ¯ 3 ( t ) ) of the drive system and response system (12) and (13) with fractional power p = 0.9 .
Figure 11. Synchronized time reaction of ( t , Q ^ ¯ 3 ( t ) ) and ( t , P ^ ¯ 3 ( t ) ) of the drive system and response system (12) and (13) with fractional power p = 0.9 .
Fractalfract 06 00192 g011
Figure 12. Time reaction of ( E 1 ( t ) , E 2 ( t ) , E 3 ( t ) ) for the error system (14) with fractional power p = 0.9 .
Figure 12. Time reaction of ( E 1 ( t ) , E 2 ( t ) , E 3 ( t ) ) for the error system (14) with fractional power p = 0.9 .
Fractalfract 06 00192 g012
Publisher’s Note: MDPI stays neutral with regard to jurisdictional claims in published maps and institutional affiliations.

Share and Cite

MDPI and ACS Style

Sathiyaraj, T.; Fečkan, M.; Wang, J. Synchronization of Fractional Stochastic Chaotic Systems via Mittag-Leffler Function. Fractal Fract. 2022, 6, 192. https://doi.org/10.3390/fractalfract6040192

AMA Style

Sathiyaraj T, Fečkan M, Wang J. Synchronization of Fractional Stochastic Chaotic Systems via Mittag-Leffler Function. Fractal and Fractional. 2022; 6(4):192. https://doi.org/10.3390/fractalfract6040192

Chicago/Turabian Style

Sathiyaraj, T., Michal Fečkan, and JinRong Wang. 2022. "Synchronization of Fractional Stochastic Chaotic Systems via Mittag-Leffler Function" Fractal and Fractional 6, no. 4: 192. https://doi.org/10.3390/fractalfract6040192

APA Style

Sathiyaraj, T., Fečkan, M., & Wang, J. (2022). Synchronization of Fractional Stochastic Chaotic Systems via Mittag-Leffler Function. Fractal and Fractional, 6(4), 192. https://doi.org/10.3390/fractalfract6040192

Article Metrics

Back to TopTop